chevron_left
chevron_right
Todo
Apuntes
Ejercicios
Exámenes
chevron_left
chevron_right
Anónimo

@Anónimo

He publicado nuevos examenes de 1º Matemáticas 1: 2024-2025-Solucion-Exame-Primeira-Oportunidade-Bloque-2-1.pdf.pdf

2 páginas
Anónimo

@Anónimo

He publicado nuevos examenes de 1º Matemáticas 1: 2024-2025-Solucion-Exame-Primeira-Oportunidade-Bloque-1-1.pdf.pdf

6 páginas

He publicado nuevos examenes de 1º Matemáticas 1: 2025-2026-Solucion-Exame-Parcial.pdf

6 páginas
Anónimo

@Anónimo

He publicado nuevos examenes de 1º Matemáticas 1: 2023-2024-Solucion-Exame-Segunda-Oportunidade-Bloque-2.pdf.pdf.pdf

3 páginas
Anónimo

@Anónimo

He publicado nuevos examenes de 1º Matemáticas 1: Solucion-Exame-Segunda-Oportunidade-Bloque-1.pdf

7 páginas
Anónimo

@Anónimo

He publicado nuevos examenes de 1º Matemáticas 1: 2023-2024-Solucion-Exame-Primeira-Oportunidade-Bloque-2.pdf

4 páginas
Anónimo

@Anónimo

He publicado nuevos examenes de 1º Matemáticas 1: 2023-2024-Solucion-Exame-Parcial.pdf

8 páginas
Anónimo

@Anónimo

He publicado nuevos examenes de 1º Matemáticas 1: 2023-2024-Solucion-Exame-Primeira-Oportunidade-Bloque-1.pdf

6 páginas

He publicado nuevos apuntes de 1º Matemáticas 1: Teoria-Mates-Bloque-2.pdf

3 páginas

He publicado nuevos apuntes de 1º Matemáticas 1: Teoria-Mates-Bloque-1.pdf

2 páginas
Anónimo

@Anónimo

En estos apuntes podrás encontrar la esplicación de las combinaciones lineales, qué son y cómo hallar las bases en los espacios vectoriales, los productos escalar, vectorial y mixto junto con sus propiedades y por último, los tipos de coordenadas.

6 páginas
Anónimo

@Anónimo

He publicado nuevos apuntes de 1º Matemáticas 1: ESPACIO.RNNumerosComplejosapuntes.pdf

2 páginas

He publicado nuevos ejercicios de 1º Matemáticas 1: Ejercicio-ecuaciones-diferenciales-1.pdf

1 página

He publicado nuevos ejercicios de 1º Matemáticas 1: Ecuaciones-Diferenciales.pdf

2 páginas

He publicado nuevos examenes de 1º Matemáticas 1: Parcial-2017-RESUELTO.pdf

9 páginas

He publicado nuevos examenes de 1º Matemáticas 1: Parcial-2015-RESUELTO.pdf

5 páginas

He publicado nuevos examenes de 1º Matemáticas 1: Global-2017-RESUELTO.pdf

10 páginas

He publicado nuevos examenes de 1º Matemáticas 1: Examenes-12-15-17-19-sin-resolver.pdf

11 páginas
Anónimo

@Anónimo

He publicado nuevos apuntes de 1º Matemáticas 1: Matematicas-teoria.pdf

18 páginas

He publicado nuevos apuntes de 1º Matemáticas 1: Apuntes-matematicas-clase-23-24.pdf

