Matemática de las Operaciones Financieras
apuntes
-
MOF
He publicado nuevos apuntes de 1º Matemática de las Operaciones Financieras: MOF
Todos los ejercicios resueltos+ teoría a estudiar 2025/2026 al grano. si estas interesado en ellos escríbeme al correo y te los mando: ade100adee@gmail.com
He publicado nuevos apuntes de 1º Matemática de las Operaciones Financieras: Ejercicios-importantes-relacion-tema-5.pdf
He publicado nuevos apuntes de 1º Matemática de las Operaciones Financieras: Ejercicios-de-la-relacion-tema-4.pdf
He publicado nuevos apuntes de 1º Matemática de las Operaciones Financieras: Ejercicios-importantes-del-tema-2.pdf
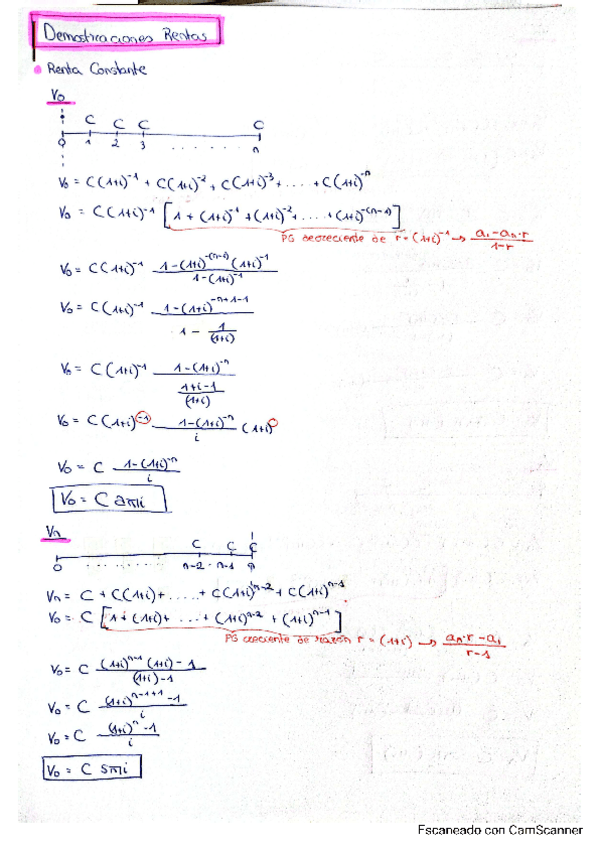
He publicado nuevos apuntes de 1º Matemática de las Operaciones Financieras: RENTAS-CONSTANTES.pdf
Apuntes de academia NOTA y OLIMPIA, con ejercicios para aburrir, todos corregidos por la academia y algún que otro examen de convocatorias anteriores. Apuntes hechos por mi con lo justo y necesario para aprobar la teoría de la asignatura. Se entrega todo en persona, no es un pdf. Interesad@s preguntar en aprendeade.umu@gmail.com

Con estas demostraciones pasé la teoría del examen final de amortización
He publicado nuevos apuntes de 1º Matemática de las Operaciones Financieras: BLOQUE-II-MOF.pdf
He publicado nuevos apuntes de 1º Matemática de las Operaciones Financieras: Bloque-I-MOF.pdf
He publicado nuevos apuntes de 1º Matemática de las Operaciones Financieras: Teoria-amortizaciones-lo-que-realmente-sale-sin-tontearias.pdf
tengo que ir al final con todo, alguien sabe si apruebo el bloque 1 en el final aunque suspenda lo demas si se me quitaría el bloque uno o para el proximo final tendria que llevarlo igualmente?
suelen poner demostraciones de amortizaciones o solo de rentas?
Es muy probable que caigan demostraciones en el final?
A quien le interesen las preguntas que salen en el final de MOF de academia que me escriba y se las paso: ade100adee@gmail.com
Todas las relaciones resueltas 2025/2026 + teoría a estudiar cara al examen final. si estas interesado háblame al correo : ade100adee@gmail.com
apuntes
-
Descuento bancario
He publicado nuevos apuntes de 1º Matemática de las Operaciones Financieras: Descuento bancario
He vuelto a subir los ejercicios de rentas en varias partes para que podáis descargarlos.
apuntes
-
Rentas
He publicado nuevos apuntes de 1º Matemática de las Operaciones Financieras: Rentas
Si tienes aprobado el parcial de los primeros 5 temas, en el final suele poner demostraciones de rentas?
