chevron_left
chevron_right
Todo
Apuntes
Ejercicios
Exámenes
publication
Trabajos
chevron_left
chevron_right
Anónimo

@Anónimo

apuntes

-

Problemas

He publicado nuevos apuntes de 3º Máquinas Eléctricas: Problemas

2.Transformadores_Problemas.pdf
3.Maquinas_asincronas_Problemas.pdf
4.Maquinas_sincronas_Problemas.pdf
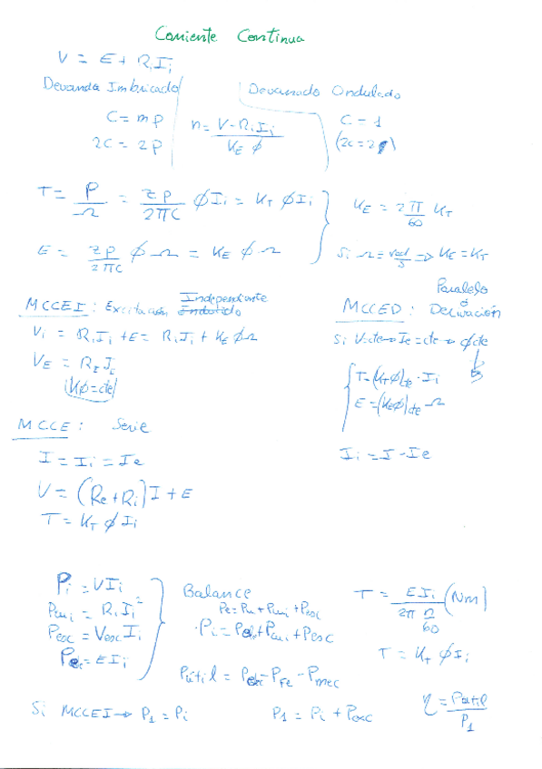
5.Maquinas_corriente_continua_Problemas.pdf

He publicado nuevos apuntes de 3º Máquinas Eléctricas: Unidad-4-Maquinas-de-CC.pdf

3 páginas

He publicado nuevos apuntes de 3º Máquinas Eléctricas: Unidad-1-Principios-generales.pdf

3 páginas

He publicado nuevos apuntes de 3º Máquinas Eléctricas: Unidad-2-Transformadores-de-potencia.pdf

6 páginas

He publicado nuevos apuntes de 3º Máquinas Eléctricas: Unidad-3-Maquina-asincrona.pdf

3 páginas

He publicado nuevos apuntes de 3º Máquinas Eléctricas: FORMULARIO.pdf

1 página

Tema síncrona con ejercicios

10 páginas

He publicado nuevos ejercicios de 3º Máquinas Eléctricas: Ejercicios varios (resueltos).pdf

9 páginas

He publicado nuevos examenes de 3º Máquinas Eléctricas: Examen resuelto Febrero 2023.pdf

6 páginas

He publicado nuevos apuntes de 3º Máquinas Eléctricas: 4-CORRIENTE CONTINUA.pdf

8 páginas

He publicado nuevos apuntes de 3º Máquinas Eléctricas: 2-ASINCRONA.pdf

10 páginas

He publicado nuevos apuntes de 3º Máquinas Eléctricas: 1-TRANSFORMADORES.pdf

15 páginas

apuntes

-

TOP PROBLEMAS PARA APROBAR

He publicado nuevos apuntes de 3º Máquinas Eléctricas: TOP PROBLEMAS PARA APROBAR

PROBLEMAS-IMPORTANTES-TRANSFORMADORES.pdf
PROBLEMAS-IMPORTANTES-ASINCRONAS.pdf

Exámenes 2019-2020-2021 de MAQ ELECT

¿Tendríais exámenes de Máquinas Eléctricas de 2019-2020 y 2021?

apuntes

-

apuntes clase temario completo

He publicado nuevos apuntes de 3º Máquinas Eléctricas: apuntes clase temario completo

APUNTES-ADICIONALES-ASINCRONA-2.pdf
APUNTES-ADICIONALES-SINCRONA-2.pdf
APUNTES-CLASE-SINCRONA-1.pdf
APUNTES-CLASE-CC.pdf
APUNTES-CLASES-ASINCRONA-1.pdf
APUNTES-CLASE-TRANSFORMADORES.pdf

He publicado nuevos ejercicios de 3º Máquinas Eléctricas: Asincronas-1.pdf

17 páginas

apuntes

-

Ejercicios y examenes resueltos

He publicado nuevos apuntes de 3º Máquinas Eléctricas: Ejercicios y examenes resueltos

LibroProblemas.pdf
transformador_problema1.pdf
transformador_problema3.pdf
transformador_problema2.pdf
transformador_problema4.pdf

He publicado nuevos ejercicios de 3º Máquinas Eléctricas: TEMA_3_MÁQUINAS_ASÍNCRONAS.pdf

45 páginas

He publicado nuevos ejercicios de 3º Máquinas Eléctricas: TEMA_2_TRANSFORMADORES.pdf

52 páginas

apuntes

-

Problemas Tipo Examen

He publicado nuevos apuntes de 3º Máquinas Eléctricas: Problemas Tipo Examen

problemas tipo examen ae.pdf
problemas tipo examen ae 2.pdf

He publicado nuevos apuntes de 3º Máquinas Eléctricas: apendices ae.pdf

6 páginas

He publicado nuevos apuntes de 3º Máquinas Eléctricas: transformadores.pdf

12 páginas

He publicado nuevos apuntes de 3º Máquinas Eléctricas: Problema de transformadores.pdf

