Todo
Apuntes
Ejercicios
Exámenes
Prácticas
publication
chevron_left
chevron_right

teoría que me aprendi el año pasado para el examen, con la cual saque dos puntos en la parte teórica

7 páginas

He publicado nuevos apuntes de 1º Matemática Empresarial I: apuntes-teoria-temas-1234-matica-empresarial-I.pdf

7 páginas

He publicado nuevos ejercicios de 1º Matemática Empresarial I: PROBLEMAS-T4.pdf

2 páginas

He publicado nuevos apuntes de 1º Matemática Empresarial I: Mates-1-Apuntes-Manual.pdf

22 páginas

He publicado nuevos apuntes de 1º Matemática Empresarial I: T1-MATEMATICAS-EMPRESARIALES-I.pdf

3 páginas

He publicado nuevos apuntes de 1º Matemática Empresarial I: Formulas para Wolfram MtEI.pdf

pdf

Están en sucio no me ha dado tiempo a pasarlos a limpio lo siento.

pdf

He publicado nuevos ejercicios de 1º Matemática Empresarial I: boletin-4-sucesiones-y-series.pdf

pdf

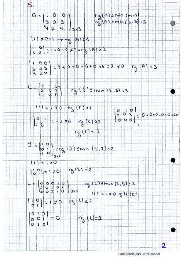
He publicado nuevos ejercicios de 1º Matemática Empresarial I: boletin-3-funciones-varias-variables.pdf

pdf

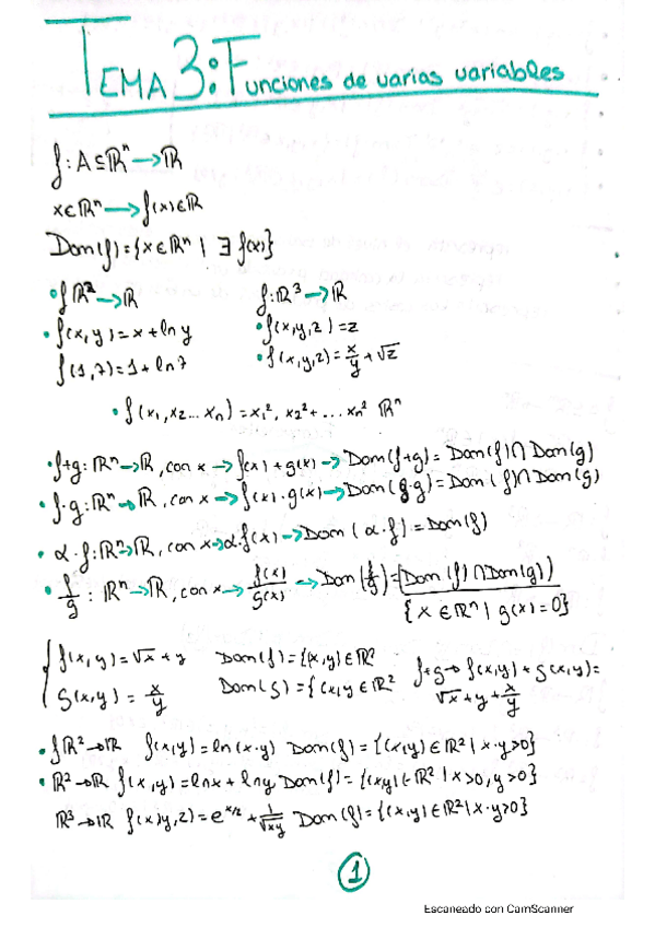
He publicado nuevos apuntes de 1º Matemática Empresarial I: Apuntes-tema-3-funciones-de-varias-variables.pdf

pdf

Tiene anotaciones de como hacerlo en wolfram

pdf

He publicado nuevos apuntes de 1º Matemática Empresarial I: CamScanner-01-17-2022-21.pdf

pdf

He publicado nuevos apuntes de 1º Matemática Empresarial I: tema-4-sucesiones-y-series.pdf

pdf

He publicado nuevos apuntes de 1º Matemática Empresarial I: Apuntes-tema-2-funciones-1-variable.pdf

