Matemáticas
+99
CreadoresDocumento con toda la teoría necesaria para resolver las hojas. Cuenta con múltiples ejemplos
apuntes
-
Matemáticas
TEORÍA de mates. Para los problemas id a clase, que os enteraréis más
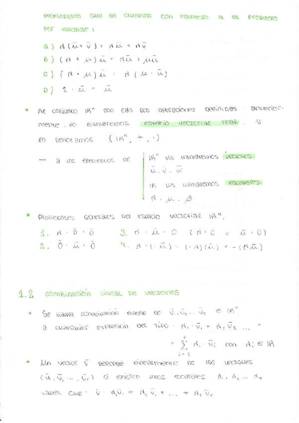
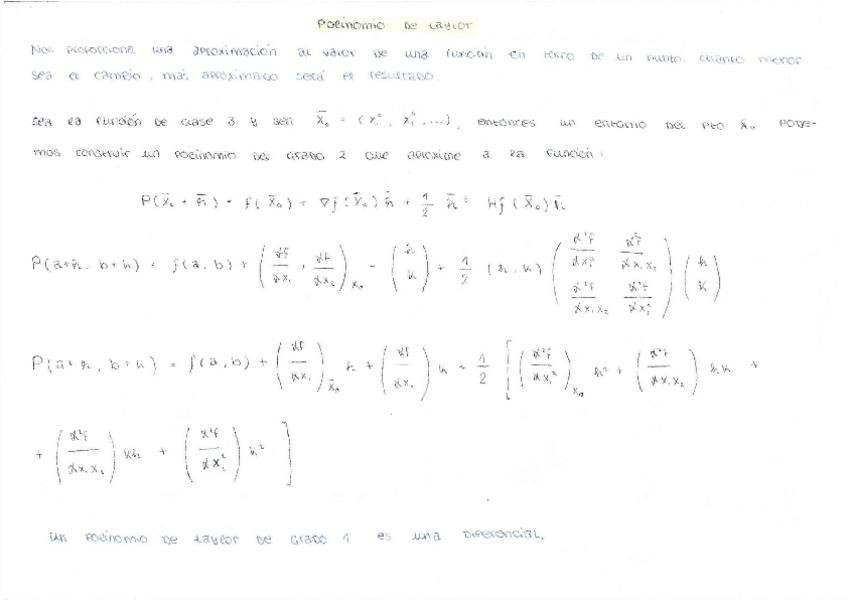
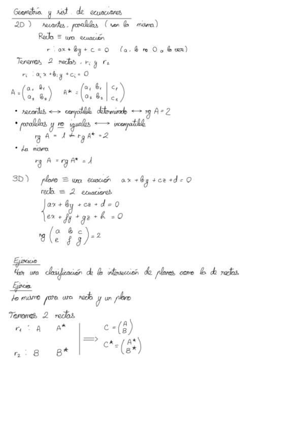
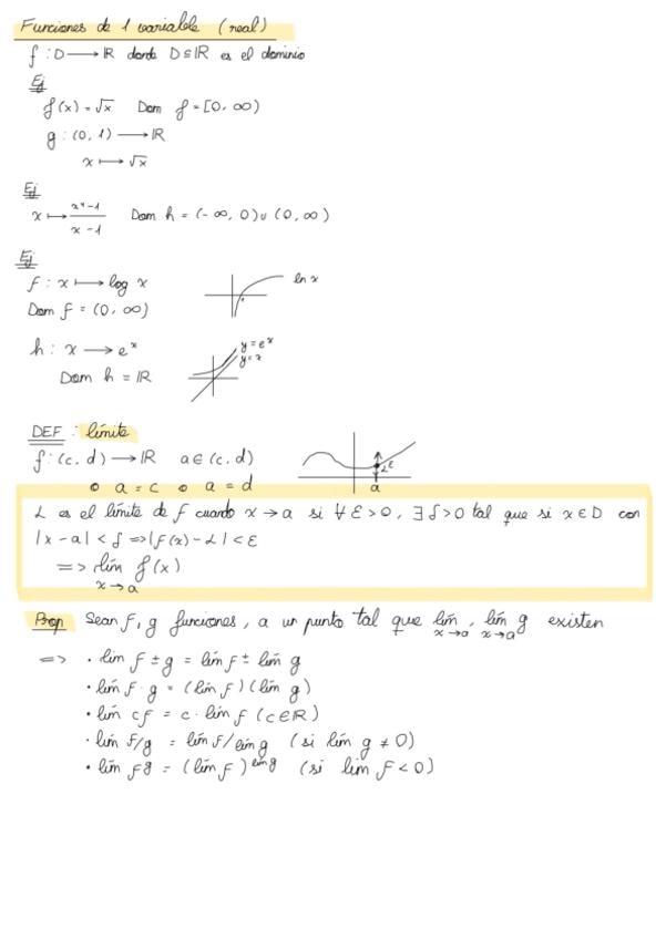
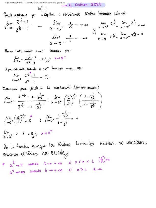
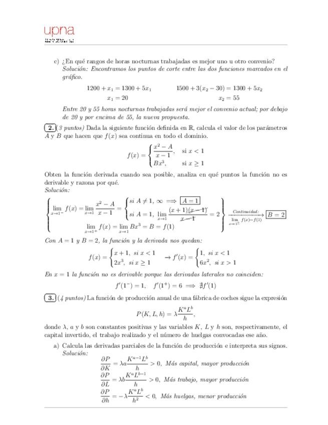
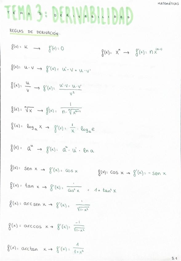
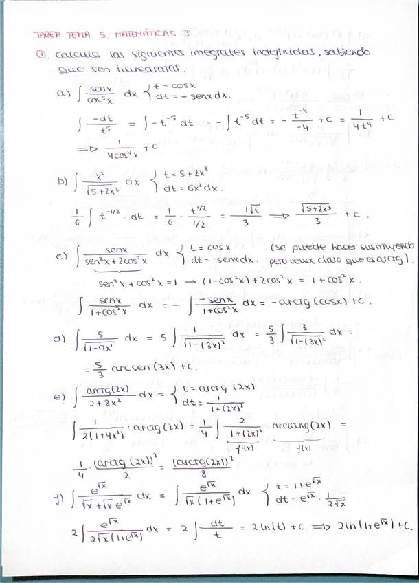
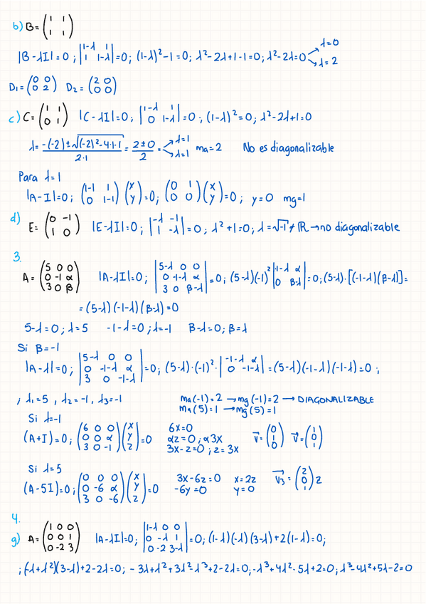
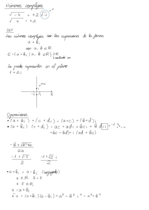
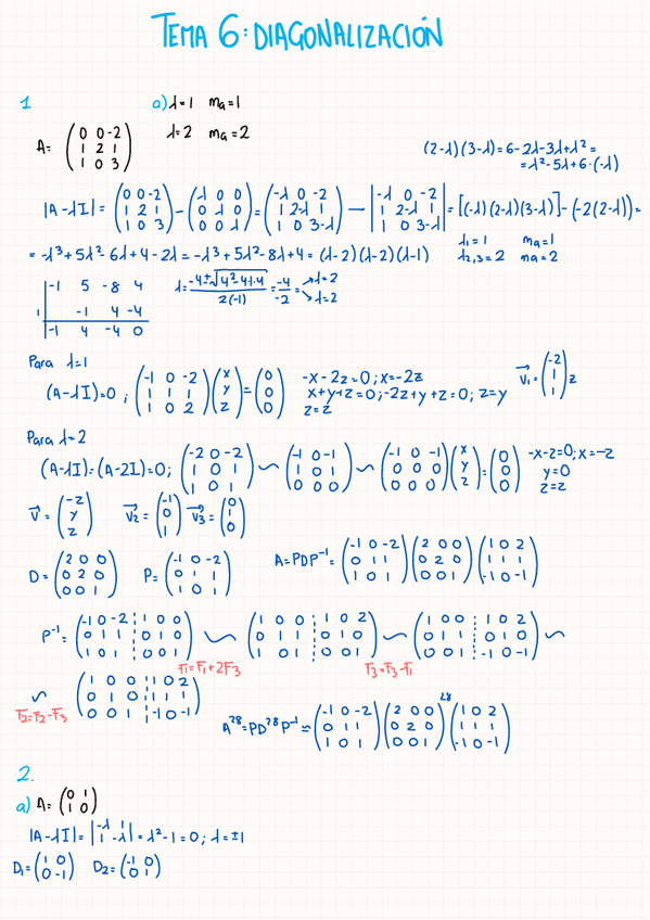
He publicado nuevos apuntes de 1º Matemáticas: IMG20260225222745780.jpg
He publicado nuevos apuntes de 1º Matemáticas: IMG20260225222755224.jpg
He publicado nuevos apuntes de 1º Matemáticas: IMG20260225222749060.jpg
He publicado nuevos apuntes de 1º Matemáticas: IMG20260225222751019.jpg
He publicado nuevos apuntes de 1º Matemáticas: IMG20260225222758274.jpg
He publicado nuevos apuntes de 1º Matemáticas: IMG20260225222805810.jpg
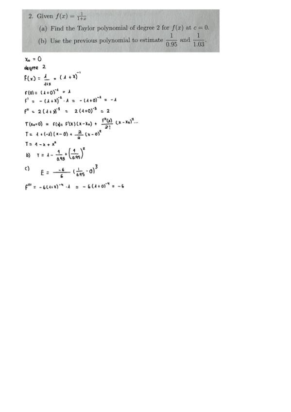
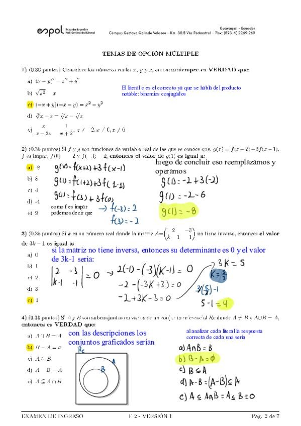
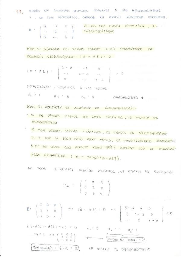
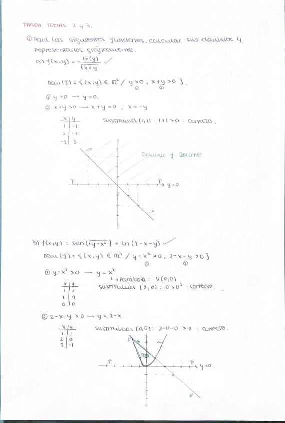
