Todo
Apuntes
Ejercicios
Exámenes
Prácticas
chevron_left
chevron_right

He publicado nuevos ejercicios de 2º Matemática Financiera: 2o-Boletin-de-problemas-2024-25.pdf

3 páginas

He publicado nuevos ejercicios de 2º Matemática Financiera: 3o-Boletin-de-problemas-2024-25.pdf

5 páginas

He publicado nuevos ejercicios de 2º Matemática Financiera: 1o-Boletin-de-problemas-2024-25.pdf

4 páginas

He publicado nuevos apuntes de 2º Matemática Financiera: APUNTES-T12-y-3.pdf

4 páginas

apuntes

-

Ejercicios Resueltos TODOS LOS TEMAS

He publicado nuevos apuntes de 2º Matemática Financiera: Ejercicios Resueltos TODOS LOS TEMAS

Ejercicios-Tema-3.pdf
Ejercicios-Tema-3.pdf
Ejercicios-Tema-2.pdf
Ejercicios-Tema-2.pdf
Ejercicios-Tema-1.pdf
Ejercicios-Tema-1.pdf

ejercicios

-

Matemáticas financiera

He publicado nuevos ejercicios de 2º Matemática Financiera: Matemáticas financiera

Problemas-T.2.pdf
Problemas-T.2.pdf
Problemas-T.3.pdf
Problemas-T.3.pdf
Apuntes-practica-2-de-informatica.pdf
Apuntes-practica-2-de-informatica.pdf

resueltos

19 páginas

resueltos

35 páginas

todos resueltos

17 páginas

todos problemas tema 1

27 páginas

He publicado nuevos apuntes de 2º Matemática Financiera: Problemas-resueltos-Tema-1.pdf

3 páginas

He publicado nuevos apuntes de 2º Matemática Financiera: Resumen-Tema-2.pdf

2 páginas

He publicado nuevos apuntes de 2º Matemática Financiera: Resumen-Tema-1.pdf

5 páginas

He publicado nuevos apuntes de 2º Matemática Financiera: TEORIA.pdf

9 páginas

He publicado nuevos examenes de 2º Matemática Financiera: Algunos-examenes-de-mates-financieras.pdf

3 páginas

He publicado nuevos apuntes de 2º Matemática Financiera: T4 Apuntes y todos ej.pdf

24 páginas

apuntes

-

Boletines Resueltos

He publicado nuevos apuntes de 2º Matemática Financiera: Boletines Resueltos

Boletin-TEMA-1.pdf
Boletin-TEMA-1.pdf
Boletin-TEMA-2.pdf
Boletin-TEMA-2.pdf
Boletin-TEMA-3.pdf
Boletin-TEMA-3.pdf

He publicado nuevos apuntes de 2º Matemática Financiera: Repaso-Temas-3-Y-4.pdf

6 páginas

He publicado nuevos apuntes de 2º Matemática Financiera: Mates-financieras-primera-parte.pdf

6 páginas
Anónimo

@Anónimo

ejercicios

-

tema 4

He publicado nuevos ejercicios de 2º Matemática Financiera: tema 4

t4-p2.pdf
t4-p2.pdf
t4.pdf
t4.pdf

apuntes

-

Apuntes temas 1, 2, 3

He publicado nuevos apuntes de 2º Matemática Financiera: Apuntes temas 1, 2, 3

T1.pdf
T1.pdf
T2.pdf
T2.pdf
T3.pdf
T3.pdf
Anónimo

@Anónimo

apuntes

-

Apuntes excel

He publicado nuevos apuntes de 2º Matemática Financiera: Apuntes excel

Tema-2.pdf
Tema-2.pdf
Tema-3.pdf
Tema-3.pdf
Tema-4.pdf
Tema-4.pdf
Anónimo

@Anónimo

practicas

-

Excel

He publicado nuevos practicas de 2º Matemática Financiera: Excel

Practica-1.pdf
Practica-1.pdf
Practica-2.pdf
Practica-2.pdf
Practica-3.pdf
Practica-3.pdf

apuntes

-

Formulas y practicas ordenador

He publicado nuevos apuntes de 2º Matemática Financiera: Formulas y practicas ordenador

todo-lo-importante-t1.pdf
todo-lo-importante-t1.pdf
t2-formulas.pdf
t2-formulas.pdf
practica-3-ordenador.pdf
practica-3-ordenador.pdf

apuntes

-

Fórmulas y apuntes todos los temas

He publicado nuevos apuntes de 2º Matemática Financiera: Fórmulas y apuntes todos los temas

