chevron_left
chevron_right
Todo
Apuntes
Exámenes
Trabajos
chevron_left
chevron_right

Presentación trabajo en grupos máquinas y mecanismos Nota: 9,5

powerpoint

Trabajo en grupo de máquinas y mecanismos. Nota: 9,5

12 páginas

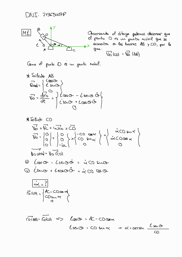
Ejercicios examen resueltos

102 páginas

He publicado nuevos apuntes de 3º Máquinas y Mecanismos: Calculos-a-mano.pdf

3 páginas

He publicado nuevos apuntes de 3º Máquinas y Mecanismos: Máquinas y Mecanismos.pdf

100 páginas
¡Estás al día!

¡Estás al día!

Has visto todos los archivos