15 páginas

He publicado nuevos ejercicios de 1º Matemática Empresarial I: Problemas-tipo-examen-tema-1-matrices.pdf

4 páginas

He publicado nuevos apuntes de 1º Matemática Empresarial I: apuntes-tema-1-matrices.pdf

6 páginas

He publicado nuevos apuntes de 1º Matemática Empresarial I: Resumen-matrices-y-Wolfram.pdf

3 páginas

He publicado nuevos ejercicios de 1º Matemática Empresarial I: Boletin-matrices-2020-2021.pdf

14 páginas

apuntes

-

Boletín tema 1 matrices 2021-2022

No están ordenados pero si todos los ejercicios completos.

boletin-1-matrices.pdf
boletin-1-matrices.pdf

He publicado nuevos apuntes de 1º Matemática Empresarial I: Apuntes-y-ejercicios-mates-.pdf

40 páginas

He publicado nuevos apuntes de 1º Matemática Empresarial I: MATHEMATICA-TEMA-1-Y-2.odt

word

examenes

-

SOLUCION EXAMENES VIRTUALES

He publicado nuevos examenes de 1º Matemática Empresarial I: SOLUCION EXAMENES VIRTUALES

Solucion-Virtuales-2.pdf
Solucion-Virtuales-2.pdf
Solucion-Virtuales-1.pdf
Solucion-Virtuales-1.pdf
Solucion-Virtuales-3.pdf
Solucion-Virtuales-3.pdf

apuntes

-

Temas Matemática Empresarial I

He publicado nuevos apuntes de 1º Matemática Empresarial I: Temas Matemática Empresarial I

Tema-3.pdf
Tema-3.pdf
Tema-5.pdf
Tema-5.pdf
Tema-1.pdf
Tema-1.pdf

Matemáticas empresarial I

Alguien tiene algun examen de Primero????

practicas

-

PRÁCTICAS INFORMÁTICA

He publicado nuevos practicas de 1º Matemática Empresarial I: PRÁCTICAS INFORMÁTICA

3ª PRÁCTICA INFORMÁTICA-Mat1.pdf
3ª PRÁCTICA INFORMÁTICA-Mat1.pdf
2ª PRÁCTICA INFORMÁTICA-Mat1(1).pdf
2ª PRÁCTICA INFORMÁTICA-Mat1(1).pdf
1ª PRÁCTICA INFORMÁTICA-Mat1.pdf
1ª PRÁCTICA INFORMÁTICA-Mat1.pdf

examenes

-

EXÁMENES VIRTUALES

He publicado nuevos examenes de 1º Matemática Empresarial I: EXÁMENES VIRTUALES

virtuales_3..pdf
virtuales_3..pdf
virtuales_2..pdf
virtuales_2..pdf
virtuales_1. (1).pdf
virtuales_1. (1).pdf
Anónimo

@Anónimo

He publicado nuevos apuntes de 1º Matemática Empresarial I: virtuales_1. (1).docx

word

examenes

-

EPDs

He publicado nuevos examenes de 1º Matemática Empresarial I: EPDs

Examen EPD 1.pdf
Examen EPD 1.pdf
Examen EPD 2.pdf
Examen EPD 2.pdf

examenes

-

Mathematica

He publicado nuevos examenes de 1º Matemática Empresarial I: Mathematica

Examen Mathematica 1.pdf
Examen Mathematica 1.pdf
Examen Mathematica 2.pdf
Examen Mathematica 2.pdf
Examen Mathematica 3.pdf
Examen Mathematica 3.pdf

apuntes

-

Test Virtuales

He publicado nuevos apuntes de 1º Matemática Empresarial I: Test Virtuales

Solución Virtuales 1.docx
Solución Virtuales 1.docx
Solución Virtuales 2.docx
Solución Virtuales 2.docx
Solución Virtuales 3.docx
Solución Virtuales 3.docx