Matemàtica Financera
apuntes
-
todos los temas resumidos
He publicado nuevos apuntes de 2º Matemàtica Financera: todos los temas resumidos
🎓Classes Particulars de Matemàtica Financera
📚 En Conta Master Academy aprendràs amb professors experts en docència financera, utilitzant una pissarra realista que fa les classes clares i dinàmiques. 🎥 A més, tindràs accés a les gravacions per repassar quan vulguis i un assistent virtual que et dona exercicis i suport les 24 h del dia. 💬 Escriu-nos al WhatsApp 👉 639 879 228 i t’expliquem com unir-te al teu grup 🔥
apuntes
-
TODOS LOS TEMAS
He publicado nuevos apuntes de 2º Matemàtica Financera: TODOS LOS TEMAS
He publicado nuevos ejercicios de 2º Matemàtica Financera: Ejercicios-Tema-2-Rendes-constants.pdf
He publicado nuevos ejercicios de 2º Matemàtica Financera: EXERCICIS-TEMA-2Rendes-variables-geometriques.pdf
He publicado nuevos ejercicios de 2º Matemàtica Financera: Ejercicios-Bloque-1-Tema-2.pdf
He publicado nuevos practicas de 2º Matemàtica Financera: Practica-01-MF2025.pdf
He publicado nuevos examenes de 2º Matemàtica Financera: preguntas-teoricas-examen-2025.pdf
He publicado nuevos examenes de 2º Matemàtica Financera: Model-Prova-evaluacio-continua.pdf
He publicado nuevos apuntes de 2º Matemàtica Financera: Tema-2.2Exercicis-addicionalsamb-solucions.pdf
He publicado nuevos apuntes de 2º Matemàtica Financera: Tema-2.1Exercicis-classePrestec-francesamb-solucions.pdf
He publicado nuevos apuntes de 2º Matemàtica Financera: Tema-2.2Exercicis-classeRenda-fixaamb-solucions.pdf
He publicado nuevos ejercicios de 2º Matemàtica Financera: Ejercicios-Bloque-1 - T1.pdf
He publicado nuevos ejercicios de 2º Matemàtica Financera: Exercicis-tema-4-Renda-fixa.pdf
He publicado nuevos apuntes de 2º Matemàtica Financera: Resumen-Bloque-2-Tema-2.pdf
He publicado nuevos ejercicios de 2º Matemàtica Financera: Tema-2.1-Prestec-frances-i-Lising-EXERCICIS.pdf
He publicado nuevos examenes de 2º Matemàtica Financera: preguntas-teoricas-examen-final-con-solucion.pdf
He publicado nuevos apuntes de 2º Matemàtica Financera: Exercicis-Bloc-2-Renda-Fixa.pdf
He publicado nuevos apuntes de 2º Matemàtica Financera: Bloc-2-Renda-Fixa.pdf
He publicado nuevos apuntes de 2º Matemàtica Financera: Resumen-Bloque-2-Tema-1-matematicas-financieras.pdf
He publicado nuevos ejercicios de 2º Matemàtica Financera: EXERCICIS-TEMA-3-Prestecs-i-Lising.pdf
