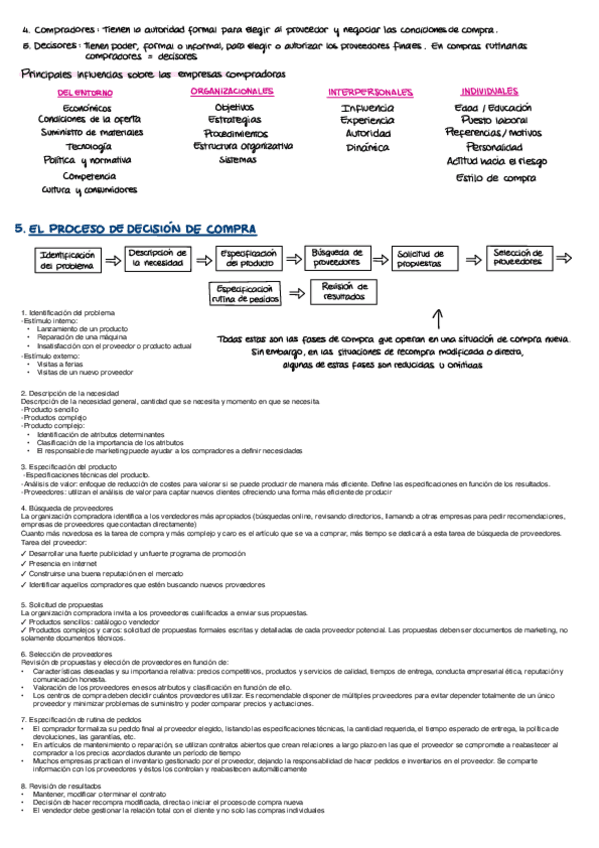
Marketing, Mercado y Demanda

chevron_left
chevron_right
Todo
Apuntes
Ejercicios
Exámenes
Prácticas
chevron_left
chevron_right

apuntes

-

TODOS LOS EXCEL

He publicado nuevos apuntes de 2º Marketing, Mercado y Demanda: TODOS LOS EXCEL

CHULETA-EXCEL.xlsx
Ejemplo-de-clase-Segmentacion.xlsx
Ejercicio-CLV-1.xlsx
ejercicio1tema4-todoslosapartados-4.xlsx
ESTUDIO-TEMA-4.xlsx
ESTUDIO-TEMA-7.xlsx

examenes

-

Exámenes Corregidos Marketing

5 Examenes CORREGIDOS de Desarrollo Teórico + Índice de Contenidos

UAMADEexamenH2.pdf
UAMADEexamenH3.pdf
UAMADEexamenH4.pdf
UAMADEexamenH5.pdf
UAMADEindiceH.pdf
UAMADEexamenH1.pdf

He publicado nuevos examenes de 2º Marketing, Mercado y Demanda: TEST-EXAMEN-MARKETING-MERCADO-Y-DEMANDA-CON-EXPLICACIONES-SUPER-UTIL.pdf

27 páginas

He publicado nuevos apuntes de 2º Marketing, Mercado y Demanda: Apuntes-MARKETING.pdf

45 páginas

apuntes

-

TODO MARKETING

He publicado nuevos apuntes de 2º Marketing, Mercado y Demanda: TODO MARKETING

TEMAS-1-Y-2.pdf
TEMAS-3-Y-4.pdf

apuntes

-

Resúmenes libro Principios de Marketing (manual de marketing)

Capítulos 1,3,4,5,6,7 de la 17a edición del libro "Principios de Marketing" de Kotler y Armstrong. Además, hay un resumen del capítulo "demanda de mercado" que fue el tema 8 de la asignatura.

Capitulo-1-Marketing-gestion-de-la-creacion-de-valor-y-compromiso.pdf
Capitulo-3-Analisis-del-entorno-de-marketing.pdf
Capitulo-4-Gestion-de-la-informacion-de-marketing-para-obtener-informacion-de-los-clientes.pdf
"Capítulo 8" : La demanda de mercado (Cap 5,7 Lambin).pdf
Capítulo 5 - Los mercados de consumidores y conductas de compra.pdf
Capitulo-6-Mercados-organizacionales-y-comportamiento-de-compra-coorporativo.pdf

