Todo
Apuntes
Preguntas
Ejercicios
Exámenes
Prácticas
publication
chevron_left
chevron_right
Anónimo

@Anónimo

seminario teorema central del límite

2 páginas
Anónimo

@Anónimo

Matemáticas 1o farmacia

10 páginas

Tema de matrices y determinantes pero sin sistemas

13 páginas

He publicado nuevos apuntes de 1º Matemática Aplicada: Geometria-afin.pdf

1 página

Trigonometria 1 bach, ejercicios variados y explicaciones con dibujos de los cuadrantes

3 páginas

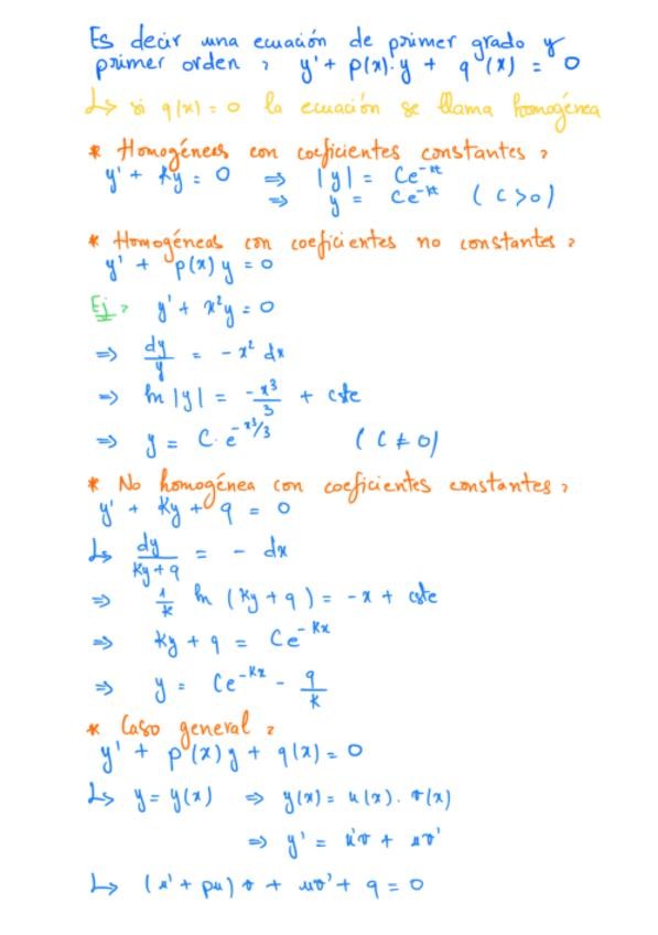
He publicado nuevos apuntes de 1º Matemática Aplicada: image.jpg

Imagen

apuntes

-

Trigonometría

He publicado nuevos apuntes de 1º Matemática Aplicada: Trigonometría

Trigonometria.-El-lenguaje-de-los-triangulos.pdf
Guia-de-estudio-de-la-trigonometria.pdf
Trigonometria.-El-lenguaje-de-los-triangulos.pdf
https://youtu.be/h3DMmeEyAs8

He publicado nuevos apuntes de 2º Matemática Aplicada: Matematica-aplicada.pdf

1 página

He publicado nuevos examenes de 2º Matemática Aplicada: examen-matematica-aplicada-1-y-solucion.pdf

8 páginas

Enunciados de ejercicios de programación lineal de EvaU de varios años

3 páginas

He publicado nuevos apuntes de 1º Matemática Aplicada: TIPOS-DE-INECUACIONES.pdf

1 página

He publicado nuevos apuntes de 1º Matemática Aplicada: ECUACIONES.pdf

16 páginas

ejercicios de programación lineal de matemáticas aplicadas I

1 página

He publicado nuevos apuntes de 1º Matemática Aplicada: T.1 EQUACIONS LOGARITMIQUES I EXPONENCIALS.pdf

27 páginas

He publicado nuevos apuntes de 1º Matemática Aplicada: Tema-1-Mates-aplicadas.pdf

2 páginas

resumen y ejercicios

3 páginas

He publicado nuevos apuntes de 1º Matemática Aplicada: Tema-0.-Repaso.pdf

31 páginas

He publicado nuevos apuntes de 1º Matemática Aplicada: M1.-Boletin-1-Repasoalumnado.pdf

6 páginas

He publicado nuevos apuntes de 1º Matemática Aplicada: Boletin-Trigonometria.pdf

6 páginas

He publicado nuevos apuntes de 1º Matemática Aplicada: Boletin-repaso-Mate-1.pdf

2 páginas

He publicado nuevos apuntes de 1º Matemática Aplicada: Tema-1.-Trigonometria.pdf

38 páginas

ejercicios

-

mates

hola, os dejo por aqui repaso de mates del tema de álgebra y números enteros. Son ejercicios de repaso, algunos vienen con soluciones. ;)

ecuaciones.pdf
actividades-de-operaciones-radicales.pdf
EjerciciosLogaritmos.pdf
EQUACIONS-3.pdf
EXERCICIS-LOGARITMES.pdf

Hola, os dejo por aqui el soluconario de las actividades del tema 1 del libro Anaya educación de 1ero de bachillerato de ciencias. ;)

43 páginas

Resumen general matemáticas aplicadas. No te quedes con la intriga y dale un vistazo!!!

