Todo
Apuntes
Ejercicios
Exámenes
Prácticas
Test
chevron_left
chevron_right

He publicado nuevos apuntes de 1º Matemática Empresarial I: Importante-tema-4.pdf

3 páginas

He publicado nuevos apuntes de 1º Matemática Empresarial I: Formulas-tema-4.pdf

1 página

He publicado nuevos apuntes de 1º Matemática Empresarial I: Ejercicios-Tema-4-corregidos.pdf

11 páginas

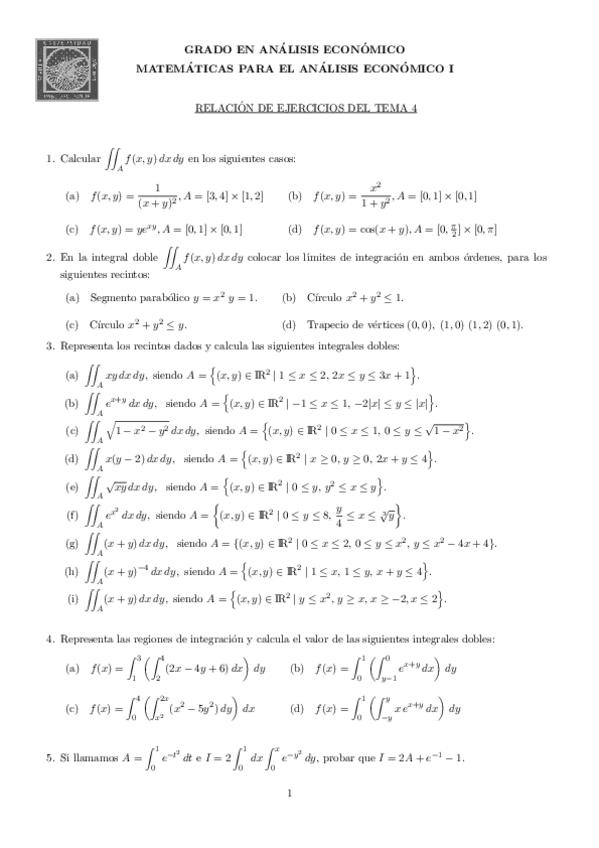
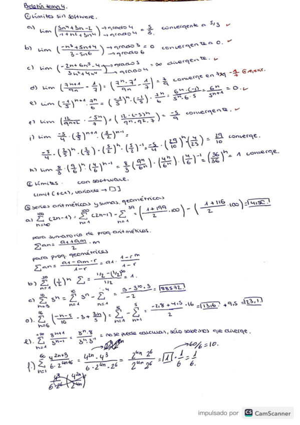
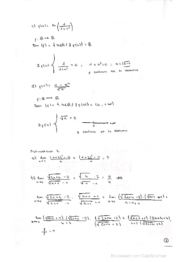
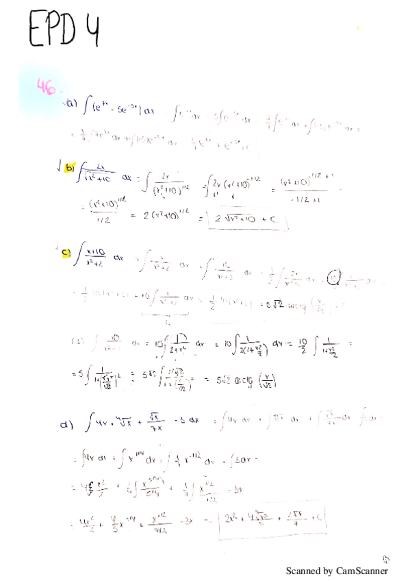
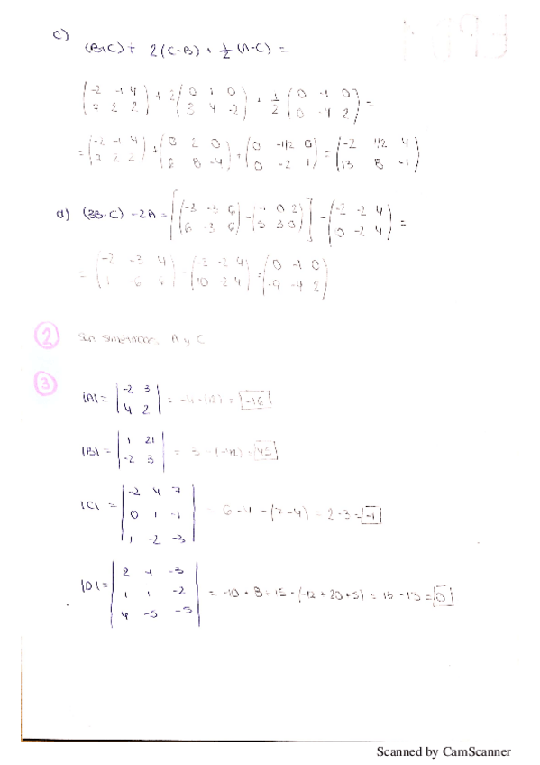
He publicado nuevos ejercicios de 1º Matemática Empresarial I: Boletin-TEMA-4.pdf

