Todo
Apuntes
Ejercicios
Exámenes
Prácticas
chevron_left
chevron_right

He publicado nuevos apuntes de 1º Matemática Discreta: MANUAL-SAGE-MATEMATICAS-DISCRETA.pdf

12 páginas

ejercicios

-

Ejercicios variados

He publicado nuevos ejercicios de 1º Matemática Discreta: Ejercicios variados

MatDis2425EjerciciosPoquer.pdf
MatDis24-25-Ejercicios.pdf
MatDis24-25-EjerciciosCapitulo4.pdf

He publicado nuevos apuntes de 1º Matemática Discreta: Apuntes-profesor-24-25.pdf

89 páginas

He publicado nuevos examenes de 1º Matemática Discreta: Examen-Parcial-2025.pdf

1 página

He publicado nuevos apuntes de 1º Matemática Discreta: Resumen-Matematica-Discreta.pdf

4 páginas

He publicado nuevos examenes de 1º Matemática Discreta: Examen-Discreta-Ordinaria-2025.pdf

2 páginas
Anónimo

@Anónimo

He publicado nuevos examenes de 1º Matemática Discreta: EXAMEN-DISCRETA-JUNIO-2024.pdf

2 páginas

He publicado nuevos apuntes de 1º Matemática Discreta: Resumen-temario-Discretas.pdf

29 páginas

He publicado nuevos apuntes de 1º Matemática Discreta: Logica.pdf

2 páginas

apuntes

-

Apuntes Discreta Completos

He publicado nuevos apuntes de 1º Matemática Discreta: Apuntes Discreta Completos

Combinatoria.pdf
Grafos.pdf
Logica.pdf
Teoria-de-numeros.pdf

He publicado nuevos apuntes de 1º Matemática Discreta: Teoria-de-Numeros.pdf

3 páginas

He publicado nuevos examenes de 1º Matemática Discreta: Examen1convMatDisc2024.pdf

2 páginas

practicas

-

Practica 4 - Grafos

He publicado nuevos practicas de 1º Matemática Discreta: Practica 4 - Grafos

Enunciado-practica-4-grafos.pdf
SageMath-Practica4-Grafos.pdf

practicas

-

Practica 3 - Criptografia

He publicado nuevos practicas de 1º Matemática Discreta: Practica 3 - Criptografia

SageMath-Practica3-Criptografia.pdf
Enunciado-practica-3-criptografia.pdf

practicas

-

Practica 2 - Aritmetica

He publicado nuevos practicas de 1º Matemática Discreta: Practica 2 - Aritmetica

SageMath-Practica2-Aritmetica.pdf
Enuncuado-practica-2-aritmetica.pdf

practicas

-

Practica 1 - Lógica

He publicado nuevos practicas de 1º Matemática Discreta: Practica 1 - Lógica

Enuncuado-Practica-1.pdf
SageMath-Practica1-Logica.pdf
Anónimo

@Anónimo

He publicado nuevos examenes de 1º Matemática Discreta: Examen-Parcial-2024.pdf

1 página

ejercicios

-

Ejercicios-MatDisc

He publicado nuevos ejercicios de 1º Matemática Discreta: Ejercicios-MatDisc

EjerciciosT1.pdf
EjerciciosT2.pdf

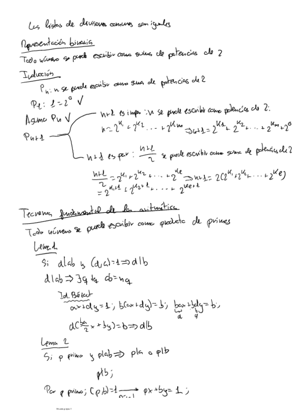
He publicado nuevos apuntes de 1º Matemática Discreta: WhatsApp-Image-2023-05-14-at-11.43.57.jpeg

Imagen

apuntes

-

Apuntes-MatDisc

He publicado nuevos apuntes de 1º Matemática Discreta: Apuntes-MatDisc

Tema1-Logica.pdf
Tema2-Teoria-de-Numeros.pdf

He publicado nuevos examenes de 1º Matemática Discreta: Examen-Parcial-2022.pdf

1 página

He publicado nuevos apuntes de 1º Matemática Discreta: Resumen-Temario-COMPLETO.pdf

57 páginas

He publicado nuevos examenes de 1º Matemática Discreta: Examen-Final-2022.pdf

2 páginas

He publicado nuevos apuntes de 1º Matemática Discreta: Dijkstra-Apuntes.pdf

3 páginas

ejercicios

-

SOLUCIONES-PROBLEMAS

He publicado nuevos ejercicios de 1º Matemática Discreta: SOLUCIONES-PROBLEMAS

Prob1.pdf
Prob2.pdf
Prob3.pdf
Prob4.pdf
Problemas-RESUELTOS.pdf

He publicado nuevos apuntes de 1º Matemática Discreta: Introduccion-a-la-Logica.pdf

