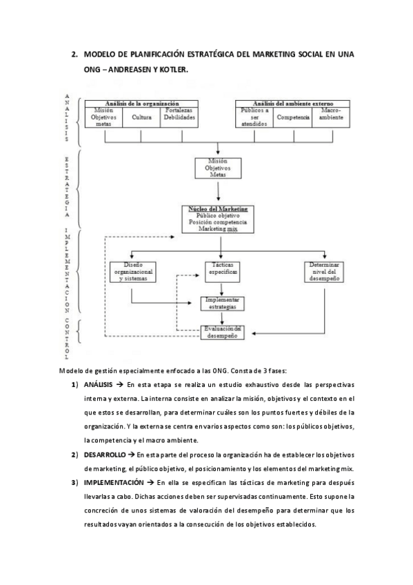
Todo
Apuntes
chevron_left
chevron_right

apuntes

-

MNL temas

He publicado nuevos apuntes de 3º Marketing No Lucrativo: MNL temas

MNL-tema-1.pdf
MNL-tema-2.pdf
MNL-tema-3.pdf
MNL-tema-4-y-5-.pdf
MNL-tema-6.pdf
MNL-tema-7.pdf

He publicado nuevos apuntes de 3º Marketing No Lucrativo: TEMA-1-desarrollado--apuntes.pdf

11 páginas

He publicado nuevos apuntes de 3º Marketing No Lucrativo: MNL-TEMA-2.pdf

6 páginas

He publicado nuevos apuntes de 3º Marketing No Lucrativo: TEMA-3-MNL.pdf

6 páginas

He publicado nuevos apuntes de 3º Marketing No Lucrativo: TEMA-4-MNL.pdf

6 páginas

He publicado nuevos apuntes de 3º Marketing No Lucrativo: TEMA-5-MNL.pdf

3 páginas

He publicado nuevos apuntes de 3º Marketing No Lucrativo: TEMA-6-MNL.pdf

5 páginas

He publicado nuevos apuntes de 3º Marketing No Lucrativo: TEMA-7-MNL.pdf

4 páginas

He publicado nuevos apuntes de 3º Marketing No Lucrativo: TEMA-8-MNL.pdf

4 páginas

He publicado nuevos apuntes de 3º Marketing No Lucrativo: TEMA-9-MNL.pdf

9 páginas

apuntes

-

Apuntes MNL 1-9

He publicado nuevos apuntes de 3º Marketing No Lucrativo: Apuntes MNL 1-9

Tema-3-MNL.pdf
Tema-2-MNL.pdf
Tema-4-MNL.pdf
TEMA-9.pdf
Tema-5-MNL.pdf
Tema-9.pdf
¡Estás al día!

¡Estás al día!

Has visto todos los archivos