Matemática Discreta

chevron_left
chevron_right
Todo
Apuntes
Ejercicios
Exámenes
Prácticas
chevron_left
chevron_right

He publicado nuevos ejercicios de 2º Matemática Discreta: Practicas-Matematica-Discreta.pdf

86 páginas

apuntes

-

Teoría-Matemática Discreta

He publicado nuevos apuntes de 2º Matemática Discreta: Teoría-Matemática Discreta

Teoria-Parte-1.pdf
Teoria-Parte-2.pdf
Teoria-Parte-3.pdf
Teoria-Parte-4.pdf

ejercicios

-

ejercicios MD 23/24

He publicado nuevos ejercicios de 2º Matemática Discreta: ejercicios MD 23/24

lista1DISCRETA.pdf
lista2AMDISCRETA.pdf
Lista2BMDISCRETA.pdf
Lista3MDISCRETA.pdf

apuntes

-

Resumenes

He publicado nuevos apuntes de 2º Matemática Discreta: Resumenes

Conteo.pdf
Grafos.pdf
Sucesiones.pdf

ejercicios

-

Ejercicios Completos 2023-2024

He publicado nuevos ejercicios de 2º Matemática Discreta: Ejercicios Completos 2023-2024

Hoja1-Discreta.pdf
Hoja-2ADiscreta.pdf
Hoja-2BDiscreta.pdf
Hoja3-Discreta.pdf
Hoja4-Disreta.pdf
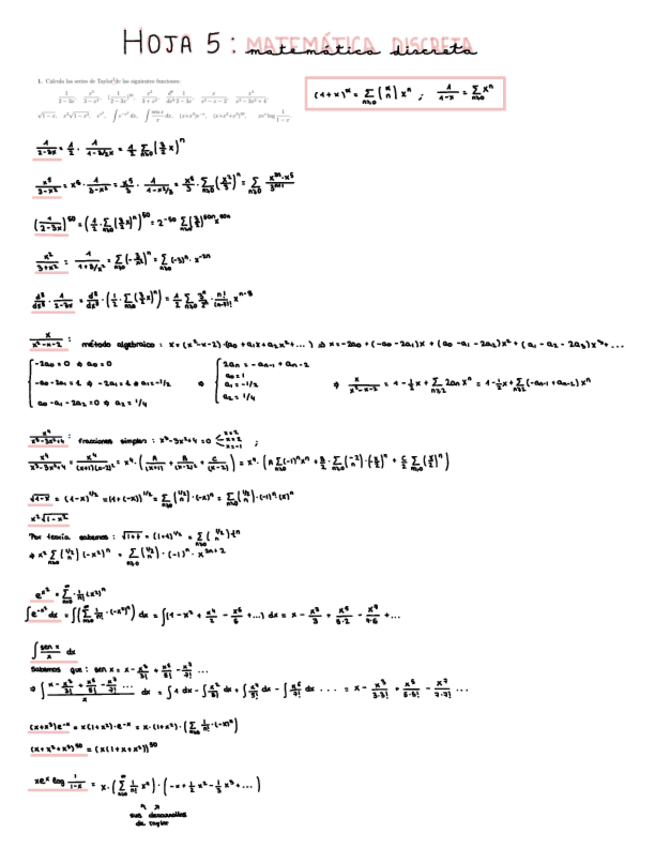
Hoja5-Discreta.pdf
Anónimo

@Anónimo

apuntes

-

Libro - El discreto encanto de las matemáticas

He publicado nuevos apuntes de 2º Matemática Discreta: Libro - El discreto encanto de las matemáticas

C2-Combinatoria.pdf.pdf
C3-Parte-1-Combinatoria.pdf
C3-Parte-2-Combinatoria.pdf
C3-Parte-3-Combinatoria.pdf
C6-Recurrencias.pdf.pdf
C10-Grafos.pdf

apuntes

-

Resúmenes Temas 3,4,5

He publicado nuevos apuntes de 2º Matemática Discreta: Resúmenes Temas 3,4,5

Resumen-Tema-3-Introduccion-a-grafos.pdf
Resumen-Tema-4-Invariantes-de-grafos.pdf
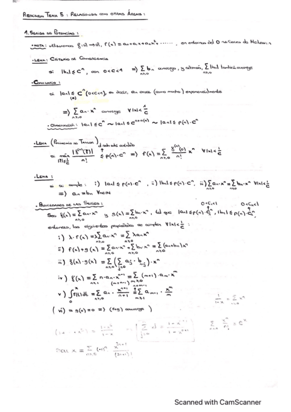
Resumen-Tema-5-Relaciones-con-otras-areas.pdf

ejercicios

-

Hojas Resueltas 2022-2023

He publicado nuevos ejercicios de 2º Matemática Discreta: Hojas Resueltas 2022-2023

Hoja-1.pdf
Hoja-2.pdf
Hoja-3.pdf
Hoja-4.pdf
Hoja-5.pdf
hojasalgunassoluciones.pdf

apuntes

-

Hojas de ejs matematica discreta

He publicado nuevos apuntes de 2º Matemática Discreta: Hojas de ejs matematica discreta