3 páginas

He publicado nuevos apuntes de 1º Matemática Empresarial I: Tema-4-Definiciones.pdf

2 páginas

He publicado nuevos ejercicios de 1º Matemática Empresarial I: Boletin-TEMA-3-corregidos.pdf

36 páginas

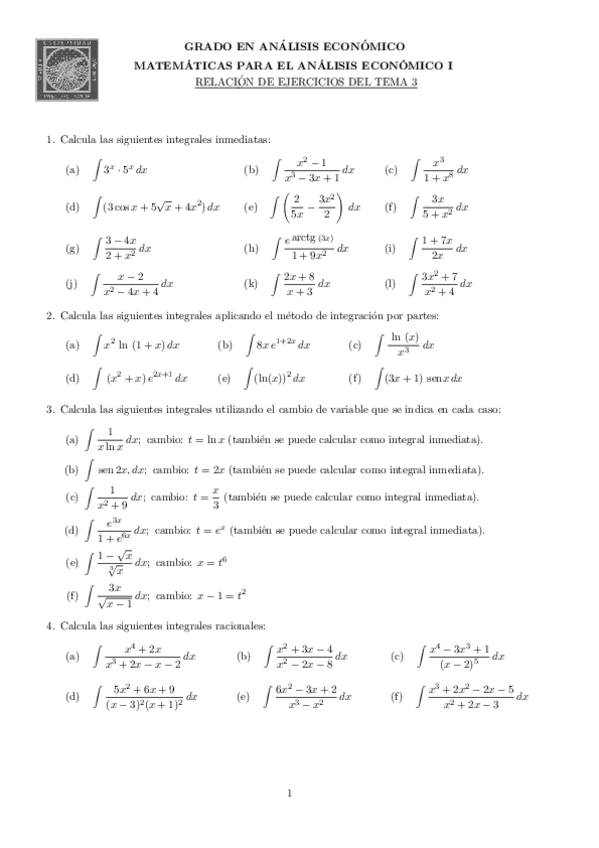
He publicado nuevos apuntes de 1º Matemática Empresarial I: Boletin-TEMA-3.pdf

8 páginas

He publicado nuevos apuntes de 1º Matemática Empresarial I: Tema-3-completo.pdf

5 páginas

He publicado nuevos apuntes de 1º Matemática Empresarial I: Tema-3-definiciones.pdf

3 páginas

He publicado nuevos apuntes de 1º Matemática Empresarial I: Apuntes-tema-2-con-todas-las-formulas-y-graficas.pdf

11 páginas

He publicado nuevos apuntes de 1º Matemática Empresarial I: Ejercicios-corregidos-TEMA-2.pdf

22 páginas

He publicado nuevos apuntes de 1º Matemática Empresarial I: Boletin-TEMA-2.pdf

7 páginas

He publicado nuevos apuntes de 1º Matemática Empresarial I: Apuntes-tema-2-completo.pdf

4 páginas

He publicado nuevos apuntes de 1º Matemática Empresarial I: Ejercicios-corregidos-TEMA-1.pdf

21 páginas

He publicado nuevos apuntes de 1º Matemática Empresarial I: Boletin-TEMA-1.pdf

6 páginas

He publicado nuevos apuntes de 1º Matemática Empresarial I: Formulario-Completo-TEMA-1.pdf

2 páginas

He publicado nuevos apuntes de 1º Matemática Empresarial I: Tema-1-completo-matematicas-empresarial.pdf

