Matemática Básica para Ingenieros

chevron_left
chevron_right
Todo
Apuntes
Ejercicios
Exámenes
chevron_left
chevron_right
Anónimo

@Anónimo

He publicado nuevos examenes de 1º Matemática Básica para Ingenieros: mbas-polif-t4.pdf

4 páginas

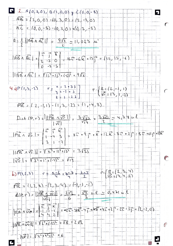
He publicado nuevos apuntes de 1º Matemática Básica para Ingenieros: Ejercicios-tema-4.pdf

5 páginas

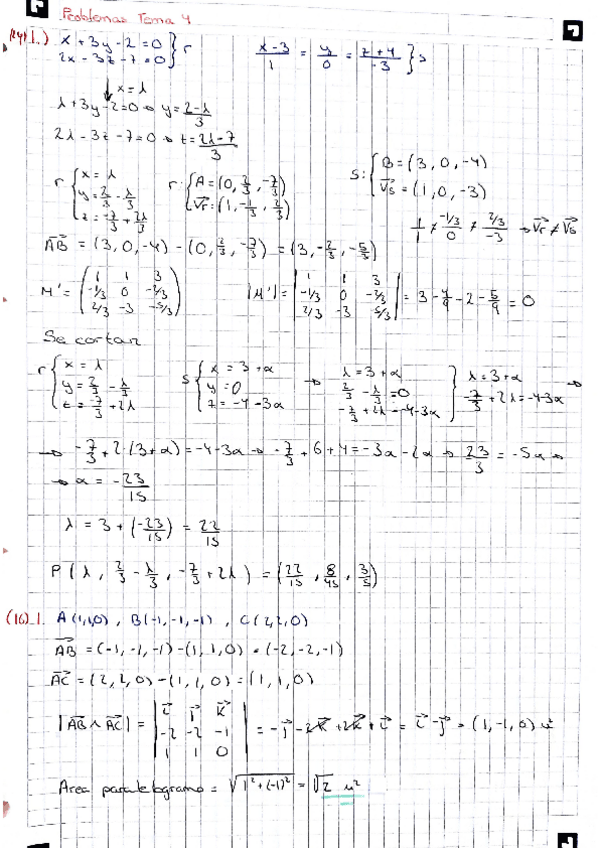
He publicado nuevos ejercicios de 1º Matemática Básica para Ingenieros: Problemas-tema-3-.pdf

6 páginas
¡Estás al día!

¡Estás al día!

Has visto todos los archivos