Matemática Discreta y Lógica Matemática I
apuntes
-
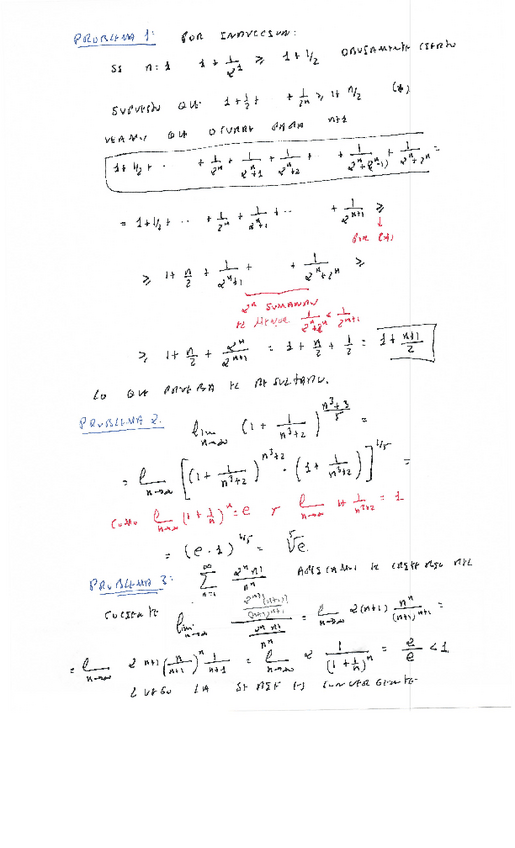
Inducción Simple. Fragmento del SPEEDRUN de MDL1
Video y Apuntes sobre Indución Simple del SPEEDRUN de MDL1. Incluye esquemas para entender inducción a la perfección y un ejemplo de examen
Intensivo Matemática Discreta y Lógica Matemática I
¡Te ayudamos a superar el examen!

examenes
-
CUESTIONARIOS
He publicado nuevos examenes de 1º Matemática Discreta y Lógica Matemática I: CUESTIONARIOS
He publicado nuevos apuntes de 1º Matemática Discreta y Lógica Matemática I: Academia-MDL1temario-completo-con-examanes-resueltos.pdf
He publicado nuevos apuntes de 1º Matemática Discreta y Lógica Matemática I: Resumen-Ultimos-Temas.pdf
He publicado nuevos apuntes de 1º Matemática Discreta y Lógica Matemática I: Intensivo-con-apuntes-y-ejercicios-de-examen-explicados.pdf
apuntes
-
Apuntes MDL1
He publicado nuevos apuntes de 1º Matemática Discreta y Lógica Matemática I: Apuntes MDL1
He publicado nuevos apuntes de 1º Matemática Discreta y Lógica Matemática I: Apuntes-para-examen-MDL1.pdf
examenes
-
EXAMENES 21-22
He publicado nuevos examenes de 1º Matemática Discreta y Lógica Matemática I: EXAMENES 21-22
He publicado nuevos apuntes de 1º Matemática Discreta y Lógica Matemática I: Intensivo-MDL1.pdf
ejercicios
-
SolEntregas_Margarita-21-22
He publicado nuevos ejercicios de 1º Matemática Discreta y Lógica Matemática I: SolEntregas_Margarita-21-22
He publicado nuevos apuntes de 1º Matemática Discreta y Lógica Matemática I: MDL1.pdf
He publicado nuevos apuntes de 1º Matemática Discreta y Lógica Matemática I: Apuntes-MDL2-COMPLETOS.pdf
He publicado nuevos apuntes de 1º Matemática Discreta y Lógica Matemática I: Apuntes-MDL1-COMPLETOS.pdf
He publicado nuevos examenes de 1º Matemática Discreta y Lógica Matemática I: tests.pdf
ejercicios
-
Matemática Discreta para Informáticos
He publicado nuevos ejercicios de 1º Matemática Discreta y Lógica Matemática I: Matemática Discreta para Informáticos
apuntes
-
Ejercicios de estática
He publicado nuevos apuntes de 1º Matemática Discreta y Lógica Matemática I: Ejercicios de estática
apuntes
-
apuntes y ejercicios examen
He publicado nuevos apuntes de 1º Matemática Discreta y Lógica Matemática I: apuntes y ejercicios examen
He publicado nuevos examenes de 1º Matemática Discreta y Lógica Matemática I: Examenes-Resueltos-Calculo.pdf
He publicado nuevos apuntes de 1º Matemática Discreta y Lógica Matemática I: Apuntes-Algebra-.pdf
He publicado nuevos apuntes de 1º Matemática Discreta y Lógica Matemática I: Apuntes-Calculo.pdf
He publicado nuevos apuntes de 1º Matemática Discreta y Lógica Matemática I: APUNTES-MDL1.pdf
He publicado nuevos examenes de 1º Matemática Discreta y Lógica Matemática I: examenesMDL1.pdf
He publicado nuevos apuntes de 1º Matemática Discreta y Lógica Matemática I: MDL1Febrero2021.pdf
He publicado nuevos apuntes de 1º Matemática Discreta y Lógica Matemática I: APUNTES-MDL2.pdf
He publicado nuevos ejercicios de 1º Matemática Discreta y Lógica Matemática I: ejsmd.pdf