He publicado nuevos apuntes de 2º Marketing, Mercado y Demanda: Tema-6-Mk.pdf

2 páginas

He publicado nuevos apuntes de 2º Marketing, Mercado y Demanda: Tema-7-Mk.pdf

2 páginas

He publicado nuevos apuntes de 2º Marketing, Mercado y Demanda: Tema-5-Mk.pdf

2 páginas

He publicado nuevos apuntes de 2º Marketing, Mercado y Demanda: Tema-4-Mk.pdf

2 páginas

He publicado nuevos apuntes de 2º Marketing, Mercado y Demanda: Tema-3-Mk.pdf

2 páginas
Anónimo

@Anónimo

He publicado nuevos apuntes de 2º Marketing, Mercado y Demanda: Tema-2-Mk.pdf

1 página

He publicado nuevos apuntes de 2º Marketing, Mercado y Demanda: Tema-1-Mk.pdf

2 páginas
Anónimo

@Anónimo

He publicado nuevos apuntes de 2º Marketing, Mercado y Demanda: Apuntes-T-1-hasta-T-7-completos.pdf

40 páginas

Tema 4 marketing

4 páginas

He publicado nuevos apuntes de 2º Marketing, Mercado y Demanda: tema-4-ejercicios.pdf

4 páginas

He publicado nuevos examenes de 2º Marketing, Mercado y Demanda: examen-marketing.pdf

2 páginas

He publicado nuevos examenes de 2º Marketing, Mercado y Demanda: examen-preguntas-y-soluciones.pdf

2 páginas

He publicado nuevos apuntes de 2º Marketing, Mercado y Demanda: PARCIAL-1-marketing.pdf

4 páginas

ejercicios

-

Ejercicios tema 2 - Marketing (Año 2024)

Al final de cada documento, en la primera hoja de ejercicios, están los pasos para realizarlos. Si los quieres en Excel escríbeme y te los paso.

T2-CONCENTRACION-HOJA-1-ELECTRONICS-MKTG.pdf
T2-CONCENTRACION-HOJA-2-MOBILE-MKTG.pdf
T2-CONCENTRACION-HOJA-3-RETAILS-MKTG.pdf

He publicado nuevos examenes de 2º Marketing, Mercado y Demanda: todos-los-test-de-examenes-finales.pdf

28 páginas

examenes

-

PARCIALES - MARKETING (Año 2024)

He publicado nuevos examenes de 2º Marketing, Mercado y Demanda: PARCIALES - MARKETING (Año 2024)

PARCIAL-1-t1-3-MARKETING-ANO-2024.pdf
PARCIAL-2-t4-7-MARKETING-ANO-2024.pdf

ejercicios

-

Ejercicios tema 4 - Marketing (Año 2024)

Al final del documento de ejers t4 (practica todos los ejers), están los pasos para realizarlos. Si los quieres en Excel escríbeme y te los paso.

T4-practica-todos-los-ejers.pdf
T4.pdf

ejercicios

-

Ejercicios tema 3 - Marketing (Año 2024)

Al final de cada documento, en la primera hoja de ejercicios, están los pasos para realizarlos. Si los quieres en Excel escríbeme y te los paso.

T3-MUESTREO-HOJA 3-MKTG.pdf
T3-MUESTREO-HOJA-1-MKTG.pdf
T3-MUESTREO-HOJA-2-MKTG.pdf

ejercicios

-

Ejercicios tema 1 - Marketing (Año 2024)

En la última página tenéis los pasos para saber hacer este tipo de ejercicios. Si los quieres en Excel escríbeme y te los paso.

T1-CLV-MARKETING.pdf

He publicado nuevos examenes de 2º Marketing, Mercado y Demanda: Test-examenes.pdf

23 páginas

He publicado nuevos apuntes de 2º Marketing, Mercado y Demanda: Tema-7-mkt.pdf

4 páginas

He publicado nuevos apuntes de 2º Marketing, Mercado y Demanda: Tema-6-mkt.pdf

5 páginas

He publicado nuevos apuntes de 2º Marketing, Mercado y Demanda: Tema-5-mkt.pdf

3 páginas

He publicado nuevos apuntes de 2º Marketing, Mercado y Demanda: Tema-4-mkt.pdf

3 páginas

He publicado nuevos apuntes de 2º Marketing, Mercado y Demanda: Tema-3-mark.pdf

5 páginas

He publicado nuevos apuntes de 2º Marketing, Mercado y Demanda: Tema-2-mark.pdf

2 páginas

He publicado nuevos apuntes de 2º Marketing, Mercado y Demanda: Tema-1-marketing.pdf

4 páginas

apuntes

-

apuntes practicas

He publicado nuevos apuntes de 2º Marketing, Mercado y Demanda: apuntes practicas

CLVtema-1.pdf
concentraciontema-2.pdf
muestra-tema-3.pdf

apuntes

-

apuntes completos + manual

He publicado nuevos apuntes de 2º Marketing, Mercado y Demanda: apuntes completos + manual

tema-4.pdf
tema-5.pdf
tema-1.pdf
tema-2.pdf
tema-3.pdf

apuntes

-

apuntes

He publicado nuevos apuntes de 2º Marketing, Mercado y Demanda: apuntes

TEMA-1.pdf
TEMA-2.pdf
TEMA-3.pdf
TEMA-4.pdf
TEMA-5.pdf
tema-6.pdf

ejercicios

-

Ejercicios tema 7 - Marketing (Año 2024)

Si los quieres en Excel escríbeme y te los paso.

