Todo
Apuntes
chevron_left
chevron_right
Anónimo

@Anónimo

He publicado nuevos apuntes de 1º Matemática I: AYUDANTIA-IV-MATEMATICA-I.pdf

1 página
Anónimo

@Anónimo

He publicado nuevos apuntes de 1º Matemática I: Ayudantia-III-MATEMATICA-I.pdf

1 página
Anónimo

@Anónimo

He publicado nuevos apuntes de 1º Matemática I: Ayudantia-II-MATEMATICA-I.pdf

1 página
Anónimo

@Anónimo

He publicado nuevos apuntes de 1º Matemática I: AYUDANTAA-VI-MATEMATICA-I.pdf

1 página
Anónimo

@Anónimo

He publicado nuevos apuntes de 1º Matemática I: AYUDANTAA-V-MATEMATICA-I.pdf

2 páginas
Anónimo

@Anónimo

He publicado nuevos apuntes de 1º Matemática I: AYUDANTAA-IX-MATEMATICA-I.docx

word

He publicado nuevos apuntes de 1º Matemática I: Ayudantia-I-MATEMATICA-I.pdf

2 páginas

He publicado nuevos apuntes de 1º Matemática I: Guia-3-Encuestas.pdf

2 páginas

He publicado nuevos apuntes de 1º Matemática I: Guia-2-Encuestas.pdf

1 página

He publicado nuevos apuntes de 1º Matemática I: Guia-1-conjuntos.pdf

2 páginas

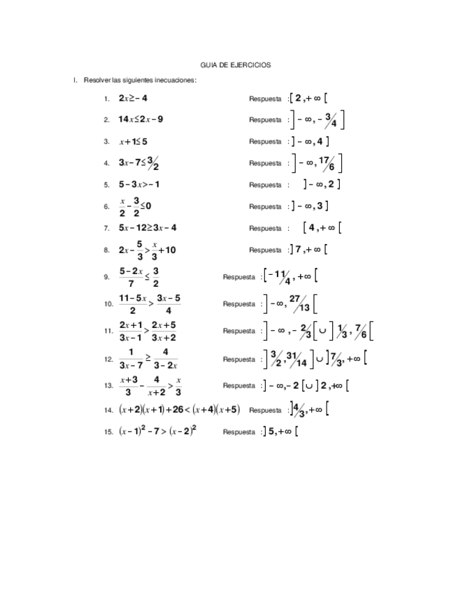
He publicado nuevos apuntes de 1º Matemática I: Guia-INECUACIONES.pdf

1 página
¡Estás al día!

¡Estás al día!

Has visto todos los archivos