6 páginas

He publicado nuevos apuntes de 1º Matemática Empresarial I: Repaso-mates-1.pdf

4 páginas

He publicado nuevos apuntes de 1º Matemática Empresarial I: Mathematica-mates-1.pdf

43 páginas

apuntes

-

Ejercicios

He publicado nuevos apuntes de 1º Matemática Empresarial I: Ejercicios

practica1.pdf
practica2.pdf
Practica3.pdf
practica4.pdf

apuntes

-

Practicas

He publicado nuevos apuntes de 1º Matemática Empresarial I: Practicas

Tarea1.pdf
Tarea2.pdf
Tarea3.pdf
Tarea4.pdf

apuntes

-

Resúmenes Teoría y Mathematica

He publicado nuevos apuntes de 1º Matemática Empresarial I: Resúmenes Teoría y Mathematica

Tema-1.pdf
Tema-2.pdf
Tema-3.pdf
Tema-4.pdf

apuntes

-

toda la teoria necesaria

He publicado nuevos apuntes de 1º Matemática Empresarial I: toda la teoria necesaria

teoria-tema-1-y-mathematica.pdf
teoria-tema-2-y-mathematica.pdf
teoria-tema-3-y-mathematica.pdf
teoria-tema-4-y-mathematica.pdf

ejercicios

-

problemas tema 4

He publicado nuevos ejercicios de 1º Matemática Empresarial I: problemas tema 4

problemas-tema-4-corregidos.pdf
ejercicios-tema-4.pdf
Tema4GADE.pdf

ejercicios

-

BOLETÍN TEMA 3 TODOS CORREGIDOS

He publicado nuevos ejercicios de 1º Matemática Empresarial I: BOLETÍN TEMA 3 TODOS CORREGIDOS

BOLETIN-TEMA-3-TODOS-CORREGIDOS.pdf
Tema3GADE2.pdf

ejercicios

-

tema 3 ejercicios y problemas parte 1

los problemas y ejercicios estan corregidos de clases y tutorías. Cuando vuelva a tener tutoria subo los problemas 9-13 corregidos

ejercicios-tema-3-corregidos.pdf
problemas-tema-3-corregidos-1-8.pdf

ejercicios

-

tema 2 ejercicios y problemas corregidos

He publicado nuevos ejercicios de 1º Matemática Empresarial I: tema 2 ejercicios y problemas corregidos

ejercicios-tema-2.pdf
problemas-tema-2.pdf

ejercicios

-

Tema 1 ejercicios y problemas corregidos

He publicado nuevos ejercicios de 1º Matemática Empresarial I: Tema 1 ejercicios y problemas corregidos

Tema-1-Ejercicios.pdf
Problemas-Tema-1.pdf

ejercicios

-

Tema 2 matemáticas

He publicado nuevos ejercicios de 1º Matemática Empresarial I: Tema 2 matemáticas

Tema-2-matematicas-.pdf

He publicado nuevos apuntes de 1º Matemática Empresarial I: tema-2-actividades-y-problemas-resueltos.pdf

pdf

examenes

-

EXAMEN JUNIO 2021 VULNERABLES (ONLINE)

He publicado nuevos examenes de 1º Matemática Empresarial I: EXAMEN JUNIO 2021 VULNERABLES (ONLINE)

cuestiones.pdf
problema-3.pdf
Prueba-finalINGLES202021definitiva.pdf
problema-1.pdf
problema-2.pdf

He publicado nuevos apuntes de 1º Matemática Empresarial I: tema-1-actividades-y-problemas-resueltos.pdf

12 páginas

He publicado nuevos apuntes de 1º Matemática Empresarial I: MATHEMATICAS.pdf

3 páginas

He publicado nuevos apuntes de 1º Matemática Empresarial I: 2conv.pptx

Miniatura no disponible
powerpoint

He publicado nuevos apuntes de 1º Matemática Empresarial I: resumen-mathematica.pdf

1 página

He publicado nuevos apuntes de 1º Matemática Empresarial I: Mathematica.docx

word

apuntes

-

Apuntes tema 2 + tabla de derivadas

He publicado nuevos apuntes de 1º Matemática Empresarial I: Apuntes tema 2 + tabla de derivadas

