Máquinas y Motores Térmicos

chevron_left
chevron_right
Todo
Apuntes
Ejercicios
Exámenes
Prácticas
Trabajos
chevron_left
chevron_right

He publicado nuevos examenes de 4º Máquinas y Motores Térmicos: Ejercicio-Examen-centrales-Febrero-2026.pdf

1 página

He publicado nuevos examenes de 4º Máquinas y Motores Térmicos: Examen-2026-Febrero-ejercicio-motores.pdf

2 páginas

apuntes

-

FORMULARIOS RESUMEN

He publicado nuevos apuntes de 4º Máquinas y Motores Térmicos: FORMULARIOS RESUMEN

FORMULARIO-CENTRALES-GAS.pdf
FORMULARIO-CENTRALES-VAPOR.pdf
FORMULARIO-CICLO-COMBINADO.pdf
FORMULARIO-GENERAL.pdf
FORMULARIO-MOTORES.pdf
Miniatura no disponible
https://youtu.be/16tztv8qSLI

apuntes

-

APUNTES BLOQUE 1 (MOTORES)

He publicado nuevos apuntes de 4º Máquinas y Motores Térmicos: APUNTES BLOQUE 1 (MOTORES)

FORMULARIO-BLOQUE-I-Motores.pdf
Preguntas-de-teoria-Bloque-I.pdf
Secuencia-de-encendido-motor.pdf

ejercicios

-

PROB BLOQUE 1 (MOTORES) RESUELTOS

He publicado nuevos ejercicios de 4º Máquinas y Motores Térmicos: PROB BLOQUE 1 (MOTORES) RESUELTOS

ENE23-P1-B1-v1.pdf
ENE23-P1-B1-v2.pdf
ENE24-P1-B1.pdf
FEB23-P1-B1.pdf
P2-RP.pdf
P4-RP.pdf

apuntes

-

APUNTES BLOQUE 2 (C. VAPOR)

He publicado nuevos apuntes de 4º Máquinas y Motores Térmicos: APUNTES BLOQUE 2 (C. VAPOR)

APUNTES-TEMA-11.pdf

ejercicios

-

PROB BLOQUE 2 (C. VAPOR) RESUELTOS

He publicado nuevos ejercicios de 4º Máquinas y Motores Térmicos: PROB BLOQUE 2 (C. VAPOR) RESUELTOS

FEB24-P2-B2-p11.pdf
P1-Clase.pdf
P1-RP.pdf
P11-v1.pdf
PROB-CENTRALES-VAPOR-RP.pdf

apuntes

-

APUNTES BLOQUE 2 (C. GAS)

He publicado nuevos apuntes de 4º Máquinas y Motores Térmicos: APUNTES BLOQUE 2 (C. GAS)

APUNTES-TEMA-10-CENTRALES-GAS-MIXTO.pdf
Preguntas-de-teoria-Bloque-II-y-III-v4.pdf

ejercicios

-

PROB BLOQUE 2 (C. GAS) RESUELTOS

He publicado nuevos ejercicios de 4º Máquinas y Motores Térmicos: PROB BLOQUE 2 (C. GAS) RESUELTOS

P2-CLASE.pdf
P2-Repaso.pdf
P2-RP-v1.pdf
P2-RP-v2.pdf
P5-Repaso.pdf
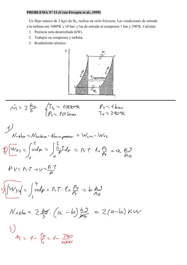
P11-Repaso-Ericsson.pdf

ejercicios

-

PROB BLOQUE 2 (C. COMBI) RESUELTOS

He publicado nuevos ejercicios de 4º Máquinas y Motores Térmicos: PROB BLOQUE 2 (C. COMBI) RESUELTOS

ENE23-P2-B2-P10.pdf
P7-repaso.pdf
P7-Repaso2.pdf
P7-RP.pdf
P10-repaso.pdf
P10-RP.pdf

He publicado nuevos apuntes de 4º Máquinas y Motores Térmicos: Teoria-Turbomaquinas.pdf

7 páginas

He publicado nuevos apuntes de 4º Máquinas y Motores Térmicos: Teoria-de-Motores-y-Maquinas-Termicas-2.pdf

16 páginas

He publicado nuevos apuntes de 4º Máquinas y Motores Térmicos: Tablas.pdf

10 páginas

He publicado nuevos apuntes de 4º Máquinas y Motores Térmicos: tablas-y-diagramas.pdf

49 páginas

He publicado nuevos apuntes de 4º Máquinas y Motores Térmicos: Resumen-y-formulario-parte-motores.pdf

7 páginas

He publicado nuevos apuntes de 4º Máquinas y Motores Térmicos: PROBLEMAS-MMT-DISCO-2012.pdf

Miniatura no disponible
pdf

He publicado nuevos apuntes de 4º Máquinas y Motores Térmicos: problemas-mmt-disco-20121.pdf