NOTA IMPORTANTE: en el ejercicio 1, apartado c), al realizar la derivada parcial respecto de (y) se considera -3 y no 3 tal y como aparece en la solución
apuntes
-
APUNTES MATEMÁTICAS (25-26)
Todos los apuntes han sido sacados del material proporcionado en clase y en la plataforma virtual
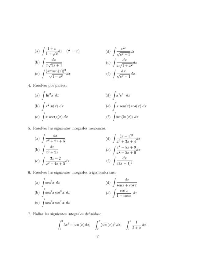
ejercicios
-
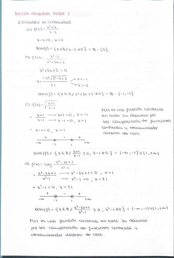
PRÁCTICA BLOQUE 1
He publicado nuevos ejercicios de 1º Matemáticas: PRÁCTICA BLOQUE 1
apuntes
-
BLOQUE 1
Apuntes de teoría del bloque 1 completo, con ejemplos de cada apartado
ejercicios
-
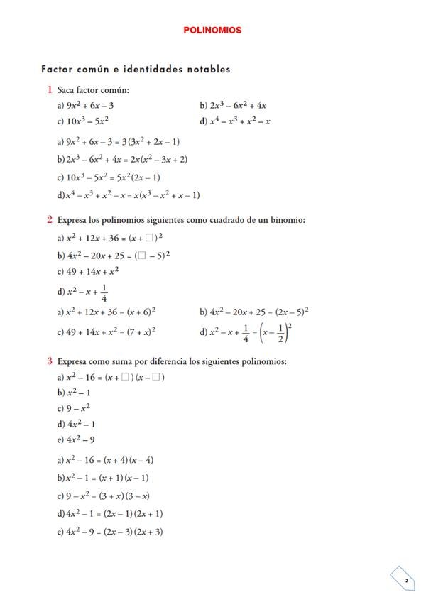
Ejercicios de polinomios - factorizacion_2
He publicado nuevos ejercicios de 3º Matemáticas: Ejercicios de polinomios - factorizacion_2
Ejercicios resueltos de trigonometría, resolución de triángulos rectángulos, seno coseno y tangente…
Apuntes de sistemas de ecuaciones lineales con todos sus métodos de resolución y ejercicios resueltos.
apuntes
-
2012_febrero_mod1
Examenes años anteriores matemáticas compartidos en cursos anteriores. De Philippe
En este documento, podrás encontrar un examen de 3.ESO sobre el temario de Proporcionalidades y Porcentajes. - Magnitudes directamente/inversamente proporcionales. - Reparto directamente/inversamente proporcionales. - Proporcionalidad compuesta. - Por
