Todo
Apuntes
Ejercicios
Exámenes
Otros
publication
chevron_left
chevron_right

apuntes

-

Exámenes PROPUESTA Parcial II Discretas

5 PROPUESTAS de EXÁMENES con SOLUCIONES para Matemática Discreta | Parcial II. Hay ejercicios de todo tipo. Recomendado imprimirlos.

MDPropuesta1.pdf
MDPropuesta1Resuelto.pdf
MDPropuesta2.pdf
MDPropuesta2Resuelto.pdf
MDPropuesta3.pdf
MDPropuesta3Resuelto.pdf

He publicado nuevos apuntes de 1º Matemática Discreta: APUNTES-MD(revisado/aprobado por Luis la Fuente).pdf.pdf

18 páginas

ejercicios

-

EJERCICIOS MATEMATICA DISCRETA

He publicado nuevos ejercicios de 1º Matemática Discreta: EJERCICIOS MATEMATICA DISCRETA

Enunciados-ejercicios-tema-8-Discreta.pdf

apuntes

-

APUNTES UNIDAD TEMATICA II MATEMAICA DISCRETA

He publicado nuevos apuntes de 1º Matemática Discreta: APUNTES UNIDAD TEMATICA II MATEMAICA DISCRETA

Tema-8-Ecuaciones-Diofanticas.pdf

Ejercicio del parcial del bloque 1 curso 24-25

1 página

He publicado nuevos ejercicios de 1º Matemática Discreta: EJERCICIOS-LOGICA-MD.pdf

6 páginas

apuntes

-

APUNTES UNIDAD TEMATICA I MATEMATICA DISCRETA

He publicado nuevos apuntes de 1º Matemática Discreta: APUNTES UNIDAD TEMATICA I MATEMATICA DISCRETA

Ud1-Logica-de-Proposiciones.pdf
Ud2-Logica-de-Predicados.pdf
Ud3-Conjuntos-y-Subconjuntos.pdf
Tema-4-Operaciones-con-Conjuntos.pdf
Tema-5-Principios-Basicos-de-Conteo.pdf

Discreta/Cálculo (Anki) De cálculo tiene solo de una variable y algunas cosas de Sagemath. Es básicamente lo más esencial (infinitésimos, estrategias para límites, dominio, alguna integral...) La parte de matemática discreta es muy sólida (es el punto FUE

Miniatura no disponible

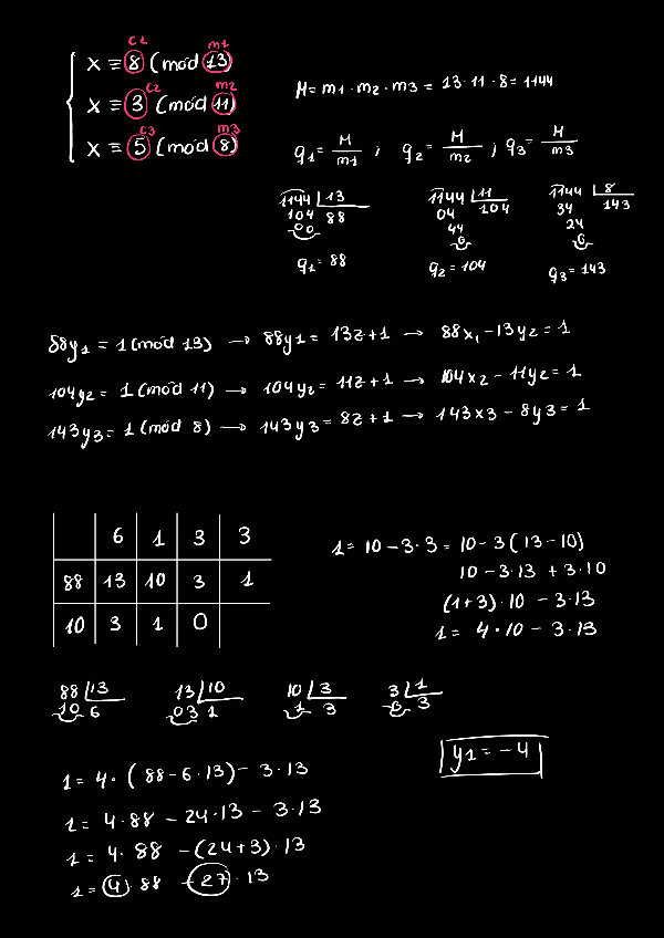
Forma sencilla de hacer el Teorema chino del resto para ejercicios de exámenes de la UTII de MD.

