Matemática Aplicada y Estadística

Todo
Apuntes
Ejercicios
Exámenes
chevron_left
chevron_right

He publicado nuevos examenes de 1º Matemática Aplicada y Estadística: Primer-parcial.JPG

Imagen

apuntes

-

Apuntes mates

He publicado nuevos apuntes de 1º Matemática Aplicada y Estadística: Apuntes mates

Tema-3.pdf
Tema-2.pdf
Tema-1.pdf
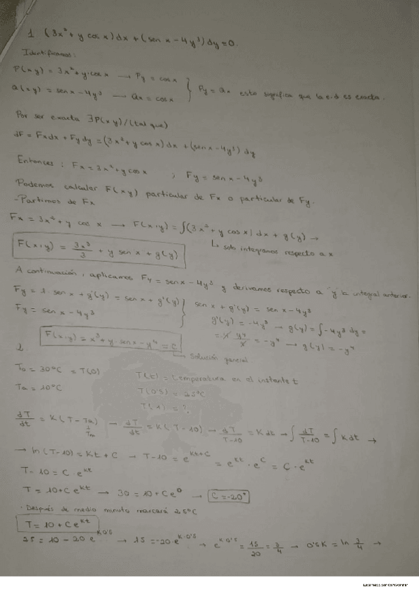
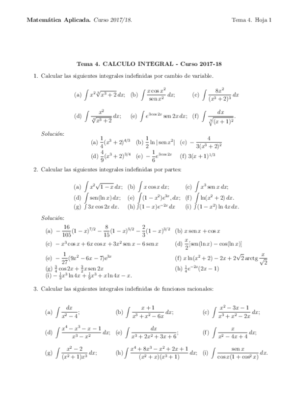
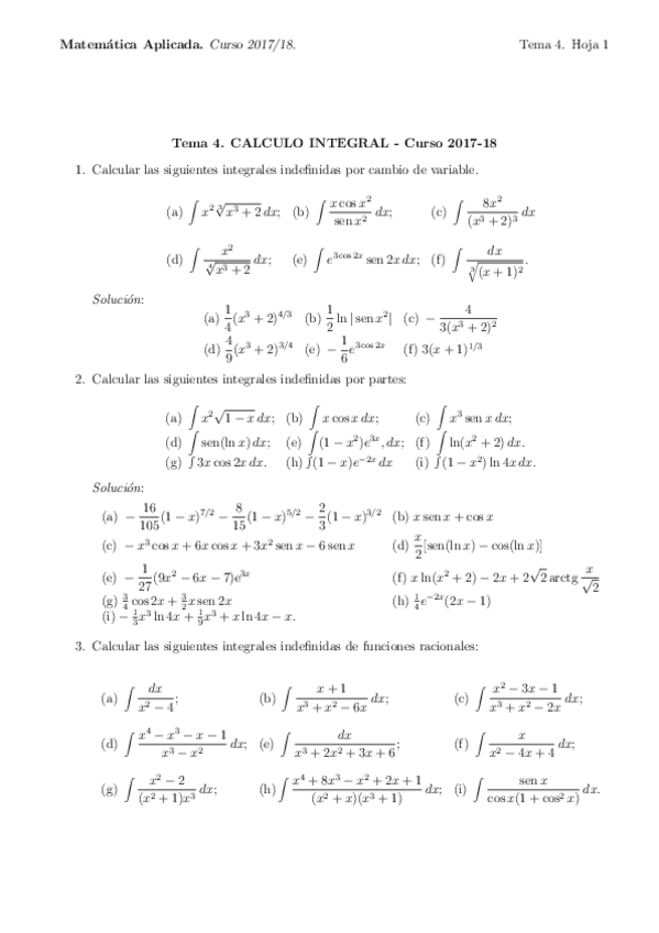
Tema-4.pdf
Tema-5.pdf
Tema-6.pdf

He publicado nuevos apuntes de 1º Matemática Aplicada y Estadística: Maxima-1-sesion.wxmx

Miniatura no disponible

He publicado nuevos apuntes de 1º Matemática Aplicada y Estadística: Examen-maxima.wxmx

Miniatura no disponible

He publicado nuevos apuntes de 1º Matemática Aplicada y Estadística: Todos-los-seminarios-de-mates.pdf

29 páginas

He publicado nuevos ejercicios de 1º Matemática Aplicada y Estadística: Ejercicios-resueltos-derivadas-e-integrales-aplicadas.pdf

20 páginas
Anónimo

@Anónimo

Cálculo integral

13 páginas
Anónimo

@Anónimo

Funciones de varias variables

3 páginas
Anónimo

@Anónimo

Cálculo diferencial

11 páginas

apuntes

-

Apuntes Mates

He publicado nuevos apuntes de 1º Matemática Aplicada y Estadística: Apuntes Mates

ApuntesTema1.pdf
FormularioTema1y2.pdf
ApuntesTema6.pdf
ApuntesTema5.pdf
Anónimo

@Anónimo

He publicado nuevos examenes de 1º Matemática Aplicada y Estadística: EXAMEN-ENERO-CURSO-202324.pdf