5 páginas

He publicado nuevos apuntes de 1º Matemática Discreta: COMBINATORIA.pdf

10 páginas

He publicado nuevos apuntes de 1º Matemática Discreta: ARBOLES-GENERADORES-Y-GRAFOS-PONDERADOS.pdf

5 páginas
Anónimo

@Anónimo

He publicado nuevos apuntes de 1º Matemática Discreta: T3 (Grafos, primera parte).pdf

5 páginas
Anónimo

@Anónimo

He publicado nuevos apuntes de 1º Matemática Discreta: T1 (Logica) y T2 (Teoria de Numeros).pdf

12 páginas

He publicado nuevos examenes de 1º Matemática Discreta: Julio-2023.pdf

2 páginas

He publicado nuevos examenes de 1º Matemática Discreta: SOLUCION-SEPTIEMBRE-2022.pdf

3 páginas

He publicado nuevos apuntes de 1º Matemática Discreta: Apuntes-Logica-y-Teoria-Numeros.pdf

13 páginas

He publicado nuevos examenes de 1º Matemática Discreta: Examen-final-2023.pdf

2 páginas

apuntes

-

Matemática Discreta para Dummies

He publicado nuevos apuntes de 1º Matemática Discreta: Matemática Discreta para Dummies

Tema-1-Logica.pdf
Tema-2-Teoria-de-numeros.pdf
Tema-3-Combinatoria.pdf
Tema-4-Grafos.pdf

He publicado nuevos apuntes de 1º Matemática Discreta: RESUMEN-T3-4.pdf

7 páginas
Anónimo

@Anónimo

He publicado nuevos apuntes de 1º Matemática Discreta: DEMOSTRACIONES-ARBOLES.pdf

5 páginas

He publicado nuevos apuntes de 1º Matemática Discreta: Demostraciones-Tema-2.pdf

7 páginas

He publicado nuevos examenes de 1º Matemática Discreta: Examen-Junio-2022.pdf

5 páginas

He publicado nuevos examenes de 1º Matemática Discreta: Examen-practicas-enunciado.pdf

1 página

He publicado nuevos examenes de 1º Matemática Discreta: Examen-Practicas-2022-2023.pdf

3 páginas

practicas

-

PRACTICAS 2022-23

He publicado nuevos practicas de 1º Matemática Discreta: PRACTICAS 2022-23

MatDisPractica1.pdf
MatDisPractica2.pdf
MatDisPractica3.pdf
MatDisPractica4.pdf

He publicado nuevos examenes de 1º Matemática Discreta: SOLUCIONPARCIAL-4122023.pdf

7 páginas

He publicado nuevos examenes de 1º Matemática Discreta: SOLUCION_PARCIAL_411_2023.pdf

6 páginas

He publicado nuevos examenes de 1º Matemática Discreta: Examen-parcial-2023-grupo-tardes.pdf

1 página

He publicado nuevos apuntes de 1º Matemática Discreta: Enunciado-examen-Parcial-2023.pdf

1 página

He publicado nuevos apuntes de 1º Matemática Discreta: RESUMEN-Tema-3.pdf

3 páginas

He publicado nuevos apuntes de 1º Matemática Discreta: Teoria-Tema-2-Teoria-de-numeros-.pdf

16 páginas

He publicado nuevos apuntes de 1º Matemática Discreta: Teoria-Tema-3-Grafos.pdf

8 páginas

He publicado nuevos apuntes de 1º Matemática Discreta: Teoria-Tema-1-Logica.pdf

5 páginas
Anónimo

@Anónimo

He publicado nuevos ejercicios de 1º Matemática Discreta: PROBLEMASRESUELTOSTEMA2.pdf

10 páginas

He publicado nuevos apuntes de 1º Matemática Discreta: RESUMEN-Tema-2.pdf

6 páginas

He publicado nuevos apuntes de 1º Matemática Discreta: RESUMEN-Tema-1.pdf

1 página
Anónimo

@Anónimo

He publicado nuevos ejercicios de 1º Matemática Discreta: PROBLEMAS-RESUELTOS-T1.pdf

2 páginas

He publicado nuevos apuntes de 1º Matemática Discreta: teoriaCompletaDiscreta.pdf

19 páginas

He publicado nuevos examenes de 1º Matemática Discreta: Examen-Septiembre-2022.pdf

2 páginas

He publicado nuevos examenes de 1º Matemática Discreta: examenFinalDiscretaJunio2022.pdf

2 páginas

He publicado nuevos ejercicios de 1º Matemática Discreta: Tema4-Combinatoria.pdf

8 páginas

He publicado nuevos apuntes de 1º Matemática Discreta: Tema-4-combinatoria.pdf

8 páginas

He publicado nuevos ejercicios de 1º Matemática Discreta: matediscreta.pdf

77 páginas