He publicado nuevos examenes de 2º Matemàtica Financera: Model-Activitat-Prova-Excel.pdf
He publicado nuevos practicas de 2º Matemàtica Financera: Practica-04-MF2025.pdf
He publicado nuevos examenes de 2º Matemàtica Financera: Model-Prova-1.pdf
He publicado nuevos apuntes de 2º Matemàtica Financera: solucio-practica-4.pdf
He publicado nuevos apuntes de 2º Matemàtica Financera: solucio-practica-3.pdf
He publicado nuevos apuntes de 2º Matemàtica Financera: solucio-pratica-2.pdf
He publicado nuevos apuntes de 2º Matemàtica Financera: solucio-practica-1-Mates-financera.pdf
He publicado nuevos examenes de 2º Matemàtica Financera: preguntes-teoriques-segundo-parcial.pdf
He publicado nuevos examenes de 2º Matemàtica Financera: model-activitat-excel.pdf
He publicado nuevos ejercicios de 2º Matemàtica Financera: Exercicis-solucionats-del-Tema-2.2-Renda-fixa-EXERCICIS.pdf
He publicado nuevos apuntes de 2º Matemàtica Financera: Mates240604145841.pdf
He publicado nuevos apuntes de 2º Matemàtica Financera: MATES240911195136.pdf
He publicado nuevos ejercicios de 2º Matemàtica Financera: Exercicis-renda-fixa.pdf
He publicado nuevos apuntes de 2º Matemàtica Financera: apuntes-tema-2.2.pdf
He publicado nuevos apuntes de 2º Matemàtica Financera: apuntes-tema-2.1.pdf
He publicado nuevos ejercicios de 2º Matemàtica Financera: Exercicis-prestecs-i-lising.pdf
He publicado nuevos apuntes de 2º Matemàtica Financera: Diapos-Prestecs-i-Lising.pdf
He publicado nuevos apuntes de 2º Matemàtica Financera: formulario-bloc-1.pdf
He publicado nuevos ejercicios de 2º Matemàtica Financera: exercicis-bloc-1.1.pdf
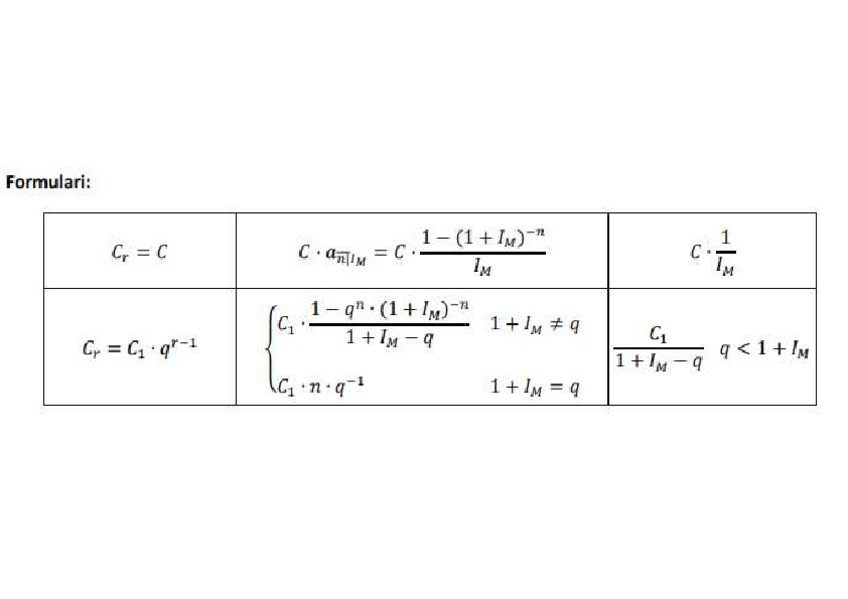
He publicado nuevos apuntes de 2º Matemàtica Financera: Formulas-temas-1-y-2.pdf
Práctica 1 de Excel de Matemáticas Financieras. Los números que no están azul son fórmulas de las rentas y del tipo de interés (las de clase)
Exercicis T.1.2. Solucionats amb Procediments de Matemàtiques Financeres
Exercicis T.1.1. Solucionats amb Procediments de Matemàtiques Financeres
practicas
-
Matemática Financiera
He publicado nuevos practicas de 2º Matemàtica Financera: Matemática Financiera
ejercicios
-
Matemática Financiera
He publicado nuevos ejercicios de 2º Matemàtica Financera: Matemática Financiera
apuntes
-
Matemática Financiera
He publicado nuevos apuntes de 2º Matemàtica Financera: Matemática Financiera
