chevron_left
chevron_right
Todo
Apuntes
Ejercicios
Exámenes
chevron_left
chevron_right

He publicado nuevos ejercicios de 1º Mat. para la Econom. y la Empresa: RelacionProblemasLeccion1parte3.pdf

2 páginas

He publicado nuevos ejercicios de 1º Mat. para la Econom. y la Empresa: Repaso-1-Parcial.pdf

3 páginas

He publicado nuevos ejercicios de 1º Mat. para la Econom. y la Empresa: 4.-Funciones-Escalares-y-Vectoriales.pdf

5 páginas
Anónimo

@Anónimo

He publicado nuevos apuntes de 1º Mat. para la Econom. y la Empresa: Parcial-1.pdf

2 páginas

He publicado nuevos apuntes de 1º Mat. para la Econom. y la Empresa: Parcial-2.-Leccion-1-2-3.pdf

6 páginas

He publicado nuevos apuntes de 1º Mat. para la Econom. y la Empresa: Parcial-1. Lección 1 Teoría de Funciones.pdf

6 páginas
Anónimo

@Anónimo

He publicado nuevos apuntes de 1º Mat. para la Econom. y la Empresa: Resumen-Parcial-1-derivadas.pdf

2 páginas

ejercicios

-

TODOS EJERCICIOS RESUELTOS

He publicado nuevos ejercicios de 1º Mat. para la Econom. y la Empresa: TODOS EJERCICIOS RESUELTOS

Ejerciciosdederivadasdeunvariablesolucion1718.pdf
ElprL35ComplEnunciados1718.pdf
IntegralesFacilesSolucion.pdf
Relacionderivadasparcialesenunciado.pdf
RelprL11-4BasicaEnunciados1718.pdf
RelprL11-4BasicaResuelta1718.pdf

ejercicios

-

SOLUCIONES todos ejercicios

He publicado nuevos ejercicios de 1º Mat. para la Econom. y la Empresa: SOLUCIONES todos ejercicios

derivadasdeunvariablesolucion.pdf
RelacionProblemasLeccion1parte2.pdf
Relacionderivadasparciales.pdf
derivadasdeunavariable.pdf
Relacionderivadasparcialesresuelta.pdf
RelacionProblemasLeccion1parte2Solucion.pdf

examenes

-

Soluciones PARCIALES

He publicado nuevos examenes de 1º Mat. para la Econom. y la Empresa: Soluciones PARCIALES

Parcial-2021-Enunciados-y-Solucion.pdf
Parcial-2020-Enunciados-y-Solucion.pdf

apuntes

-

Soluciones

He publicado nuevos apuntes de 1º Mat. para la Econom. y la Empresa: Soluciones

IntegralesFacilesSolucion.pdf
cuadrodeintegralesteorico.pdf
Integralesinmediatas.pdf
Leccion-1-problemas-adicionales-y-soluciones.pdf
Soluciones-problemas-leccion-1.pdf
Soluciones-Problemas-leccion-3.pdf
Anónimo

@Anónimo

He publicado nuevos apuntes de 1º Mat. para la Econom. y la Empresa: SEGUNDA-RELACION-A-MANO.pdf

2 páginas

He publicado nuevos apuntes de 1º Mat. para la Econom. y la Empresa: IMG5630-converted.pdf

11 páginas

He publicado nuevos apuntes de 1º Mat. para la Econom. y la Empresa: IMG5622-converted.pdf

8 páginas

He publicado nuevos apuntes de 1º Mat. para la Econom. y la Empresa: IMG5612-converted.pdf

10 páginas

He publicado nuevos apuntes de 1º Mat. para la Econom. y la Empresa: IMG5606-converted.pdf

5 páginas

He publicado nuevos apuntes de 1º Mat. para la Econom. y la Empresa: IMG5588-convertido.pdf

17 páginas

He publicado nuevos apuntes de 1º Mat. para la Econom. y la Empresa: IMG5490-convertido.pdf

6 páginas
Anónimo

@Anónimo

apuntes

-

Ejercicios resueltos todos los temas

He publicado nuevos apuntes de 1º Mat. para la Econom. y la Empresa: Ejercicios resueltos todos los temas

Ejerciciosdederivadas.pdf
RelacionProblemasLeccion1Algebra.pdf
Relacion-Problemas-Matrices.pdf
Relacionderivadasparcialesresuelta.pdf
2018-2019-PROBLEMAS-RESUELTOS-LECCION2.pdf
Progamacion-Problemas-1.pdf

examenes

-

Documentos Examen

He publicado nuevos examenes de 1º Mat. para la Econom. y la Empresa: Documentos Examen

Derivadas.jpg
Examen-Parcial.pdf
TABLADEINTEGRALES.pdf

ejercicios

-

Ejercicios Mat. Economía y Empresa

He publicado nuevos ejercicios de 1º Mat. para la Econom. y la Empresa: Ejercicios Mat. Economía y Empresa

Relacionderivadasparcialesresuelta.pdf
Relacionderivadasparcialese.pdf
2013-2014-PROBLEMAS-Leccion2.pdf
RelprL11-4BasicaEnunciados.pdf
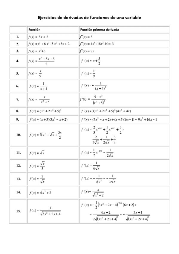
2013ejercicios-de-derivadas-de-funciones-de-una-variable.pdf
RelprL11-4ComplResuelta.pdf

apuntes

-

Integrales Resueltas

He publicado nuevos apuntes de 1º Mat. para la Econom. y la Empresa: Integrales Resueltas

Integrales-2-001.jpg
Integrales-6-001.jpg
Integrales-5-001.jpg
Integrales-9-001.jpg
Integrales-3-001.jpg
Integrales-7-001.jpg

apuntes

-

Ejercicios Derivadas Resueltos

He publicado nuevos apuntes de 1º Mat. para la Econom. y la Empresa: Ejercicios Derivadas Resueltos

Ejercicios-Derivadas.pdf
Ej-Derivadas-4-001.jpg
Ej-Derivadas-6-001.jpg
Ej-Derivadas-5-001.jpg
Ej-Derivadas-3-001.jpg
Ej-Derivadas-8-001.jpg

apuntes

-

Derivadas Resueltas

He publicado nuevos apuntes de 1º Mat. para la Econom. y la Empresa: Derivadas Resueltas

Derivadas-2-001.jpg
Derivadas-Parciales-1-001.jpg
40-Derivadas.pdf
Derivadas-1-001.jpg
Derivadas-3-001.jpg
Derivadas-Parciales-2-001.jpg
¡Estás al día!

¡Estás al día!

Has visto todos los archivos