Matemática Discreta
+99
Creadoresejercicios
-
EJERCICIOS MATEMATICA DISCRETA
He publicado nuevos ejercicios de 1º Matemática Discreta: EJERCICIOS MATEMATICA DISCRETA
apuntes
-
APUNTES UNIDAD TEMATICA II MATEMAICA DISCRETA
He publicado nuevos apuntes de 1º Matemática Discreta: APUNTES UNIDAD TEMATICA II MATEMAICA DISCRETA
apuntes
-
Matemática Discreta 24/25
He publicado nuevos apuntes de 1º Matemática Discreta: Matemática Discreta 24/25
He publicado nuevos apuntes de 2º Matemática Discreta: Matematica-Discreta.pdf
He publicado nuevos apuntes de 1º Matemática Discreta: Matematicas-ApuntesTema6.pdf
He publicado nuevos apuntes de 1º Matemática Discreta: Matematicas-ApuntesTema5.pdf
He publicado nuevos apuntes de 1º Matemática Discreta: TEMA-3-FUNCIONES-GENERATRICES-Y-TEORIA-DE-GRAFOS.pdf
He publicado nuevos apuntes de 1º Matemática Discreta: Resumen-Tema-6-Grafos..pdf
apuntes
-
Apuntes Matemática Discreta
He publicado nuevos apuntes de 2º Matemática Discreta: Apuntes Matemática Discreta
Soluciones Ejercicios Tema 5 Combinatoria + enunciados



ejercicios
-
Ejercicios Prueba
He publicado nuevos ejercicios de 1º Matemática Discreta: Ejercicios Prueba
He publicado nuevos apuntes de 1º Matemática Discreta: MANUAL-SAGE-MATEMATICAS-DISCRETA.pdf
He publicado nuevos ejercicios de 1º Matemática Discreta: Discreta-Combinatoria-2.pdf
Todo lo clave para estudiar Matemáticas discreta en unas pocas hojas
apuntes
-
Máxima
He publicado nuevos apuntes de 1º Matemática Discreta: Máxima
He publicado nuevos apuntes de 1º Matemática Discreta: Tema-4-La-Logica-Clasica-Proposicional.pdf
He publicado nuevos test de 1º Matemática Discreta: Tipo-Test-Combinatoria-Temas-4-y-5.pdf
He publicado nuevos apuntes de 1º Matemática Discreta: Apuntes-Matematicas.Tema-6.Grafos.pdf
He publicado nuevos apuntes de 1º Matemática Discreta: Resumen-combinatoria.pdf
Guia para la asignatura de Matemáticas Discreta en esquemas, facil de entender. Cuenta con notas de como identificar que algoritmo hacer en cada problema
Ejercicios de repaso. Soluciones en mi perfil.
Soluciones Ejercicios Matemáticas Tema 5 Combinatoria




He publicado nuevos apuntes de 1º Matemática Discreta: Matematicas-Tema-5-Combinatoria.pdf
He publicado nuevos examenes de 2º Matemática Discreta: EXAMEN-DE-PRACTICAS-2025.pdf
Plantilla completa para examen de prácticas Sage 2025/26
En el examen se permite llevar una hoja como índice del contenido de las prácticas. Esta es del curso 2025/26, comprueba que coincida con las de tu curso antes de usarla.
He publicado nuevos apuntes de 1º Matemática Discreta: AritmetikamodularraetaRSAalgoritmoa.pdf
apuntes
-
APUNTES-COMPLETOS-MAXIMA-TODOS_LOS_TEMAS
He publicado nuevos apuntes de 1º Matemática Discreta: APUNTES-COMPLETOS-MAXIMA-TODOS_LOS_TEMAS
He publicado nuevos apuntes de 1º Matemática Discreta: TEMA-2-COMBINATORIA.pdf
apuntes
-
Practicas Laboratorio MD
He publicado nuevos apuntes de 2º Matemática Discreta: Practicas Laboratorio MD
Apuntes para examen tema 4.

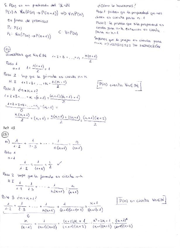
Apuntes para examen del Tema 2 y 3.


He publicado nuevos apuntes de 1º Matemática Discreta: md-t5-automatas.pdf
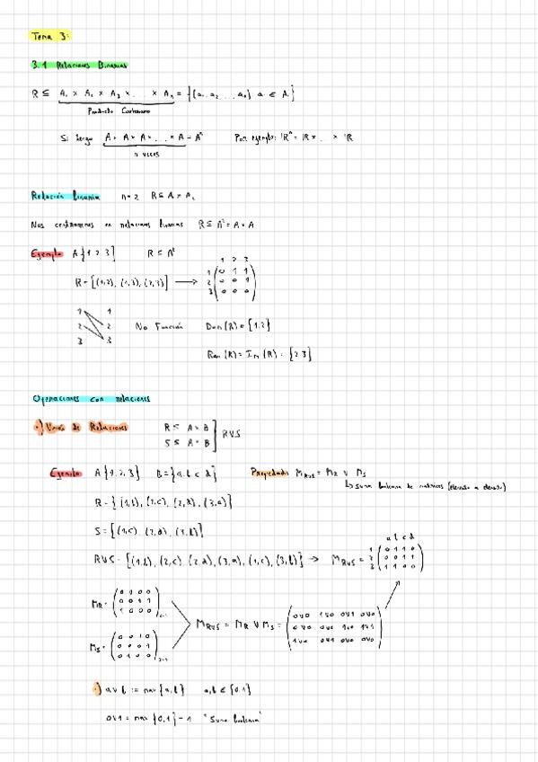
He publicado nuevos apuntes de 1º Matemática Discreta: md-t4-relaciones.pdf
Exámenes realizados con IA basados en la segunda prueba de prácticas de discreta. Vienen bien para repasar
apuntes
-
Matemática Discreta 1º
He publicado nuevos apuntes de 1º Matemática Discreta: Matemática Discreta 1º
apuntes
-
APUNTES TEMAS 4, 5, 6
He publicado nuevos apuntes de 1º Matemática Discreta: APUNTES TEMAS 4, 5, 6
He publicado nuevos apuntes de 1º Matemática Discreta: Matematica-discreta-Teoria-4-La-logica-clasica-proposicional.pdf
He publicado nuevos apuntes de 1º Matemática Discreta: Maxima-resumen-todos-los-temas.pdf