Hoja-5.-Matematica-discreta..pdf
Hoja-3.-Matematica-discreta..pdf
Hoja-2.Matematica-discreta.pdf
Hoja-1.-Matematica-discreta.pdf
Hoja-4.-Matematica-discreta..pdf

apuntes

-

Temas matematica discreta

He publicado nuevos apuntes de 2º Matemática Discreta: Temas matematica discreta

Tema-4.-Matematica-discreta..pdf
Tema-5.-Matematica-discreta.pdf
Tema-3.-Matematica-discreta..pdf
Tema-2-Matematica-Discreta.pdf
Tema-1-Matematica-Discreta.pdf

He publicado nuevos apuntes de 2º Matemática Discreta: FlashCards-Resumen-MD.pdf

20 páginas

examenes

-

EXÁMENES RESUELTOS

He publicado nuevos examenes de 2º Matemática Discreta: EXÁMENES RESUELTOS

EXAMENES-ACTUALES-2122y2223.pdf
EXAMENES-ANTIGUOS.pdf

ejercicios

-

Hojas de ejercicios resueltos 22/23

He publicado nuevos ejercicios de 2º Matemática Discreta: Hojas de ejercicios resueltos 22/23

Hoja4-discreta.pdf
Hoja5-discreta.pdf
Hoja1-discreta.pdf
Hoja3-discreta.pdf
Hoja2-discreta.pdf

apuntes

-

APUNTES+RESÚMENES

He publicado nuevos apuntes de 2º Matemática Discreta: APUNTES+RESÚMENES

RESUMENES.pdf
T5-otras-areas.pdf
T1y2-COMBINATORIA.pdf
T3y4-GRAFOS.pdf

ejercicios

-

Hojas de ejercicios resueltas 2021-2022 Matemática discreta

He publicado nuevos ejercicios de 2º Matemática Discreta: Hojas de ejercicios resueltas 2021-2022 Matemática discreta

Hoja1-R.pdf
Hoja2B-R.pdf
Hoja2A-R.pdf
Hoja3-R.pdf
Hoja-4-R.pdf
Hoja-5b-R.pdf

examenes

-

Exámenes resueltos 2021-2022 Matemática Discreta

He publicado nuevos examenes de 2º Matemática Discreta: Exámenes resueltos 2021-2022 Matemática Discreta

parcial1enunciados.pdf
parcial1soluciones.pdf
parcial2enunciados.pdf
parcial2soluciones.pdf
eneroenunciados.pdf
enerosoluciones.pdf

examenes

-

ExamDisc22/23

He publicado nuevos examenes de 2º Matemática Discreta: ExamDisc22/23

P2ej-4.pdf
eneroenunciados.pdf
P1ejs-23.pdf

ejercicios

-

HojasResueltas22/23

Ejs de tutorías y clase

Hoja1.pdf
Hoja2ejs.pdf
Hoja3ejs.pdf
Hoja4ejs.pdf
Hoja5ejs.pdf
Hoja-5-Enunciados.pdf

apuntes

-

ResumenCompacto

He publicado nuevos apuntes de 2º Matemática Discreta: ResumenCompacto

ResumenCompacto.pdf
T4Resumen.pdf
T3Resumen.pdf
T5Resumen.pdf

apuntes

-

M.DISCRETA(22/23)

He publicado nuevos apuntes de 2º Matemática Discreta: M.DISCRETA(22/23)

T1Intro-conteo.pdf
T2ConteoAvanzado.pdf
T3IntroGrafos.pdf
T4InvarianteGrafos.pdf
T5RelacionotrasAreas.pdf

examenes

-

EXAMENES Resueltos anteriores

He publicado nuevos examenes de 2º Matemática Discreta: EXAMENES Resueltos anteriores

MD-junio-1516.pdf
MD-enero-1516.pdf
quiz1MD-mat2011-12.pdf
quiz2MD-mat2011-12.pdf
sol-examen-eneroMD-mat2011-12.pdf
quiz1MD-mat2010-11.pdf

He publicado nuevos examenes de 2º Matemática Discreta: Parcial-1.pdf

1 página

He publicado nuevos examenes de 2º Matemática Discreta: Parcial-2.pdf

2 páginas

ejercicios

-

MD - Prácticas 1-5

He publicado nuevos ejercicios de 2º Matemática Discreta: MD - Prácticas 1-5

MD-Practica-5-Relaciones-con-areas.pdf
MD-Practica-1-Conteo.pdf
MD-Practica-2-Tecnicas-avanzadas.pdf
MD-Practica-3-Grafos.pdf
MD-Practica-4-Invariantes-de-Grafos.pdf

He publicado nuevos apuntes de 2º Matemática Discreta: Teoriamatdis_22/23.pdf

59 páginas

apuntes

-

Resumenes_teoría_md_22/23

He publicado nuevos apuntes de 2º Matemática Discreta: Resumenes_teoría_md_22/23

Resumen-primer-parcialmatdis.pdf
Resumen-segundo-parcialmatdis.pdf
Resumen-tercer-parcialmatdis.pdf
Resumen-finalcompactomatdis.pdf

ejercicios

-

Hojas_resueltas_md_22/23

He publicado nuevos ejercicios de 2º Matemática Discreta: Hojas_resueltas_md_22/23