He publicado nuevos test de 2º Matemáticas: Preguntas-tipo-test-Matematicas.docx
🎓Clases Particulares de Matemáticas
📚 En Conta Master Academy aprenderás con profesores expertos en docencia financiera, usando una pizarra realista que hace las clases claras y dinámicas. 🎥 Además, tendrás acceso a las grabaciones para repasar cuando quieras y un asistente virtual que te da ejercicios y soporte las 24 h del día. 💬 Escríbenos al WhatsApp 👉 639 879 228 y te contamos cómo unirte a tu grupo 🔥
Todo el temario de matemáticas para 1ºCCMar resumido con ejemplos
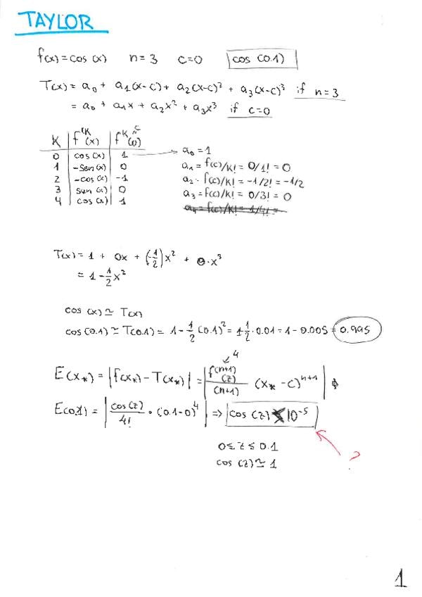
He publicado nuevos apuntes de 4º Matemáticas: Resolucion-de-indeterminaciones.pdf
Examen Matemáticas parcial 1era Evaluación, 4 de la eso Humanidades
He publicado nuevos apuntes de 4º Matemáticas: Operaciones-con-infinito-e-indeterminaciones.pdf
🎓Clases Particulares de Matemáticas
📚 En Conta Master Academy aprenderás con profesores expertos en docencia financiera, usando una pizarra realista que hace las clases claras y dinámicas. 🎥 Además, tendrás acceso a las grabaciones para repasar cuando quieras y un asistente virtual que te da ejercicios y soporte las 24 h del día. 💬 Escríbenos al WhatsApp 👉 639 879 228 y te contamos cómo unirte a tu grupo 🔥