T7-DEMANDA-EJERS-MKTG.pdf

ejercicios

-

Ejercicios tema 6 - Marketing (Año 2024)

Si los quieres en Excel escríbeme y te los paso.

T6-SEGEMNTACION-EJERS-MKTG.pdf

apuntes

-

Resumen de todos los temas de la teoría - Marketing (Año 2024)

Lo importante en los parciales es juntarte con tus colegas porque ahí habla todo el mundo. Y si queréis más pistas escribidme.

T6-ESQUEMA.pdf
T5-ESQUEMA.pdf
T4-ESQUEMA.pdf
T3-ESQUEMA.pdf
T2-ESQUEMA.pdf
T1-ESQUEMA.pdf

apuntes

-

Apuntes de todos los temas - Marketing (Año 2024)

El examen es tipo test y las preguntas son similares a las que hace Jaime cuando pide que os leáis un tema, así que hacerle captura.

T1-MARKETING.pdf
T2-MARKETING.pdf
T3-MARKETING.pdf
T4-MARKETING.pdf
T5-MARKETING.pdf
T6-MARKETING.pdf

He publicado nuevos apuntes de 2º Marketing, Mercado y Demanda: Teoría completa.pdf

71 páginas
Anónimo

@Anónimo

Apuntes paso a paso de muestreo con explicación

6 páginas

He publicado nuevos ejercicios de 2º Marketing, Mercado y Demanda: soluciones-ejercicios-CLV-excel.xlsx

excel

He publicado nuevos ejercicios de 2º Marketing, Mercado y Demanda: soluciones-ejercicios-CLV.pdf

3 páginas

He publicado nuevos examenes de 2º Marketing, Mercado y Demanda: FINAL-MARKETING-CON-SOLUCION.pdf

8 páginas

He publicado nuevos examenes de 2º Marketing, Mercado y Demanda: Preguntast-test.pdf

10 páginas

apuntes

-

MARKETING (JP)

He publicado nuevos apuntes de 2º Marketing, Mercado y Demanda: MARKETING (JP)

TEMA-1.-MARKETING.docx
TEMA-2.-MARKETING.docx
TEMA-3.-MARKETING.docx
TEMA-4.-MARKETING.docx
TEMA-5.-MARKETING.docx

He publicado nuevos apuntes de 2º Marketing, Mercado y Demanda: TEMA-2-MARKETING.pdf

11 páginas

He publicado nuevos apuntes de 2º Marketing, Mercado y Demanda: TEMA-4-MARKETING.pdf

8 páginas

He publicado nuevos apuntes de 2º Marketing, Mercado y Demanda: TEMA-5-MARKETING.pdf

4 páginas

He publicado nuevos apuntes de 2º Marketing, Mercado y Demanda: TEMA-3-MARKETING.pdf

10 páginas

He publicado nuevos apuntes de 2º Marketing, Mercado y Demanda: TEMA-7-MARKETING.pdf

8 páginas

He publicado nuevos apuntes de 2º Marketing, Mercado y Demanda: TEMA-6-MARKETING.pdf

8 páginas

He publicado nuevos apuntes de 2º Marketing, Mercado y Demanda: TEMA-1-MARKETING.pdf

13 páginas
Anónimo

@Anónimo

Apuntes de Marketing completos

39 páginas
Anónimo

@Anónimo

He publicado nuevos examenes de 2º Marketing, Mercado y Demanda: Test-preparacion-examen-final.pdf

4 páginas
Anónimo

@Anónimo

He publicado nuevos apuntes de 2º Marketing, Mercado y Demanda: TEMA-1-APUNTES.pdf

5 páginas
Anónimo

@Anónimo

He publicado nuevos apuntes de 2º Marketing, Mercado y Demanda: TEMA-7-APUNTES.pdf

7 páginas
Anónimo

@Anónimo

He publicado nuevos apuntes de 2º Marketing, Mercado y Demanda: TEMA-5-APUNTES.pdf

6 páginas

apuntes

-

Apuntes curso entero

apuntes completos

6-MARKETING.pdf
5-MARKETING.pdf
4-MARKETING.pdf
3-MARKETING.pdf
2-MARKETING.pdf
1-MARKETING.pdf