Hoja-1matdis.pdf
Hoja-2matdis.pdf
Hoja-3matdis.pdf
Hoja-4matdis.pdf
Hoja-5matdis.pdf

apuntes

-

Hojas de ejercicios resueltas

He publicado nuevos apuntes de 2º Matemática Discreta: Hojas de ejercicios resueltas

Hoja-1-MD-2.pdf
Hoja-2-MD.pdf
Hoja-4-MD.pdf
Hoja-5-MD.pdf
Hoja-3-MD.pdf

apuntes

-

Teoría 2022-2023

He publicado nuevos apuntes de 2º Matemática Discreta: Teoría 2022-2023

Tema-1-Conteo-MD.pdf
Tema-2-Conteo-tecnicas-avanzadas-MD-.pdf
Tema-3-Grafos-MD.pdf
Tema-4-Invariantes-de-grafos-MD.pdf
Tema-5-Relaciones-avanzadas.pdf

examenes

-

Examenes resueltos 2022-2023

He publicado nuevos examenes de 2º Matemática Discreta: Examenes resueltos 2022-2023

parcial118octubre22.pdf
parcial2enunciados.pdf

apuntes

-

MD -Apuntes 2022-23

He publicado nuevos apuntes de 2º Matemática Discreta: MD -Apuntes 2022-23

MD-1-Introduccion-al-conteo.pdf
MD-2-Conteo-Tecnicas-avanzadas.pdf
MD-4-Invariantes-de-grafos.pdf
MD-3-Introduccion-a-grafos.pdf
MD-5-Grafos-Relaciones-con-otras-areas.pdf
Anónimo

@Anónimo

apuntes

-

Apuntes 22-23

He publicado nuevos apuntes de 2º Matemática Discreta: Apuntes 22-23

Tema-1.pdf
Tema-2-Conteo-tecnicas-avanzadas.pdf
Tema-3-Introduccion-a-grafos.pdf
Tema-4-Invariantes-de-grafos.pdf

ejercicios

-

MD - Hojas resueltas 22-23 2

He publicado nuevos ejercicios de 2º Matemática Discreta: MD - Hojas resueltas 22-23 2

MD-Practica-3-Grafos.pdf

apuntes

-

Matemática Discreta 2021/22

He publicado nuevos apuntes de 2º Matemática Discreta: Matemática Discreta 2021/22

Repaso-Discreta.pdf

practicas

-

MD - Hojas Resueltas 22-23

He publicado nuevos practicas de 2º Matemática Discreta: MD - Hojas Resueltas 22-23

MD-Practica-1-Conteo.pdf
Anónimo

@Anónimo

ejercicios

-

Hojas de ejercicios 2022-2023

He publicado nuevos ejercicios de 2º Matemática Discreta: Hojas de ejercicios 2022-2023

Hoja-1.pdf

apuntes

-

Apuntes 2021-2022 Matemática discreta

He publicado nuevos apuntes de 2º Matemática Discreta: Apuntes 2021-2022 Matemática discreta

Tema-3-Intro-Grafos.pdf
Tema-4-Invariantes-De-Grafos.pdf
Tema-5-Relaciones-Con-Otras-Areas-.pdf
Tema-2-Otras-Tecnicas-.pdf
Tema-1-Conteo-Y-Tec.pdf
Anónimo

@Anónimo

examenes

-

parcial2_2021

He publicado nuevos examenes de 2º Matemática Discreta: parcial2_2021

Parcial2soluciones2021.pdf
parcial2enunciados.pdf
Anónimo

@Anónimo

examenes

-

parcial1_soluciones_2021

He publicado nuevos examenes de 2º Matemática Discreta: parcial1_soluciones_2021

parcial1soluciones.pdf

He publicado nuevos ejercicios de 2º Matemática Discreta: Hoja-2.pdf

2 páginas

He publicado nuevos ejercicios de 2º Matemática Discreta: Hoja-1.pdf

2 páginas

apuntes

-

Apuntes

He publicado nuevos apuntes de 2º Matemática Discreta: Apuntes

Tema-2.pdf
Tema-6.pdf
Tema-3.pdf
Tema-5.pdf
Tema-1.pdf
Tema-4.pdf

He publicado nuevos ejercicios de 2º Matemática Discreta: Matematica-Discreta.pdf

10 páginas

He publicado nuevos examenes de 2º Matemática Discreta: Matematica-Discreta.pdf

4 páginas

apuntes

-

APUNTES MATEMÁTICA DISCRETA

He publicado nuevos apuntes de 2º Matemática Discreta: APUNTES MATEMÁTICA DISCRETA

Matematica-Discreta.pdf
Matematica-Discreta.pdf
Matematica-Discreta.pdf
Matematica-Discreta.pdf
Matematica-Discreta.pdf

He publicado nuevos apuntes de 2º Matemática Discreta: Resumen-Teoria-M.pdf

13 páginas

Curso 2019/2020

2 páginas