24 páginas

Formulario inclusivo

9 páginas

He publicado nuevos apuntes de 3º Máquinas Eléctricas: Problemas de maquinas asincronas.pdf

18 páginas

He publicado nuevos apuntes de 3º Máquinas Eléctricas: Problemas de maquinas sincronas.pdf

13 páginas

He publicado nuevos ejercicios de 3º Máquinas Eléctricas: Prob Clase Transformadores Resueltos.pdf

8 páginas

He publicado nuevos ejercicios de 3º Máquinas Eléctricas: B.P. Transformadores Resueltos.pdf

20 páginas

apuntes

-

Problemas a Realizar Para Examen

He publicado nuevos apuntes de 3º Máquinas Eléctricas: Problemas a Realizar Para Examen

Problemas de Transformadores.pdf
Problemas de Asíncrona.pdf
Problemas de Síncrona.pdf
Problemas de Corriente Continua.pdf

ejercicios resueltos

45 páginas

ejercicios resueltos

45 páginas

ejercicios resueltos

40 páginas

He publicado nuevos apuntes de 3º Máquinas Eléctricas: máquinas eléctricas jesús fraile mora.pdf

769 páginas

He publicado nuevos apuntes de 3º Máquinas Eléctricas: Máquinas Eléctricas - F. Mora 6 Ed.pdf

765 páginas
Anónimo

@Anónimo

He publicado nuevos apuntes de 3º Máquinas Eléctricas: máquinas eléctricas jesús fraile mora.pdf

769 páginas
Anónimo

@Anónimo

examenes

-

Examen Febrero 2013 Resuelto

\r\n

Examen Febrero 2013 - Enunciado.pdf
Examen Febrero 2013 - Resultados.pdf

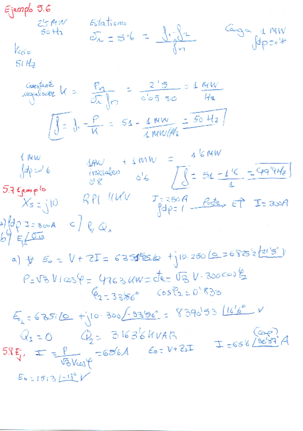
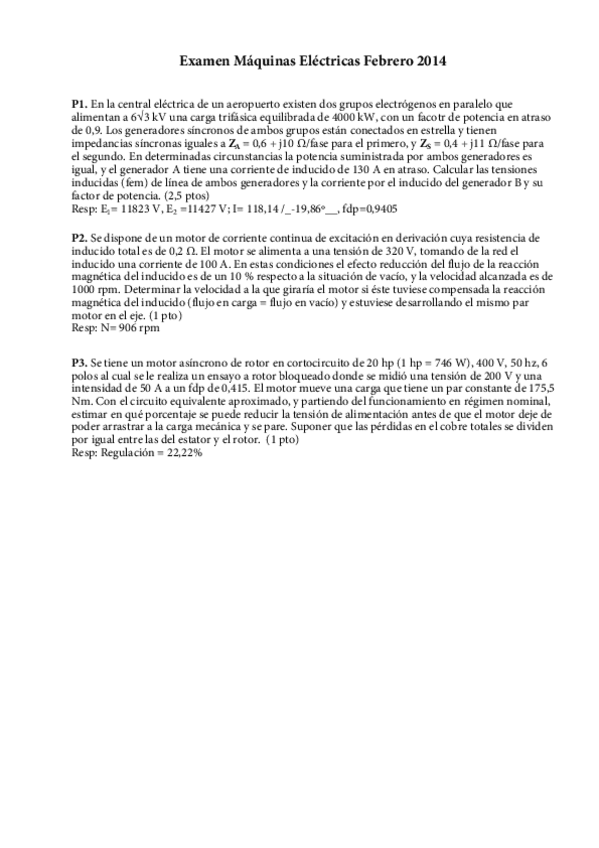
He publicado nuevos examenes de 3º Máquinas Eléctricas: Febrero 14-15.pdf

1 página

He publicado nuevos examenes de 3º Máquinas Eléctricas: Febrero 13-14.pdf

1 página
Anónimo

@Anónimo

He publicado nuevos apuntes de 3º Máquinas Eléctricas: Tema 2 - Transformadores.pdf

40 páginas
Anónimo

@Anónimo

He publicado nuevos apuntes de 3º Máquinas Eléctricas: Tema 4 - Maquinas Sincronas.pdf

33 páginas

He publicado nuevos apuntes de 3º Máquinas Eléctricas: SCHAUM-ME-Tema 6.pdf

22 páginas
Anónimo

@Anónimo

He publicado nuevos examenes de 3º Máquinas Eléctricas: Junio 13-14.pdf

1 página

\r\n

31 páginas

He publicado nuevos apuntes de 3º Máquinas Eléctricas: Formulario Examen Febrero 2014 (Ana R).pdf

1 página

He publicado nuevos trabajos de 3º Máquinas Eléctricas: Catalogo Transformadores.pdf

24 páginas
Anónimo

@Anónimo

He publicado nuevos apuntes de 3º Máquinas Eléctricas: Tema 3 - Maquinas Asincronas.pdf

45 páginas

He publicado nuevos apuntes de 3º Máquinas Eléctricas: [El Nasar]Schaum's Electric Machines and Electromechanics.pdf

226 páginas

He publicado nuevos apuntes de 3º Máquinas Eléctricas: BoletinProbT2 Trafos RESUELTO.pdf

33 páginas
¡Estás al día!

¡Estás al día!

Has visto todos los archivos