chevron_left
chevron_right
Todo
Apuntes
Prácticas
chevron_left
chevron_right

He publicado nuevos apuntes de 1º Matemática Empresarial I: Preguntas-Teoricas-final.pdf

5 páginas

He publicado nuevos apuntes de 1º Matemática Empresarial I: Esquema-Wolfram-T.2.pdf

1 página

apuntes

-

EXÁMENES MATHS FOR BUSINESS I

He publicado nuevos apuntes de 1º Matemática Empresarial I: EXÁMENES MATHS FOR BUSINESS I

examenes-mates-4.jpg
examen-mates-2.jpg
examenes-mates-7-.jpg
examenes-mates-3.jpg
examenes-mates-8-.jpg
examenes-mates-5.jpg

He publicado nuevos apuntes de 1º Matemática Empresarial I: NOTES-MATHS.pdf

pdf

apuntes

-

EXERCISES MATHS UNITS 1-4

He publicado nuevos apuntes de 1º Matemática Empresarial I: EXERCISES MATHS UNITS 1-4

exercises-unit-4.pdf
exercises-unit-2.pdf
exercises-unit-1.pdf
exercises-unit-3.pdf

apuntes

-

Actividades y soluciones

He publicado nuevos apuntes de 1º Matemática Empresarial I: Actividades y soluciones

tema-3-soluciones.pdf
tema-2-ejercicios.pdf
tema-5-soluciones.pdf
tema-2-soluciones.pdf
tem-1-soluciones.pdf
tema-5-ejercicios.pdf

apuntes

-

Mathematica

He publicado nuevos apuntes de 1º Matemática Empresarial I: Mathematica

Mathematica-topic-1.pdf
Mathematica-topic-2.pdf
Mathematica-topic-3.pdf

practicas

-

Prácticas Inf Matemática Empresarial I

He publicado nuevos practicas de 1º Matemática Empresarial I: Prácticas Inf Matemática Empresarial I

3a-PRACTICA-INFORMATICA-Mat1.pdf
2a-PRACTICA-INFORMATICA-Mat1.pdf
1a-PRACTICA-INFORMATICA-Mat1.pdf

apuntes

-

Temas Matemática Empresarial I

He publicado nuevos apuntes de 1º Matemática Empresarial I: Temas Matemática Empresarial I

Tema-5.pdf
Tema-3.pdf
Tema-1.pdf
Tema-2.pdf
Tema-4.pdf

apuntes

-

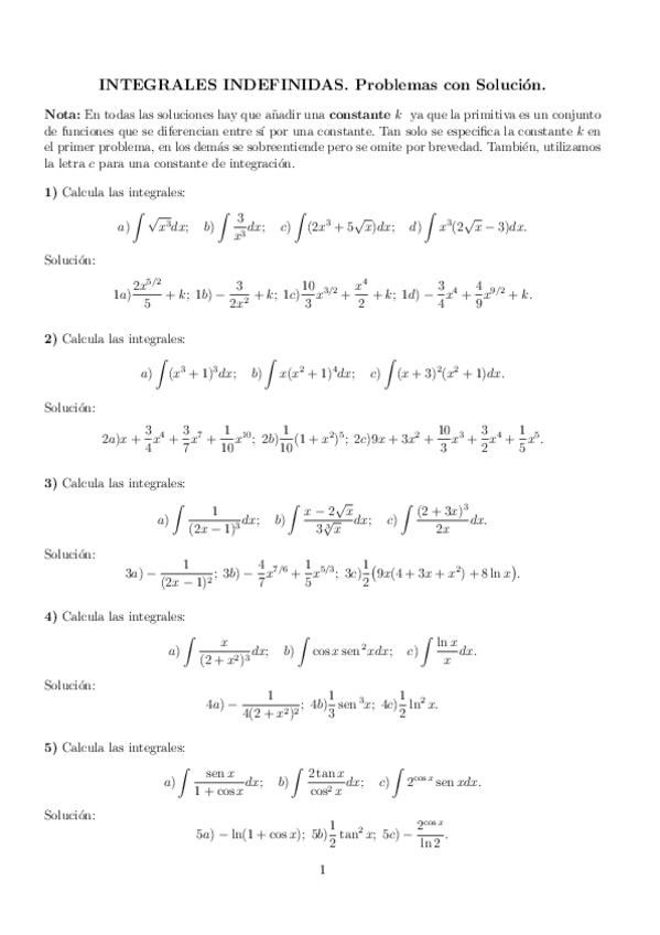
DERIVADAS E INTEGRALES

He publicado nuevos apuntes de 1º Matemática Empresarial I: DERIVADAS E INTEGRALES

2.pdf
1.pdf
probintegralesindefinidas.pdf
4-100derivadasresueltas.pdf
plantilla-derivadas.pdf

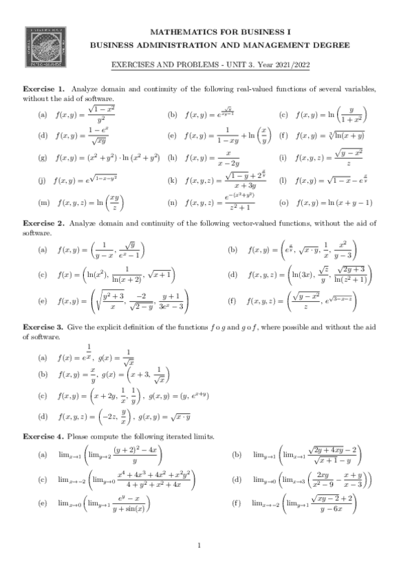
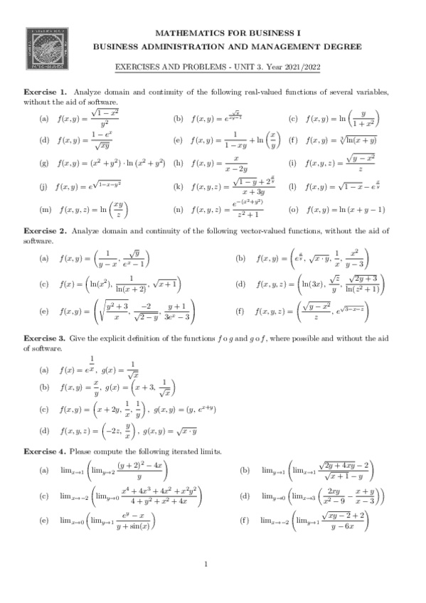
He publicado nuevos apuntes de 1º Matemática Empresarial I: Ejercicios-y-problemas-de-funciones-reales-de-varias-variables.pdf

223 páginas
¡Estás al día!

¡Estás al día!

Has visto todos los archivos