20 páginas

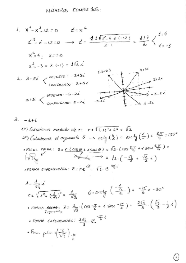
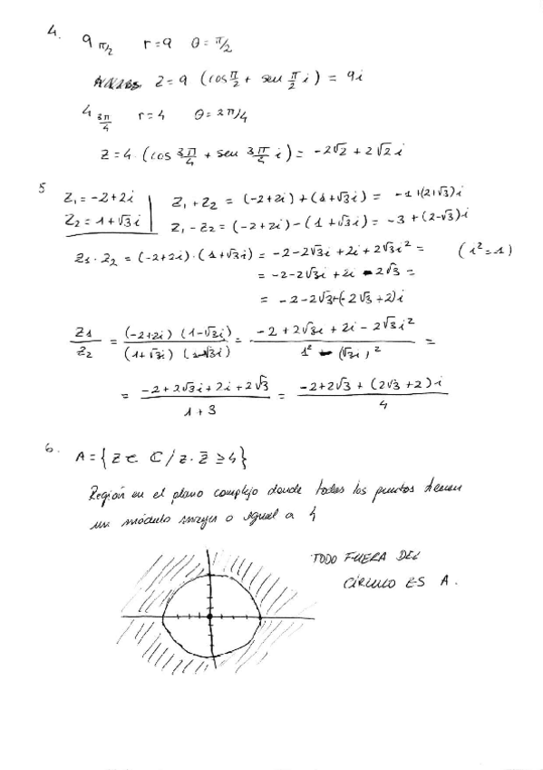
He publicado nuevos ejercicios de 1º Matemáticas 1: Ejercicios-numeros-complejos-resueltos.pdf

9 páginas

He publicado nuevos ejercicios de 1º Matemáticas 1: Ejercicios-espacios-vectoriales-resueltos.pdf

8 páginas

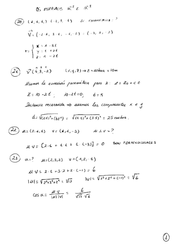
He publicado nuevos ejercicios de 1º Matemáticas 1: Ejercicios-espacios-R2-y-R3-resueltos.pdf

6 páginas

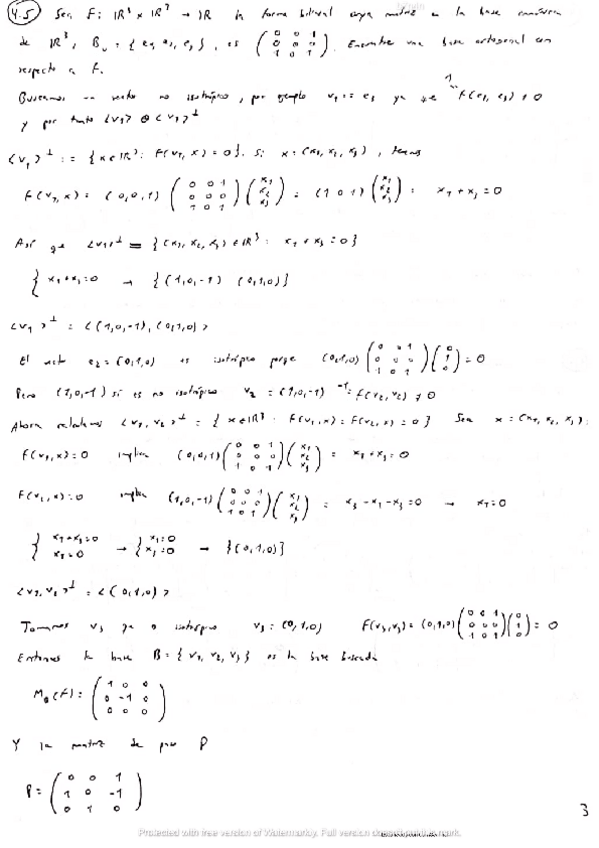
He publicado nuevos ejercicios de 1º Matemáticas 1: Ejercicios-aplicaciones-lineal-resueltos.pdf

12 páginas
Anónimo

@Anónimo

He publicado nuevos examenes de 1º Matemáticas 1: Parcial2022B.pdf

2 páginas
Anónimo

@Anónimo

He publicado nuevos examenes de 1º Matemáticas 1: Parcial2022A.pdf

2 páginas
Anónimo

@Anónimo

He publicado nuevos examenes de 1º Matemáticas 1: Junio-2023.pdf

2 páginas
Anónimo

@Anónimo

He publicado nuevos examenes de 1º Matemáticas 1: Final-Enero-2023.pdf

2 páginas

ejercicios

-

Problemas

He publicado nuevos ejercicios de 1º Matemáticas 1: Problemas

al5.pdf
al4.pdf
al7.pdf
al3.pdf
al2.pdf
al10.pdf
¡Estás al día!

¡Estás al día!

Has visto todos los archivos