2 páginas

Ejercicios y Ejemplos resueltos del Bloque II de Matemática Discreta

22 páginas

Resumen del Bloque II de Matemática Discreta

8 páginas

Resumen completo UT 2

16 páginas

UT 1

4 páginas

UT 1

6 páginas

UT 1

5 páginas

UT 1

6 páginas

apuntes

-

Unidad temática II

Todos los apuntes de la unidad tematica II!!!

Miniatura no disponible
Tema-9-Congruencias.pdf
Miniatura no disponible
Tema-7-Teorema-fundamental-de-la-aritmetica.pdf
Miniatura no disponible
Tema-8-Ecuaciones-diofanticas.pdf
Tema-6-Divisibilidad.-Algoritmo-de-la-division.pdf

ejercicios

-

Ejercicios tipo examen

Ejercicios tipo modelo de examen de todos los temas

Ejercicios-Tema-1.pdf
Miniatura no disponible
Ejercicios-tema-2.pdf
Ejercicios-tema-3.pdf
Ejercicios-tema-5.pdf
Ejercicios-tema-4.pdf
Ejercicios-tema-8.pdf

apuntes

-

Unidad Temática I

He publicado nuevos apuntes de 1º Matemática Discreta: Unidad Temática I

Tema-1-Logica-de-proposiciones.pdf
Miniatura no disponible
Tema-2-Logica-de-predicados.pdf
Tema-3-Conjuntos-y-subconjuntos.pdf
Miniatura no disponible
Tema-4-Operaciones-de-conjuntos.pdf
Tema-5-Principios-basicos-del-conteo.pdf

Un resumen sobre toda la teoría, propiedades y demás sobre la Unidad Temática I

1 página

Un resumen sobre toda la teoría, propiedades y demás sobre la Unidad Temática II, es recomendable practicar los ejemplos hechos en clase, esto es solo un resumen de la teoría

1 página

apuntes de clase

3 páginas

Apuntes de clase

2 páginas

Tema 7 apuntes de clase

5 páginas

Tema 6 apuntes de clase

5 páginas

Ejercicios resueltos de los temas 1, 2, 3, 4 y 5 de Matemática Discreta

16 páginas

Resumen de todo el primer bloque de Matemática Discreta

10 páginas

Definiciones y cosas importantes tema 1

2 páginas

He publicado nuevos apuntes de 1º Matemática Discreta: Asi-aprobe-MD UTII.pdf

3 páginas

apuntes

-

Discreta (UT2)

He publicado nuevos apuntes de 1º Matemática Discreta: Discreta (UT2)

Tema-8.pdf
Tema-7.pdf
Tema-9.pdf
Tema-6.pdf
Propiedades.pdf
Cuestionario-2.pdf
Anónimo

@Anónimo

apuntes

-

Teoría discreta

He publicado nuevos apuntes de 1º Matemática Discreta: Teoría discreta

Teoria-resumida-matematica-discreta-UT2.pdf
Teoria-resumida-matematica-discreta-UT1.pdf
Anónimo

@Anónimo

He publicado nuevos apuntes de 1º Matemática Discreta: Parcial-UT2-2324.pdf

1 página

He publicado nuevos examenes de 1º Matemática Discreta: examen-final-2021-soluciones.pdf

11 páginas

He publicado nuevos examenes de 1º Matemática Discreta: examen-de-md-junio-2021.pdf

9 páginas

He publicado nuevos examenes de 1º Matemática Discreta: examen-tema-1-md.pdf

3 páginas

He publicado nuevos examenes de 1º Matemática Discreta: examen-grafos-y-combinatoria.pdf

4 páginas

apuntes

-

Discreta Unidad Temática II

He publicado nuevos apuntes de 1º Matemática Discreta: Discreta Unidad Temática II

