chevron_left
chevron_right
Todo
Apuntes
Ejercicios
Exámenes
chevron_left
chevron_right

He publicado nuevos apuntes de 1º Matemática Discreta: Tema-4.-Grafos-eulerianos.pdf

3 páginas

He publicado nuevos apuntes de 1º Matemática Discreta: Tema-2.-Accesibilidad.pdf

9 páginas

He publicado nuevos apuntes de 1º Matemática Discreta: Tema-3.-Arboles.pdf

4 páginas

He publicado nuevos apuntes de 1º Matemática Discreta: Tema-1.-Conceptod-basicos.pdf

6 páginas

He publicado nuevos apuntes de 1º Matemática Discreta: Ejercicios-tema-2.pdf

2 páginas

He publicado nuevos apuntes de 1º Matemática Discreta: Ejercicios-tema-1.pdf

6 páginas

He publicado nuevos apuntes de 1º Matemática Discreta: Tema-4.-Relaciones.pdf

10 páginas

He publicado nuevos apuntes de 1º Matemática Discreta: Tema-5.-Cardinales.pdf

12 páginas

He publicado nuevos apuntes de 1º Matemática Discreta: Tema-3.-Conjuntos-y-correspondencias.pdf

8 páginas

He publicado nuevos apuntes de 1º Matemática Discreta: Tema-2.-Logica-de-predicados.pdf

7 páginas

He publicado nuevos apuntes de 1º Matemática Discreta: Ejercicios-de-logica.pdf

8 páginas

He publicado nuevos apuntes de 1º Matemática Discreta: Tema-1.-Logica-de-enunciados.pdf

10 páginas

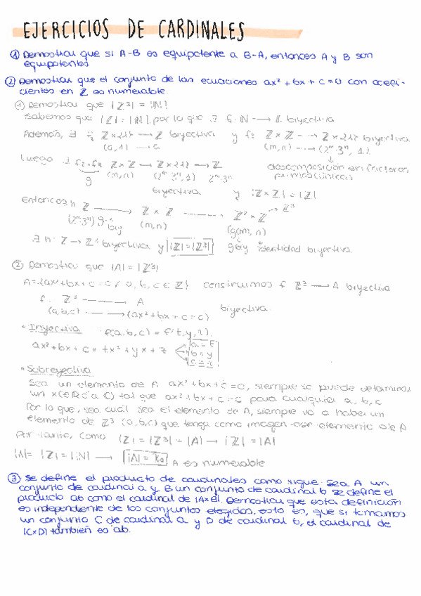
He publicado nuevos apuntes de 1º Matemática Discreta: Ejercicios-de-cardinales.pdf

4 páginas

He publicado nuevos apuntes de 1º Matemática Discreta: Ejercicios-de-conjuntos-y-correspondencias.pdf

5 páginas

He publicado nuevos ejercicios de 1º Matemática Discreta: Ejercicios-relaciones.pdf

3 páginas

He publicado nuevos ejercicios de 1º Matemática Discreta: Ejercicios-cardinales.pdf

1 página

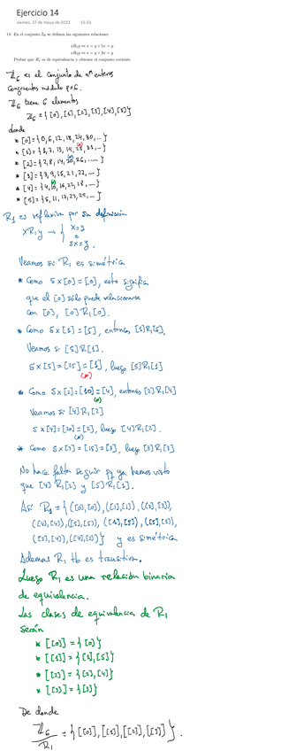
He publicado nuevos examenes de 1º Matemática Discreta: Ejercicio-14.pdf

1 página

He publicado nuevos apuntes de 1º Matemática Discreta: LEMA-PRINCIPAL-EXAMEN.pdf

1 página

He publicado nuevos apuntes de 1º Matemática Discreta: Equivalencias-e-inferencia.pdf

1 página

He publicado nuevos apuntes de 1º Matemática Discreta: Cuantificadores.pdf

1 página

He publicado nuevos ejercicios de 1º Matemática Discreta: EJERCICIOS-CARDINALES-RESUELTOS.pdf

10 páginas

He publicado nuevos examenes de 1º Matemática Discreta: FINAL-MATDIS.pdf

4 páginas

He publicado nuevos examenes de 1º Matemática Discreta: Segundo-Control-MATDIS.pdf

2 páginas

He publicado nuevos examenes de 1º Matemática Discreta: Primer-Control-MATDIS.pdf

1 página
¡Estás al día!

¡Estás al día!

Has visto todos los archivos