10 páginas

apuntes

-

Examenes, Apuntes y Teoria

He publicado nuevos apuntes de 1º Matemática Aplicada: Examenes, Apuntes y Teoria

ejercicios3.pdf
ejercicios12018-19.pdf
ejercicios-2-2018-19.pdf
practica1.pdf
tema-4-completado.pdf
tema-4-mat-apli.pdf

He publicado nuevos apuntes de 1º Matemática Aplicada: numeros-reales-potencias-logaritmos-y-sucesiones.pdf

3 páginas

también hay derivadas

16 páginas
Anónimo

@Anónimo

Trigonometría - Matemáticas ciencias

4 páginas
Anónimo

@Anónimo

Probabilidad - Matemáticas Ciencias

1 página

Teoria i uns pocs exercicis d'esdevenimeta aleatoris. Extret del llibre de Barcanova

10 páginas

Exercicis (alguns pocs resolts) de combinatòria i probabilitat. Extret del llibre de Barcanova

6 páginas

Variacions i permutacions en les que importa o no l'ordre. Teoria i exercicis. Extret de l'editorial Barcanova

4 páginas

Distribucions bidimensionals, coneptes relacionats i exercicis per practicar. Extret del llibre Barcanova

8 páginas

Diagrames de caixa i altres conceptes relacionats. Extret del llibre de Barcanova

5 páginas

Conté exercicis resolts, teoria i fórmules, tot l'essencial per aprovar estadística. Extret del llibre Barcanova

8 páginas

He publicado nuevos ejercicios de 1º Matemática Aplicada: Ejercicio-areas.pdf

2 páginas

He publicado nuevos apuntes de 1º Matemática Aplicada: 1.-Numeros-Reales.pdf

9 páginas

practicas

-

Test Prácticas MA con R

He publicado nuevos practicas de 1º Matemática Aplicada: Test Prácticas MA con R

Test-practica-1.pdf
Test-practica-3.pdf
Test-practica-4.pdf

Mates 2 bach

15 páginas

He publicado nuevos ejercicios de 1º Matemática Aplicada: ejercicios-derivadas-limites-y-funciones.pdf

7 páginas

1 página

He publicado nuevos apuntes de 1º Matemática Aplicada: funciones-limites-y-continuidad.pdf

6 páginas

He publicado nuevos apuntes de 1º Matemática Aplicada: distancia-y-simetrias.pdf

1 página
Anónimo

@Anónimo

He publicado nuevos apuntes de 1º Matemática Aplicada: Apuntes-mates-1-bach-funciones.pdf

4 páginas
Anónimo

@Anónimo

He publicado nuevos apuntes de 1º Matemática Aplicada: Apuntes-mates-1-bach-limites.pdf

4 páginas

He publicado nuevos apuntes de 1º Matemática Aplicada: Mates-1-bach-numeros-complejos.pdf

2 páginas

He publicado nuevos apuntes de 1º Matemática Aplicada: matematicas-pce.pdf

312 páginas

Apuntes completos bachillerato y selectividad de Aristóteles (Filosofía)

10 páginas

He publicado nuevos apuntes de 1º Matemática Aplicada: Apuntes-Matematicas-Aplicadas-PAU-2324-Nota13.677.pdf

3 páginas
Anónimo

@Anónimo

He publicado nuevos apuntes de 1º Matemática Aplicada: Apuntes-mates-1-bach-geometria-analitica.pdf

4 páginas

apuntes

-

Probabilidad

Resumen tema probabilidad (con todas la fórmulas)

resumen-probabilidad.pdf

He publicado nuevos apuntes de 1º Matemática Aplicada: PROBLEMASREGLADETRESSIMPLEYCOMPUESTA.pdf

4 páginas

He publicado nuevos ejercicios de 1º Matemática Aplicada: 1743612261802.jpg

Imagen

ejercicios

-

matematicas

He publicado nuevos ejercicios de 1º Matemática Aplicada: matematicas

trigonometriaejercicios.pdf

apuntes

-

Matemáticas

He publicado nuevos apuntes de 1º Matemática Aplicada: Matemáticas

logaristmosinecuaciones.pdf
trigonometriateoria.pdf

He publicado nuevos apuntes de 1º Matemática Aplicada: trigonometria.pdf

4 páginas

tipos de discontinuidades y cómo estudiar la continuidad de una función

Imagen

apuntes

-

MATES APLICADAS NM IB

He publicado nuevos apuntes de 1º Matemática Aplicada: MATES APLICADAS NM IB

tema-1-y-3.pdf
tema-2.pdf
tema-4.pdf
tema-5.pdf
tema-6.pdf
tema-7.pdf

🔨MATEMÁTICAS LA MAS ODIADA PERO LA FUNDAMENTAL EN ESTE MUNDO, SAQUÉ UN 10 (MIRA TODOS LOS DOCUS)

🔨MATEMÁTICAS LA MAS ODIADA PERO LA FUNDAMENTAL EN ESTE MUNDO, SAQUÉ UN 10 (MIRA TODOS LOS DOCUS)