Matemáticas 1

chevron_left
chevron_right
Todo
Apuntes
Ejercicios
Exámenes
chevron_left
chevron_right

apuntes

-

Libreta prácticas (25-26)

Libreta de matemáticas 1 dividida por bloques: A=Derivadas B=Integrales C=Ecuaciones diferenciales (EDO) D=Álgebra E= Exámenes química 2025

Miniatura no disponible
Bloques-AB-y-C.zip
Miniatura no disponible
Bloque-D-y-E.zip

resumenes para los parciales :)

8 páginas

ejercicios

-

Libreta mates 1 (2024-2025)

Están partidos en bloques y en la mayoría hay explicaciones en rosa de como se hacen los ejercicioss :)

ejercicios-E-libreta-mates.pdf
ejercicios-D-libreta-mates.pdf
ejercicios-C-libreta-mates.pdf
ejercicios-B-libreta-mates.pdf
ejercicios-A-libreta-mates.pdf
Anónimo

@Anónimo

He publicado nuevos examenes de 1º Matemáticas 1: examenes-m1-10-23.pdf

100 páginas

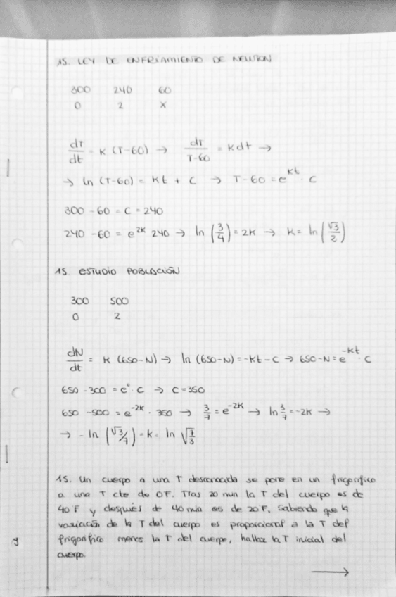
He publicado nuevos apuntes de 1º Matemáticas 1: ECS-DIFERENCIALES.pdf

2 páginas

He publicado nuevos apuntes de 1º Matemáticas 1: DERIVADAS.pdf

2 páginas
Anónimo

@Anónimo

apuntes

-

Exámenes

He publicado nuevos apuntes de 1º Matemáticas 1: Exámenes

20-22-Volumen-Revolucion.pdf

apuntes

-

EXERCICIOS DE DISTINTIOS TEMAS

He publicado nuevos apuntes de 1º Matemáticas 1: EXERCICIOS DE DISTINTIOS TEMAS

EJEMPLOS-INTEGRALES-.pdf
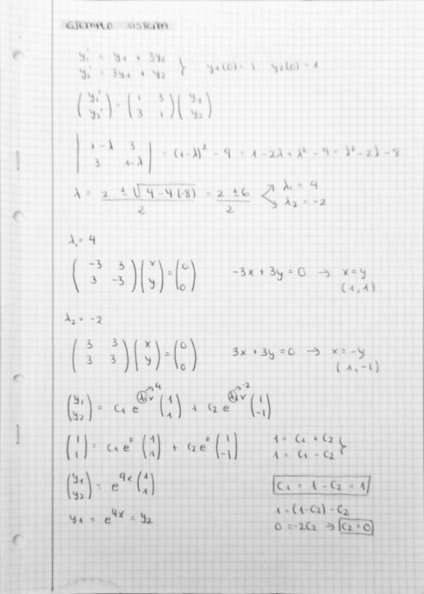
EJEMPLOS-MATRICES-.pdf
EJEMPLOS-EDO.pdf

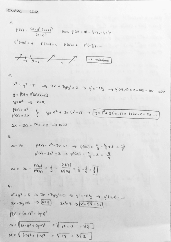
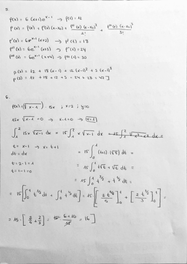
He publicado nuevos apuntes de 1º Matemáticas 1: exame-enero-22.pdf

11 páginas
¡Estás al día!

¡Estás al día!

Has visto todos los archivos