Máquinas Térmicas
He publicado nuevos ejercicios de 3º Máquinas Térmicas: CASO-1-perdidas-basicas-Ejercicio-y-explicacion.pdf
He publicado nuevos apuntes de 3º Máquinas Térmicas: Resumen-General-Maquinas-Termicas.pdf
He publicado nuevos ejercicios de 3º Máquinas Térmicas: CASO-2-ADMI-PARCIAL-Ejercicio-y-explicacion.pdf
He publicado nuevos ejercicios de 3º Máquinas Térmicas: Caso-0-Ejercicio-Y-Explicacion.pdf
examenes
-
Exámenes
He publicado nuevos examenes de 3º Máquinas Térmicas: Exámenes
trabajos
-
Minibonus
He publicado nuevos trabajos de 3º Máquinas Térmicas: Minibonus
He publicado nuevos examenes de 3º Máquinas Térmicas: Examen-Enero-2025.pdf
He publicado nuevos examenes de 3º Máquinas Térmicas: Examen-Enero-2024.pdf
He publicado nuevos examenes de 3º Máquinas Térmicas: Examen-Febrero-2024.pdf
He publicado nuevos ejercicios de 3º Máquinas Térmicas: Problemas-de-clase.pdf
He publicado nuevos apuntes de 3º Máquinas Térmicas: Preguntas-de-teoria-Examen.pdf
He publicado nuevos trabajos de 3º Máquinas Térmicas: VISITA-AL-MOTOR-TURBOJET-J85.pdf
ejercicios
-
BONUS NAVIDAD
He publicado nuevos ejercicios de 3º Máquinas Térmicas: BONUS NAVIDAD
He publicado nuevos apuntes de 3º Máquinas Térmicas: BONUS-5-TURBOJET.pdf
examenes
-
Examenes resueltos
He publicado nuevos examenes de 3º Máquinas Térmicas: Examenes resueltos
He publicado nuevos examenes de 3º Máquinas Térmicas: Examen-teoria-resueltocorregido.pdf
He publicado nuevos examenes de 3º Máquinas Térmicas: Examen-problemas-resueltocorregido.pdf
He publicado nuevos apuntes de 3º Máquinas Térmicas: Formulario-Maquinas-Termicas.pdf
apuntes
-
Resúmenes Máquinas Térmicas
He publicado nuevos apuntes de 3º Máquinas Térmicas: Resúmenes Máquinas Térmicas
He publicado nuevos examenes de 3º Máquinas Térmicas: EXAMEN22SEP22-SOLUCION-PROBLEMA.pdf
apuntes
-
Apuntes y Casos Curso 21-22
He publicado nuevos apuntes de 3º Máquinas Térmicas: Apuntes y Casos Curso 21-22
apuntes
-
MAQUINAS TERMICAS 2021
He publicado nuevos apuntes de 3º Máquinas Térmicas: MAQUINAS TERMICAS 2021
He publicado nuevos apuntes de 3º Máquinas Térmicas: 20201021-MT2021-CASO02-TURBINA-APUNTES-1a5.pdf
He publicado nuevos apuntes de 3º Máquinas Térmicas: 20201021-MT2021-CASO02-TURBINA-APUNTES-1a5-1.pdf
He publicado nuevos apuntes de 3º Máquinas Térmicas: 20201118-MT20201-CASO03-TURBINA-ADM-PARCIAL-1a2.pdf
He publicado nuevos apuntes de 3º Máquinas Térmicas: 20191205-CASO05-NOTAS-CLASE-A4.pdf
He publicado nuevos apuntes de 3º Máquinas Térmicas: 20191211-CASO06-NOTAS-CLASE-2x1.pdf