Tema-2.pdf
Tabla-de-derivadas.pdf

He publicado nuevos apuntes de 1º Matemática Empresarial I: Teoria-tema-1.pdf

4 páginas

practicas

-

Prácticas Informáticas Mathematica

He publicado nuevos practicas de 1º Matemática Empresarial I: Prácticas Informáticas Mathematica

1a-PRACTICA-INFORMATICA-Mat1.pdf
3a-PRACTICA-INFORMATICA-Mat1.pdf
2a-PRACTICA-INFORMATICA-Mat1.pdf

apuntes

-

Temas Matemática Empresarial I

He publicado nuevos apuntes de 1º Matemática Empresarial I: Temas Matemática Empresarial I

Tema-2.pdf
Tema-5.pdf
Tema-4.pdf
Tema-3.pdf
Tema-1.pdf

He publicado nuevos apuntes de 1º Matemática Empresarial I: PREGUNTAS-TEORICAS-2019.odt

word

He publicado nuevos apuntes de 1º Matemática Empresarial I: Resumen-Mathematica-1.pdf

1 página

He publicado nuevos apuntes de 1º Matemática Empresarial I: 1.pdf

19 páginas

He publicado nuevos apuntes de 1º Matemática Empresarial I: 4-100derivadasresueltas.pdf

29 páginas

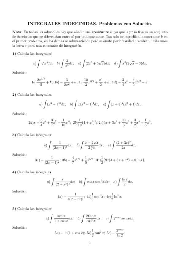
He publicado nuevos apuntes de 1º Matemática Empresarial I: probintegralesindefinidas.pdf

5 páginas

He publicado nuevos apuntes de 1º Matemática Empresarial I: plantilla-derivadas.pdf

4 páginas

He publicado nuevos apuntes de 1º Matemática Empresarial I: tema-5.pdf

3 páginas

He publicado nuevos apuntes de 1º Matemática Empresarial I: tema-4.pdf

3 páginas

apuntes

-

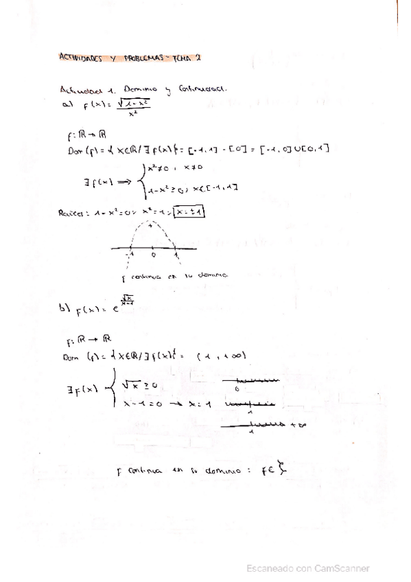
Tema 2

He publicado nuevos apuntes de 1º Matemática Empresarial I: Tema 2

Scan25062019221910001.jpg
Scan25062019221910002.jpg
Scan25062019221910004.jpg
Scan25062019221910003.jpg

He publicado nuevos apuntes de 1º Matemática Empresarial I: tema-3.pdf

3 páginas

He publicado nuevos apuntes de 1º Matemática Empresarial I: tema-1.pdf

4 páginas

He publicado nuevos examenes de 1º Matemática Empresarial I: IMG-20190618-WA0009.jpg

Imagen

He publicado nuevos apuntes de 1º Matemática Empresarial I: Ejercicios-y-problemas-de-funciones-reales-de-varias-variables.pdf

223 páginas

He publicado nuevos apuntes de 1º Matemática Empresarial I: Solucion.pdf

4 páginas

He publicado nuevos apuntes de 1º Matemática Empresarial I: Solucion.pdf

23 páginas

He publicado nuevos apuntes de 1º Matemática Empresarial I: Solucion.pdf

18 páginas

He publicado nuevos apuntes de 1º Matemática Empresarial I: Solucion.pdf

10 páginas

He publicado nuevos apuntes de 1º Matemática Empresarial I: Solucion.pdf

14 páginas

apuntes

-

EXAMENES VIRTUALES

He publicado nuevos apuntes de 1º Matemática Empresarial I: EXAMENES VIRTUALES

virtuales_2..pdf
virtuales_1. (1).pdf
virtuales_3..pdf

He publicado nuevos apuntes de 1º Matemática Empresarial I: tabla de derivadas.jpeg

Imagen