1 página

He publicado nuevos examenes de 1º Matemática Aplicada y Estadística: Examenes-farmacia-2-1.pdf

10 páginas

He publicado nuevos examenes de 1º Matemática Aplicada y Estadística: Examenes-farmacia-1.pdf

17 páginas

He publicado nuevos examenes de 1º Matemática Aplicada y Estadística: examenjunio20161-1.pdf

2 páginas

He publicado nuevos examenes de 1º Matemática Aplicada y Estadística: examenjulio2016.pdf

2 páginas

He publicado nuevos examenes de 1º Matemática Aplicada y Estadística: examenenero20162-1.pdf

3 páginas

apuntes

-

MÁXIMA COMPLETO

He publicado nuevos apuntes de 1º Matemática Aplicada y Estadística: MÁXIMA COMPLETO

Miniatura no disponible
PROGRAMA-EXAMEN.wxmx
Miniatura no disponible
6.wxmx
Miniatura no disponible
5.wxmx
Miniatura no disponible
4.wxmx
Miniatura no disponible
3.wxmx
Miniatura no disponible
2.wxmx
Anónimo

@Anónimo

apuntes

-

MÁXIMA COMPLETO

He publicado nuevos apuntes de 1º Matemática Aplicada y Estadística: MÁXIMA COMPLETO

MAXIMA-DIA-1.pdf
MAXIMA-DIA-2.pdf
MAXIMA-DIA-3.pdf
MAXIMA-DIA-4.pdf
MAXIMA-DIA-5.pdf
MAXIMA-DIA-6.pdf

He publicado nuevos examenes de 1º Matemática Aplicada y Estadística: Examenes-resueltos.pdf

50 páginas

He publicado nuevos apuntes de 1º Matemática Aplicada y Estadística: EXAMEN-BOTANICA-MAYO-2023.pdf

5 páginas

He publicado nuevos examenes de 1º Matemática Aplicada y Estadística: examen-convocatoria-2021.pdf

2 páginas

He publicado nuevos apuntes de 1º Matemática Aplicada y Estadística: MAXIMAwx-contenido-examen-2.pdf

4 páginas

He publicado nuevos ejercicios de 1º Matemática Aplicada y Estadística: Ejercicios-practica-6.pdf

3 páginas

He publicado nuevos ejercicios de 1º Matemática Aplicada y Estadística: Ejercicios-practica-5.pdf

2 páginas

He publicado nuevos ejercicios de 1º Matemática Aplicada y Estadística: Ejercicios-practica-4.pdf

1 página

He publicado nuevos ejercicios de 1º Matemática Aplicada y Estadística: Ejercicios-practica-6.pdf

Miniatura no disponible
pdf

He publicado nuevos ejercicios de 1º Matemática Aplicada y Estadística: ej-hechos-6-sesion-6-2-sesion-6-y-otros.pdf

Miniatura no disponible
pdf

He publicado nuevos ejercicios de 1º Matemática Aplicada y Estadística: ej-hechos-practica-4-y-5.pdf

Miniatura no disponible
pdf

He publicado nuevos ejercicios de 1º Matemática Aplicada y Estadística: Ejercicios-sesion-3.pdf

2 páginas

He publicado nuevos ejercicios de 1º Matemática Aplicada y Estadística: EJERCICIOS-sesionelos-3-HECHOS.pdf

Miniatura no disponible
pdf

He publicado nuevos apuntes de 1º Matemática Aplicada y Estadística: Practicas-MAXIMAwx.-primer-examen.pdf

6 páginas

apuntes

-

examenes

He publicado nuevos apuntes de 1º Matemática Aplicada y Estadística: examenes

MatesS2.pdf
MatesS4.pdf
MAtesS6.pdf
Anónimo

@Anónimo

apuntes

-

Examen Julio

He publicado nuevos apuntes de 1º Matemática Aplicada y Estadística: Examen Julio

examenenero20152.pdf
ExamenJulio-mates.pdf
examenenero20151.pdf
Anónimo

@Anónimo

He publicado nuevos apuntes de 1º Matemática Aplicada y Estadística: enero12-primerllama.pdf

2 páginas
Anónimo

@Anónimo

primero de farmacia, tema 5, ull documentos apuntes

6 páginas

apuntes

-

Exámenes mates

He publicado nuevos apuntes de 1º Matemática Aplicada y Estadística: Exámenes mates

EXAM26junio2020.pdf
examenparcial2016-17-1.pdf
examenenero20131.pdf
examenenero20161.pdf
examen15sept2020-FINALopcion1.pdf
Anónimo

@Anónimo

He publicado nuevos examenes de 1º Matemática Aplicada y Estadística: Ejercicios-para-convocatoria-enero2.pdf

1 página
Anónimo

@Anónimo

apuntes

-

Apuntes matemática

He publicado nuevos apuntes de 1º Matemática Aplicada y Estadística: Apuntes matemática

examenparcial2016-17.pdf
Tema-4.pdf
Tema-2.pdf
Tema-6.pdf
Tema-7.pdf
Tema-3.pdf
¡Estás al día!

¡Estás al día!

Has visto todos los archivos