apuntes
-
Funciones y gráficos 2n ESO
Esquema de la unidad de gráficos y funciones de matemáticas. Optimizado con IA a partir de mis apuntes
He publicado nuevos apuntes de 1º Matemáticas: PROBLEMAS-PROPORCIONALIDAD.pdf
apuntes
-
Repaso de calculo 2n ESO
Esquema de la unidad introductoria de matemáticas de 2n de la ESO, "Repaso de cálculo". Contiene: Números naturales (operaciones básicas y combinadas), múltiplos y divisores y propiedades y operaciones con números enteros. Optimizado con IA a partir de
apuntes
-
Sistemas de ecuaciones 3r ESO
Esquema de la unidad de sistemas de ecuaciones de matemáticas. Optimizado con IA a partir de mis apuntes.
apuntes
-
Proporcionalitat 3r 4t
Esquema de la unidad de proporcionalidad de matemáticas, que se estudia en 3r y 4t de la ESO. Está en catalán y castellano. Optimizado con IA a partir de mis apuntes.
apuntes
-
Probabilidad3r4t.1
Esquema de la unidad probabilidad de matemáticas, con teoría aplicable en 3r y 4t de la ESO. Optimizado con IA a partir de mis apuntes.
apuntes
-
Números Racionales 2n ESO
Esquema de la unidad de números racionales de matemáticas. Optimizado con IA a partir de mis apuntes
apuntes
-
Geometria plana 3r ESO
Esquema de la unidad de geometría plana de matemáticas. Optimizado con IA a partir de mis apuntes.