Miniatura no disponible
pdf

He publicado nuevos apuntes de 4º Máquinas y Motores Térmicos: preguntas-teoria-turbo.pdf

5 páginas

He publicado nuevos apuntes de 4º Máquinas y Motores Térmicos: Preguntas-motores.pdf

12 páginas

He publicado nuevos apuntes de 4º Máquinas y Motores Térmicos: PREGUNTAS-EXAMEN.pdf

1 página

He publicado nuevos apuntes de 4º Máquinas y Motores Térmicos: Preguntas-de-examen-motores.pdf

13 páginas

He publicado nuevos apuntes de 4º Máquinas y Motores Térmicos: preguntas-de-examen-de-motores-21.pdf

21 páginas

He publicado nuevos apuntes de 4º Máquinas y Motores Térmicos: TURBOMAQUINAS.pdf

15 páginas

He publicado nuevos examenes de 4º Máquinas y Motores Térmicos: Testturbomaquinas.pdf

4 páginas

He publicado nuevos examenes de 4º Máquinas y Motores Térmicos: testturbomaquinas-hecho1.pdf

4 páginas

He publicado nuevos apuntes de 4º Máquinas y Motores Térmicos: maquinas-y-motores-entera1.pdf

596 páginas

He publicado nuevos examenes de 4º Máquinas y Motores Térmicos: MOTORES-Preguntas-de-examen.pdf

22 páginas

He publicado nuevos examenes de 4º Máquinas y Motores Térmicos: 2018Turbomaquinas.pdf

8 páginas

He publicado nuevos apuntes de 4º Máquinas y Motores Térmicos: 1-Problema-Brayton-01.pdf

1 página

examenes

-

Examen Ordinario 2023

He publicado nuevos examenes de 4º Máquinas y Motores Térmicos: Examen Ordinario 2023

ExamenOrdinario2023-ParteMotores.pdf
ExamenOrdinario2023-ParteTurboMaquinas.pdf

apuntes

-

TABLAS que necesitas

He publicado nuevos apuntes de 4º Máquinas y Motores Térmicos: TABLAS que necesitas

2000px-T-sdiagram.png
Tablas-de-Aire.pdf
Tablas-Termo.pdf

NECESITA CLAVE: imual

pdf
Anónimo

@Anónimo

He publicado nuevos examenes de 4º Máquinas y Motores Térmicos: Preguntas-motores-.pdf

8 páginas
Anónimo

@Anónimo

He publicado nuevos examenes de 4º Máquinas y Motores Térmicos: Documento-sin-titulo.pdf

6 páginas

apuntes

-

Resumen motores

He publicado nuevos apuntes de 4º Máquinas y Motores Térmicos: Resumen motores

Tema-4-motores.pdf
Tema-7-Motores.pdf
Tema-5-Motores.pdf
Tema-8-Motores.pdf
Tema-6-Motores.pdf
Tema-2-Motores.pdf

ejercicios

-

Ejercicios Resueltos

He publicado nuevos ejercicios de 4º Máquinas y Motores Térmicos: Ejercicios Resueltos

Relacion-1-motores.pdf
Relacion-2-motores.pdf

He publicado nuevos ejercicios de 4º Máquinas y Motores Térmicos: Prob-resueltos-TG-TV.pdf

9 páginas

He publicado nuevos apuntes de 4º Máquinas y Motores Térmicos: PREGUNTAS-EXAMEN.pdf

1 página

apuntes

-

Preguntas exámenes resueltas

He publicado nuevos apuntes de 4º Máquinas y Motores Térmicos: Preguntas exámenes resueltas

PREGUNTAS-PRIMER-PARCIAL.pdf
preguntas-2-parcial2.pdf

apuntes

-

Problemas resueltos y Formularios

He publicado nuevos apuntes de 4º Máquinas y Motores Térmicos: Problemas resueltos y Formularios

problemas-MCIA.pdf
Boletin-ciclos-combinados.pdf
Formario-y-explicacion-problemas-Turbinas-Vapor.pdf
Boletin-turbina-de-gas.pdf
Formulario-y-explicacion-problemas-TG.pdf
Formulario-MCIA.pdf

apuntes

-

Teoría completa

He publicado nuevos apuntes de 4º Máquinas y Motores Térmicos: Teoría completa

Turbinas-de-gas.pdf
Renovacion-de-la-carga-en-motores-de-cuatro-tiempo.pdf
Turbina-de-vapor.pdf
Combustion-en-MEC.pdf
Sobrealimentacion-en-MCIA.pdf
El-ciclo-teorico.pdf

Trabajo global que vale 1 punto.

20 páginas

He publicado nuevos practicas de 4º Máquinas y Motores Térmicos: banco de ensayo.docx

word

He publicado nuevos examenes de 4º Máquinas y Motores Térmicos: examen-2017-preguntas-y-respuestas.pdf

14 páginas

He publicado nuevos examenes de 4º Máquinas y Motores Térmicos: Examen Enero 2018.pdf

2 páginas
¡Estás al día!

¡Estás al día!

Has visto todos los archivos