He publicado nuevos apuntes de 1º Matemática Discreta y Lógica Matemática I: Sol-MDL2EX-SEPT-2020-1.pdf
practicas
-
Practicas 2019-2020 Resueltas
He publicado nuevos practicas de 1º Matemática Discreta y Lógica Matemática I: Practicas 2019-2020 Resueltas
He publicado nuevos examenes de 1º Matemática Discreta y Lógica Matemática I: Soluc-Junio-20.pdf
He publicado nuevos apuntes de 1º Matemática Discreta y Lógica Matemática I: TEMARIO-MDL-I.pdf
He publicado nuevos ejercicios de 1º Matemática Discreta y Lógica Matemática I: Respuestas-EJER-PLOS-1-2017.pdf
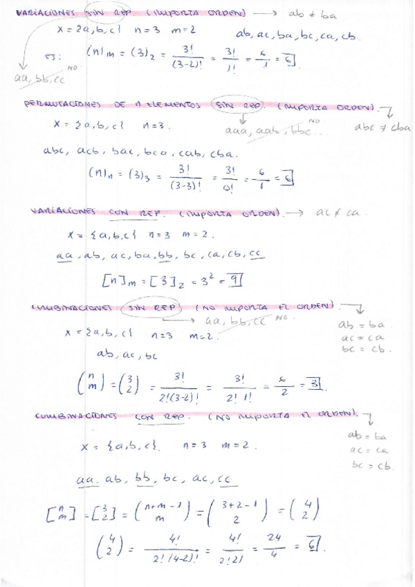
He publicado nuevos apuntes de 1º Matemática Discreta y Lógica Matemática I: ResumenCombinatoria.pdf
He publicado nuevos ejercicios de 1º Matemática Discreta y Lógica Matemática I: EjerciciosCombinatoriasoluciones.pdf
He publicado nuevos ejercicios de 1º Matemática Discreta y Lógica Matemática I: solucionesTableaux.pdf
He publicado nuevos ejercicios de 1º Matemática Discreta y Lógica Matemática I: SolucionesHojaGrafos.pdf
He publicado nuevos apuntes de 1º Matemática Discreta y Lógica Matemática I: ResumenGrafos.pdf
He publicado nuevos ejercicios de 1º Matemática Discreta y Lógica Matemática I: Hoja13soluciones.pdf
He publicado nuevos ejercicios de 1º Matemática Discreta y Lógica Matemática I: Hoja12soluciones.pdf
He publicado nuevos ejercicios de 1º Matemática Discreta y Lógica Matemática I: Hoja11soluciones.pdf
He publicado nuevos ejercicios de 1º Matemática Discreta y Lógica Matemática I: EjercicioLPOsolucion.pdf
He publicado nuevos examenes de 1º Matemática Discreta y Lógica Matemática I: EjerciciosyExamenes2cuatri.pdf
He publicado nuevos ejercicios de 1º Matemática Discreta y Lógica Matemática I: Ejs-Grafos-y-combinatoria.pdf
He publicado nuevos apuntes de 1º Matemática Discreta y Lógica Matemática I: apuntesCalculoCompletos.pdf
apuntes
-
TEORIA/EJER ALG LINEAL y ESP VECTORIALES
He publicado nuevos apuntes de 1º Matemática Discreta y Lógica Matemática I: TEORIA/EJER ALG LINEAL y ESP VECTORIALES
He publicado nuevos examenes de 1º Matemática Discreta y Lógica Matemática I: SolucionesEFMDL1Enero2020.pdf
He publicado nuevos examenes de 1º Matemática Discreta y Lógica Matemática I: Ex-Enero-20-Resuelto.pdf
examenes
-
Examenes con soluciones
He publicado nuevos examenes de 1º Matemática Discreta y Lógica Matemática I: Examenes con soluciones
examenes
-
EXAMENES 2018 Y 2019
He publicado nuevos examenes de 1º Matemática Discreta y Lógica Matemática I: EXAMENES 2018 Y 2019
apuntes
-
APUNTES ACADEMIA
He publicado nuevos apuntes de 1º Matemática Discreta y Lógica Matemática I: APUNTES ACADEMIA
He publicado nuevos examenes de 1º Matemática Discreta y Lógica Matemática I: Ex-Enero-19.pdf
He publicado nuevos apuntes de 1º Matemática Discreta y Lógica Matemática I: ExFeb2019.pdf
examenes
-
Soluciones Examenes 2015-2017
He publicado nuevos examenes de 1º Matemática Discreta y Lógica Matemática I: Soluciones Examenes 2015-2017