Leccion 8.pdf
Leccion 7-.pdf
Leccion-6.pdf

apuntes

-

MD.Apuntes.Grupo.Bilingüe

He publicado nuevos apuntes de 1º Matemática Discreta: MD.Apuntes.Grupo.Bilingüe

MD.Tema.1.Prepositional.Calculus.Grupo.Bilingue.pdf
MD.Tema.2.Quantifiers.Grupo.Bilingue.pdf
MD.Tema.3.Sets.Grupo.Bilingue.pdf
MD.Tema.4.Algebra.de.Conjuntos.Grupo.Bilingue.pdf
MD.Tema.5.Basic.Counting.Principle.Grupo.Bilingue.pdf
MD.Tema.6.Divisibility.Grupo.Bilingue.pdf

apuntes

-

Discreta (UT1)

He publicado nuevos apuntes de 1º Matemática Discreta: Discreta (UT1)

Tema-1.pdf
Tema-2.pdf
Tema-3.pdf
Tema-4.pdf
Tema-5.pdf
Formularios-todos-los-temas.pdf

He publicado nuevos examenes de 1º Matemática Discreta: Conteo-Febrero-Resuelto.pdf

4 páginas

He publicado nuevos examenes de 1º Matemática Discreta: Examen-Logica-Con-Soluciones.pdf

1 página

He publicado nuevos examenes de 1º Matemática Discreta: EXAMEN-CONTEO-RESUELTO.pdf

4 páginas

He publicado nuevos examenes de 1º Matemática Discreta: Examen-Resuelto-UT1.pdf

3 páginas

He publicado nuevos apuntes de 1º Matemática Discreta: Examen-Logica-Febrero-Resuelto.pdf

2 páginas

He publicado nuevos apuntes de 1º Matemática Discreta: principios-basicos-de-conteo.pdf

1 página

He publicado nuevos apuntes de 1º Matemática Discreta: operaciones-con-conjuntos.pdf

3 páginas

He publicado nuevos apuntes de 1º Matemática Discreta: conjuntos-y-subconjuntos.pdf

2 páginas

He publicado nuevos apuntes de 1º Matemática Discreta: logica-de-predicados.pdf

2 páginas

He publicado nuevos apuntes de 1º Matemática Discreta: CamScanner-22-11-2023-19.51.pdf

4 páginas

He publicado nuevos apuntes de 1º Matemática Discreta: Esquema-implicaciones-y-equivalencias-logicas.pdf

2 páginas

apuntes

-

MD Temas 1-5

He publicado nuevos apuntes de 1º Matemática Discreta: MD Temas 1-5

Tema-1-logica-de-proposiciones.pdf
Tema-2-logica-de-predicados.pdf
Tema-3-conjuntos-y-subconjuntos.pdf
Tema-4-operaciones-con-conjuntos.pdf
Tema-5-principio-basico-de-conteo.pdf

He publicado nuevos apuntes de 1º Matemática Discreta: Discreta-4.pdf

10 páginas

apuntes

-

Apuntes Discreta UT2 ✅

He publicado nuevos apuntes de 1º Matemática Discreta: Apuntes Discreta UT2 ✅

Leccion-6-Discreta.pdf
Leccion-7-Discreta.pdf
ficha-2-hechanota-78.pdf
Leccion-8-Discreta.pdf

He publicado nuevos apuntes de 1º Matemática Discreta: Discreta-Tema-2.pdf

9 páginas

He publicado nuevos apuntes de 1º Matemática Discreta: Discreta-Tema-1.pdf

7 páginas

He publicado nuevos examenes de 1º Matemática Discreta: preguntasteoricasUT2.pdf

1 página

He publicado nuevos apuntes de 1º Matemática Discreta: Apuntes-clase-recurrencias.pdf

5 páginas

He publicado nuevos apuntes de 1º Matemática Discreta: TEORIA-EJERCICIOS-2-PARCIAL-DISCRETAS.pdf

28 páginas

He publicado nuevos examenes de 1º Matemática Discreta: febrero23UT2.pdf

3 páginas

He publicado nuevos apuntes de 1º Matemática Discreta: Parcial-1-discreta.pdf

39 páginas