He publicado nuevos apuntes de 3º Máquinas Térmicas: 20201217-MT-2021-CASO-7-PARTE-1.pdf
He publicado nuevos apuntes de 3º Máquinas Térmicas: 20191219-CASO8-NOTAS-DE-CLASE-2x1.pdf
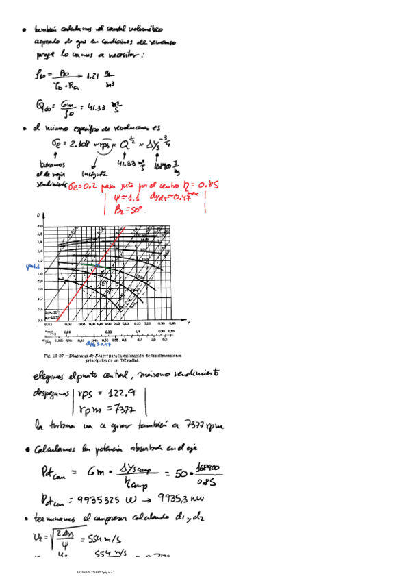
He publicado nuevos apuntes de 3º Máquinas Térmicas: 20190108-CASO-09-TURBOCOMPRESOR-RADIAL-RESUMEN-Y-EJERCICIO.pdf
He publicado nuevos apuntes de 3º Máquinas Térmicas: 20190116-CASO-11-TURBOCOMPRESOR-CENTRIFUGO-ECKERT.pdf
→CLASES TERMODINAMICA Y FLUIDOS← **TODOS LOS GRADOS**
VER IMAGEN PARA MAS INFORMACION

He publicado nuevos apuntes de 3º Máquinas Térmicas: TEORIA-CASOS-1-2-3-5-6-7.pdf
examenes
-
PROBLEMAS EXAMEN FEB JUN 2020
He publicado nuevos examenes de 3º Máquinas Térmicas: PROBLEMAS EXAMEN FEB JUN 2020
examenes
-
TEORIA DE EXAMENES RESUELTA
He publicado nuevos examenes de 3º Máquinas Térmicas: TEORIA DE EXAMENES RESUELTA
He publicado nuevos examenes de 3º Máquinas Térmicas: EXAMEN-JUNIO-2020-RESUELTO-CON-CONDICIONES.pdf
He publicado nuevos examenes de 3º Máquinas Térmicas: Cuestiones-Maquinas-Termicas.pdf
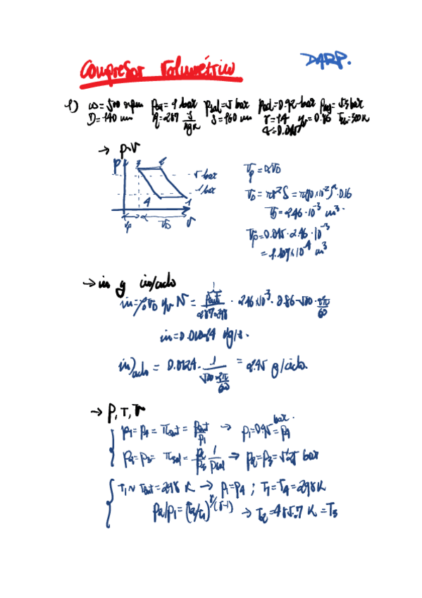
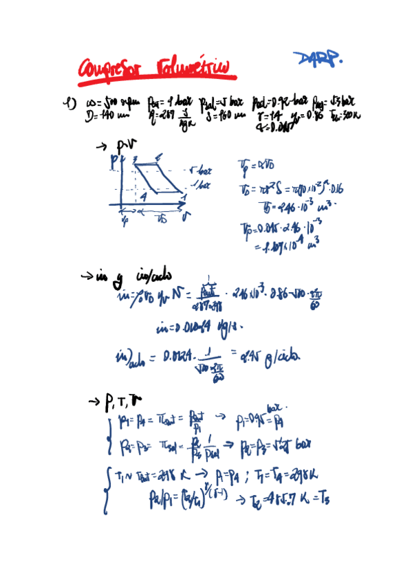
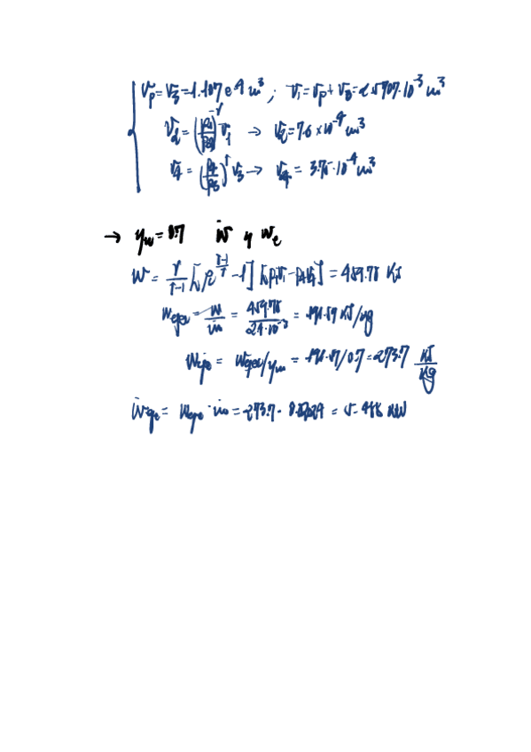
He publicado nuevos ejercicios de 3º Máquinas Térmicas: Compresor-Volumetrico.pdf
ejercicios
-
BOLETINES RESUELTOS
He publicado nuevos ejercicios de 3º Máquinas Térmicas: BOLETINES RESUELTOS
He publicado nuevos apuntes de 3º Máquinas Térmicas: Caso11DiagramaEckert.pdf
He publicado nuevos apuntes de 3º Máquinas Térmicas: Caso10CompresoresEstadoTermodinamico.pdf
He publicado nuevos apuntes de 3º Máquinas Térmicas: Caso9CompresoresTeoria.pdf
He publicado nuevos apuntes de 3º Máquinas Térmicas: caso8TurbinaMultiplesEscalonamientos.pdf
He publicado nuevos apuntes de 3º Máquinas Térmicas: caso7CalculoPerdidas.pdf
He publicado nuevos apuntes de 3º Máquinas Térmicas: caso6TurbinaGasTorsion.pdf
He publicado nuevos apuntes de 3º Máquinas Térmicas: caso5CoronaCurtis.pdf
He publicado nuevos apuntes de 3º Máquinas Térmicas: caso4turbinareaccion.pdf
He publicado nuevos apuntes de 3º Máquinas Térmicas: caso3admisionparcial.pdf
He publicado nuevos apuntes de 3º Máquinas Térmicas: caso2turbinaaccion.pdf
trabajos
-
BONUS 3 2019-2020
He publicado nuevos trabajos de 3º Máquinas Térmicas: BONUS 3 2019-2020
trabajos
-
BONUS 4 2018-2019
He publicado nuevos trabajos de 3º Máquinas Térmicas: BONUS 4 2018-2019
trabajos
-
Bonus-2-2019-2020
He publicado nuevos trabajos de 3º Máquinas Térmicas: Bonus-2-2019-2020
trabajos
-
Bonus-1-2019-2020
He publicado nuevos trabajos de 3º Máquinas Térmicas: Bonus-1-2019-2020