Matemática General
INICIO DE CURSO MATEMÁTICAS GENERALES Y ESTADÍSTICA ACADEMIA UNIVERSITARIA FORMACIÓN MANUEL POZO Clases modalidad online y presencial. Todas tus CLASES GRABADAS PARA QUE PUEDAS VISUALIZARLAS HASTA EL DÍA DEL EXAMEN Resolución de todos tus ejercicios y exámenes de convocatorias anteriores. Profesores especialidados y temario propio. Acceso a PLATAFORMA VIRTUAL CON CONTENIDO EXCLUSIVO ¡Solicita tu clase de prueba en grupo sin compromiso!

apuntes
-
Temario M
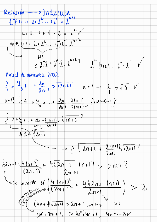
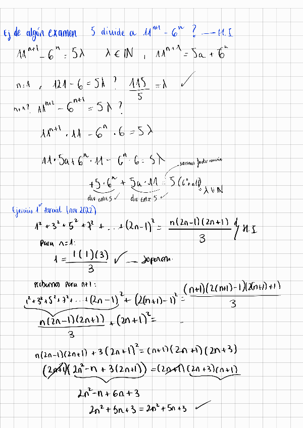
No hay nada sobre demostraciones por inducción. Los temas 1 y 2 salen al final
He publicado nuevos apuntes de 1º Matemática General: Examenes-Matematica-General-curso-24-25.pdf
He publicado nuevos apuntes de 1º Matemática General: Parcial-1-resuelto.pdf
He publicado nuevos apuntes de 1º Matemática General: Integracion-en-dos-variables.pdf
He publicado nuevos ejercicios de 1º Matemática General: Ejercicios-matematicas-de-todos-los-temas.pdf
He publicado nuevos ejercicios de 1º Matemática General: Ejercicios-varios.pdf
INICIO DE CURSO MATEMÁTICAS GENERALES Y ESTADÍSTICA
ACADEMIA UNIVERSITARIA FORMACIÓN MANUEL POZO Clases modalidad online y presencial. Todas tus CLASES GRABADAS. Resolución de todos tus ejercicios y exámenes de convocatorias anteriores. Profesores especialidados en cada materia. ¡Ven a dar una clase de prueba con grupo con nosotros!

examenes
-
MATEMÁTICA GENERAL
He publicado nuevos examenes de 1º Matemática General: MATEMÁTICA GENERAL
ejercicios
-
Relaciones de ejercicios
Relaciones de ejercicios similares a las usadas por los profesores.
apuntes
-
Apuntes completos
He publicado nuevos apuntes de 1º Matemática General: Apuntes completos
examenes
-
Exámenes varios cursos
Exámenes de los cursos 20/21, 21/22 y 23/24 de los profesores Antonio Peralta y de Salvador (Profesor actual)
He publicado nuevos examenes de 1º Matemática General: examen-final-enero.pdf
He publicado nuevos examenes de 1º Matemática General: 2-parcial-matematicas.pdf
He publicado nuevos examenes de 1º Matemática General: Primer-parcial-matematicas-corregido.pdf
He publicado nuevos apuntes de 1º Matemática General: Apuntes-enteros-matematicas.pdf
apuntes
-
Apuntes
Sobretodo del segundo parcial de la asignatura (temas de espacio euclideo y sucesiones). También resumenes de fórmulas y métodos de integración que seguramente te exigan saber y no expliquen xd
De relaciones y de exámenes de años anteriores CORREGIDOS
De relaciones y de exámenes de años anteriores CORREGIDOS
ejercicios
-
Ejercicios resueltos
He publicado nuevos ejercicios de 1º Matemática General: Ejercicios resueltos
He publicado nuevos apuntes de 1º Matemática General: RESUMEN-DE-CALCULO.pdf
ejercicios
-
EJER LIMITES + SOLUCIONES
He publicado nuevos ejercicios de 1º Matemática General: EJER LIMITES + SOLUCIONES
He publicado nuevos apuntes de 1º Matemática General: APUNTES-INDUCCION.pdf
He publicado nuevos apuntes de 1º Matemática General: Documento-sin-titulo-1.pdf
He publicado nuevos examenes de 1º Matemática General: Parcial-diciembre-2018.pdf
He publicado nuevos examenes de 1º Matemática General: FINAL-ENERO-2019-Cabello.pdf
He publicado nuevos apuntes de 1º Matemática General: sincomparisones.pdf
He publicado nuevos apuntes de 1º Matemática General: Spivak-Michael-Calculus-Vols-1-Y-2-En-Castellano-920pag.pdf
He publicado nuevos apuntes de 1º Matemática General: perez-glezcalculodiferencialintegralfuncunavar.pdf
He publicado nuevos apuntes de 1º Matemática General: QUÉ HAY QUE SABER.pdf
He publicado nuevos examenes de 1º Matemática General: Exámenes Matemáticas de Cabello.pdf
apuntes
-
Resúmenes con ejercicios
He publicado nuevos apuntes de 1º Matemática General: Resúmenes con ejercicios
examenes
-
Exámenes curso 2017/2018
He publicado nuevos examenes de 1º Matemática General: Exámenes curso 2017/2018
examenes
-
Examen extraordinario - Soluciones
Examen extraordinario - soluciones
He publicado nuevos examenes de 1º Matemática General: 20180116_094228.jpg
He publicado nuevos apuntes de 1º Matemática General: IMG-20180115-WA0006.jpeg
He publicado nuevos apuntes de 1º Matemática General: IMG-20180108-WA0037.jpg
He publicado nuevos examenes de 1º Matemática General: IMG-20180115-WA0006.jpeg
He publicado nuevos examenes de 1º Matemática General: 20180116_094228.jpg
He publicado nuevos examenes de 1º Matemática General: IMG-20180108-WA0037.jpg
¡Estás al día!
Has visto todos los archivos