Ya está disponible en mi perfil todos los ejercicios de amortizaciones realizados en clase
He publicado nuevos apuntes de 1º Matemática de las Operaciones Financieras: Amortizaciones-EXAMEN.pdf
He publicado nuevos apuntes de 1º Matemática de las Operaciones Financieras: Amortizaciones-2-parte.pdf
ejercicios
-
MOF 2025
Ejercicios corregidos de clase RENTAS
Alguien tiene la relación de ejercicios de amortizaciones resuelta?
He publicado nuevos apuntes de 1º Matemática de las Operaciones Financieras: Relacion-6-Amortizaciones-1-parte.pdf
Si podéis subir ejercicios de amortizaciones 25/26 graciasss
Si necesitas los ejercicios de MOF parte RENTAS explicadas paso a paso háblame al correo: ade100adee@gmail.com
He publicado nuevos apuntes de 1º Matemática de las Operaciones Financieras: Demostraciones-Rentas-Completas.pdf
hola! alguien podría subir la relación de ejercicios de rentas de este año 25/26 resuelta por favor??
He publicado nuevos examenes de 1º Matemática de las Operaciones Financieras: Parcial-1-MOF-Octubre-2025.pdf
He publicado nuevos apuntes de 1º Matemática de las Operaciones Financieras: TEORIA-TEMA-2-MOF.pdf
He publicado nuevos apuntes de 1º Matemática de las Operaciones Financieras: TEORIA-TEMA-1-MOF.pdf
He publicado nuevos apuntes de 1º Matemática de las Operaciones Financieras: DESCUENTO-BANCARIO-EJERCICIOS-EXAMEN-10-15.pdf
He publicado nuevos ejercicios de 1º Matemática de las Operaciones Financieras: LEYES-FINANCIERAS-2526.pdf
He publicado nuevos apuntes de 1º Matemática de las Operaciones Financieras: PROB-LEYES-FINANCIERAS-202526.pdf
He publicado nuevos apuntes de 1º Matemática de las Operaciones Financieras: Relacion-4-liquidacion-de-cuentas-corrientes.pdf
He publicado nuevos apuntes de 1º Matemática de las Operaciones Financieras: Relacion-2-unificacion-de-capitales.pdf
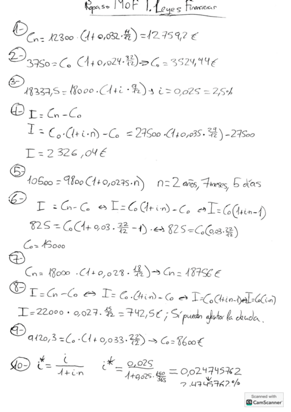
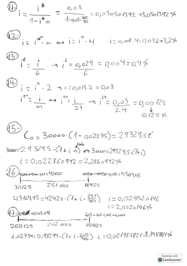
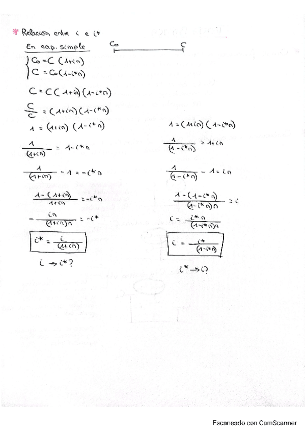
Ejercicios Leyes Financieras Resueltos Correctamente
apuntes
-
Ejercicios resueltos mof
Ejercicios resueltos y Explicados de matemáticas de las operaciones Financieras. Curso 2025/2026
teneis hechas las relaciones de este año 25/26???
He publicado nuevos apuntes de 1º Matemática de las Operaciones Financieras: Relacion-1-Leyes-Financiers.pdf
He publicado nuevos apuntes de 1º Matemática de las Operaciones Financieras: Teoria-MOF.pdf
He publicado nuevos apuntes de 1º Matemática de las Operaciones Financieras: TEORIA-EXAMEN-T12345-MOF.pdf
He publicado nuevos apuntes de 1º Matemática de las Operaciones Financieras: PREGUNTAS-TEORICAS-T2Y3-DE-MOF.pdf
He publicado nuevos apuntes de 1º Matemática de las Operaciones Financieras: Preguntas-teorico-practicas-RENTAS.pdf
He publicado nuevos apuntes de 1º Matemática de las Operaciones Financieras: BLOQUE-4-AMORTIZACION.pdf
He publicado nuevos apuntes de 1º Matemática de las Operaciones Financieras: BLOQUE-3-MOF.pdf
He publicado nuevos apuntes de 1º Matemática de las Operaciones Financieras: BLOQUE-1-MOF.pdf