TEMA-1.pdf
TEMA-1.pdf
TEMA-1.1.pdf
TEMA-1.1.pdf
TEMA-1.2.pdf
TEMA-1.2.pdf

ejercicios

-

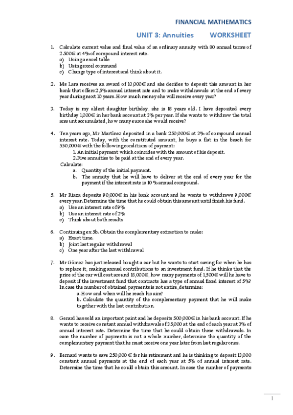
Unit 3- Annuities

He publicado nuevos ejercicios de 2º Matemática Financiera: Unit 3- Annuities

Theory-Unit-3-Annuities.pdf
Theory-Unit-3-Annuities.pdf
Ej-corregidos-Unit-3.pdf
Ej-corregidos-Unit-3.pdf

ejercicios

-

Unit 1

Ejercicios corregidos + applications (treasury bills y bills of exchange)

unit-1-applications.pdf
unit-1-applications.pdf
Unit-1-ej-corregidos.pdf
Unit-1-ej-corregidos.pdf
Unit-1-ej-applications-corregidos.pdf
Unit-1-ej-applications-corregidos.pdf

apuntes

-

Mates actividades epds

He publicado nuevos apuntes de 2º Matemática Financiera: Mates actividades epds

CamScanner-10-02-2022-19.pdf
CamScanner-10-02-2022-19.pdf
tema-1.pdf
tema-1.pdf
tema-3.pdf
tema-3.pdf

apuntes

-

Examenes y Ej Resueltos (corregidos)

He publicado nuevos apuntes de 2º Matemática Financiera: Examenes y Ej Resueltos (corregidos)

Examen-Resuelto-T1-2-3.pdf
Examen-Resuelto-T1-2-3.pdf
Ej-Resueltos-T3-Rentas.pdf
Ej-Resueltos-T3-Rentas.pdf
Ej-Resueltos-T2-Cap-Compuesta.pdf
Ej-Resueltos-T2-Cap-Compuesta.pdf

apuntes

-

Formularios

He publicado nuevos apuntes de 2º Matemática Financiera: Formularios

Formulario-T4-Prestamos.pdf
Formulario-T4-Prestamos.pdf
Formulario-Letras-Tesoro.pdf
Formulario-Letras-Tesoro.pdf
Formulario-T1.pdf
Formulario-T1.pdf

apuntes

-

TODOS LOS EJERCICIOS TEMA 4

He publicado nuevos apuntes de 2º Matemática Financiera: TODOS LOS EJERCICIOS TEMA 4

IMG1088.pdf
IMG1088.pdf
IMG1082.pdf
IMG1082.pdf
IMG1087.pdf
IMG1087.pdf

ejercicios

-

EXCEL EJERCICIOS RESUELTOS

He publicado nuevos ejercicios de 2º Matemática Financiera: EXCEL EJERCICIOS RESUELTOS

TEMA-3-EJERCICIOS.xlsx
TEMA-3-EJERCICIOS.xlsx
TEMA-1-EJERCICIOS.xls
TEMA-1-EJERCICIOS.xls
TEMA-2-EJERCICIOS.xlsx
TEMA-2-EJERCICIOS.xlsx

apuntes

-

TODOS LOS EJERCICIOS TEMA 3

He publicado nuevos apuntes de 2º Matemática Financiera: TODOS LOS EJERCICIOS TEMA 3

8.pdf
8.pdf
6.pdf
6.pdf
5.pdf
5.pdf

apuntes

-

TODOS LOS EJERCICIOS TEMA 2

He publicado nuevos apuntes de 2º Matemática Financiera: TODOS LOS EJERCICIOS TEMA 2

5.pdf
5.pdf
1.pdf
1.pdf
3.pdf
3.pdf

apuntes

-

TODOS LOS EJERCICIOS TEMA 1

He publicado nuevos apuntes de 2º Matemática Financiera: TODOS LOS EJERCICIOS TEMA 1

4.pdf
4.pdf
3.pdf
3.pdf
9.pdf
9.pdf

He publicado nuevos apuntes de 2º Matemática Financiera: TEMA-1-EJERCICIOS-RESUELTOS.pdf

16 páginas

apuntes

-

EJERCICIOS RESUELTOS POR TEMAS

He publicado nuevos apuntes de 2º Matemática Financiera: EJERCICIOS RESUELTOS POR TEMAS

Todos-los-ejercicios-de-rentas-t3.pdf
Todos-los-ejercicios-de-rentas-t3.pdf
Ejercicios-tema-1.pdf
Ejercicios-tema-1.pdf
Tema-2-2.pdf
Tema-2-2.pdf

apuntes

-

Resúmenes muy completos

He publicado nuevos apuntes de 2º Matemática Financiera: Resúmenes muy completos

Tema-2.pdf
Tema-2.pdf
Tema-4.pdf
Tema-4.pdf
Tema-3.pdf
Tema-3.pdf

apuntes

-

Informática

He publicado nuevos apuntes de 2º Matemática Financiera: Informática

Examen-Informatica-Junio-2021.xlsx
Examen-Informatica-Junio-2021.xlsx
Solucion-ejercicio-para-practicar-3.pdf
Solucion-ejercicio-para-practicar-3.pdf
Apuntes-Practica-1-202021.pdf
Apuntes-Practica-1-202021.pdf