apuntes
-
Funciones 3r ESO
Esquema de la unidad de funciones, matemáticas. Optimizado con IA a partir de mis apuntes
apuntes
-
Estadística 3r Eso
Esquema de la unidad de matemáticas de estadística, optimizado con IA a partir de mis apuntes.
apuntes
-
Matemáticas Apuntes
He publicado nuevos apuntes de 1º Matemáticas: Matemáticas Apuntes
Ejercicios resueltos analíticamente y gráficamente de funciones de proporcionalidad inversa
Totes les fórmules necessàries per treure un 10 a mates, ànims!!!!
ejercicios
-
Expresiones Algebraicas
Ejercicios resueltos de expresiones algebraicas
He publicado nuevos apuntes de 3º Matemáticas: Ejercicios-resueltos ecuaciones.jpg.jpg
He publicado nuevos apuntes de 3º Matemáticas: Ejercicios-resueltos-ruffini .jpg.jpg.jpg
He publicado nuevos apuntes de 3º Matemáticas: Simplificacion-fracciones-algebraicas.jpg
He publicado nuevos apuntes de 3º Matemáticas: Apuntes-de-ecuaciones.jpg.jpg
He publicado nuevos apuntes de 3º Matemáticas: Ecuaciones-bicuadradas-apuntes.jpg
He publicado nuevos apuntes de 3º Matemáticas: Ecuaciones-irracionales.jpg
He publicado nuevos apuntes de 3º Matemáticas: Ecuaciones-irracionales.jpg
He publicado nuevos apuntes de 3º Matemáticas: Ejercicios-resueltos-sistemas-de-ecuaciones.jpg

