Todo
Apuntes
Ejercicios
Exámenes
Otros
Prácticas
publication
Test
Trabajos
chevron_left
chevron_right

apuntes

-

Tema2_estructurasAlgebraicas

Apuntes del tema 2 de la asignatura Matemáticas 2

Tema2estructurasAlgebraicas.pdf
tarjetastema2.pdf

apuntes

-

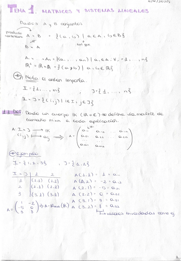
Tema1_matricesysistemas

Resumen del tema 1 de la asignatura Matemáticas 2

Tema1matricesysistemas.pdf
Tarjetastema1.pdf

He publicado nuevos examenes de 2º Matemáticas 2: Nivelacion12025-26-RESUELTO.pdf

4 páginas

practicas

-

Practicas Mates 2

Esta carpeta contiene las 6 prácticas de la asignatura y su correspondiente archivo mis_funciones. Todo hecho con SageMath.

Miniatura no disponible
p12526oxniq.ipynb
Miniatura no disponible
misfunciones.ipynb
Miniatura no disponible
p62526oxniq.ipynb
Miniatura no disponible
p52526oxniq.ipynb
Miniatura no disponible
p42526oxniq.ipynb
Miniatura no disponible
p32526oxniq.ipynb

apuntes

-

Mates 2

He publicado nuevos apuntes de 1º Matemáticas 2: Mates 2

Tema-1.pdf
Tema-2.pdf
Tema-3.pdf
Tema-4.pdf
Tema-5.pdf
Tema-6.pdf

He publicado nuevos examenes de 2º Matemáticas 2: EX-2021-2022-resuelto-pasos.pdf

7 páginas

Ejercicios de Poliformat

9 páginas

Ejercicios de Poliformat

3 páginas

He publicado nuevos apuntes de 2º Matemáticas 2: RESUM-T4-MATE-2.pdf

3 páginas

He publicado nuevos apuntes de 2º Matemáticas 2: TEMA-4-MATE-2.pdf

7 páginas

He publicado nuevos apuntes de 2º Matemáticas 2: TEMA-3-MATE2.pdf

14 páginas

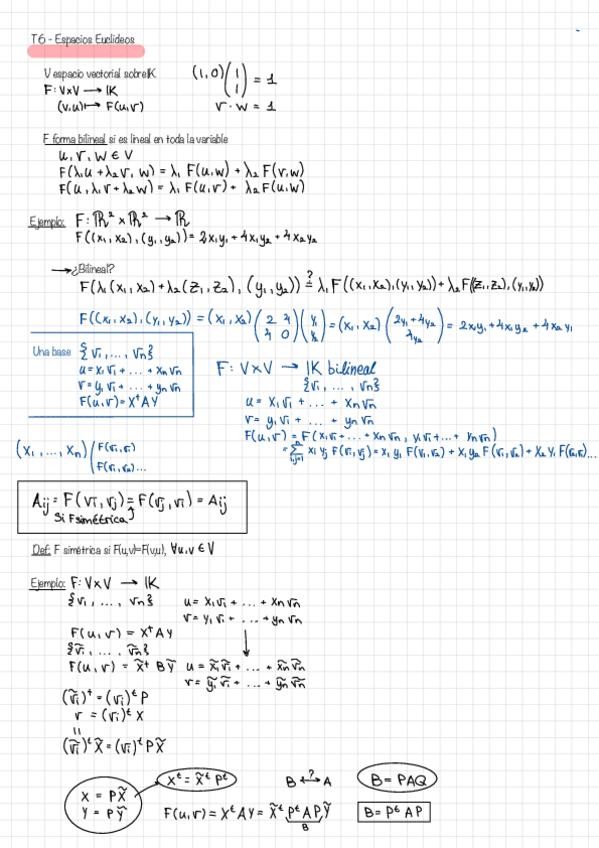
He publicado nuevos apuntes de 1º Matemáticas 2: T6-Espacios-Euclideos.pdf

6 páginas

He publicado nuevos ejercicios de 1º Matemáticas 2: ProblemasSesion82526.pdf

7 páginas

He publicado nuevos ejercicios de 1º Matemáticas 2: ProblemasSesion72526.pdf

7 páginas

He publicado nuevos apuntes de 1º Matemáticas 2: ecuaciones-diferenciales-ordinarias.pdf

16 páginas

He publicado nuevos apuntes de 1º Matemáticas 2: T5-Endomorfismos.pdf

5 páginas

Tema 3 de matemáticas 2, Vectores y valores propios; de los apuntes y pizarras de Sergio Serrano

3 páginas

Archivo .ipnyb (de sage en jupyter) de la práctica 5 de mates 2 resuelta, con explicaciones en cada ejercicio.

Miniatura no disponible

Ejercicios sesión de problemas 6 con sus respectivas cuestiones y problemas. El ejercicio 6 puede contener erratas ya que no nos dio tiempo a corregirlo.

6 páginas

Ejercicios sesión de problemas 5 con sus respectivas cuestiones y problemas.

5 páginas

Ejercicios sesión de problemas 4 con sus respectivas cuestiones y problemas.

7 páginas

Tema 4 de matematicas II, apliaciones lineales, de los apuntes y pizarras de Serigio Serrano

4 páginas

Este documento contiene el temario de aplicaciones lineales con sus respectivos ejemplos.

6 páginas

He publicado nuevos examenes de 2º Matemáticas 2: Mates-1-Niv-2025.pdf

1 página

Tema 3 - Espacios Vectoriales Este archivo contiene la teoría y distintos ejemplos dados en clase. Contenidos: - Espacio Vectorial - Subespacio Vectorial - Subespacio Intersección - Unión de subespacios vectoriales - Combinación lineal - Base de un espaci

11 páginas

Nivelación Resuelta 2023-24

6 páginas

1º Recuperación Resuelta

2 páginas

Tema 3 de matemáticas II, espacios vectoriales

6 páginas

Nivelación 1 de 24-25 Resuelta

7 páginas

He publicado nuevos apuntes de 2º Matemáticas 2: formulas-T1--T2.pdf

4 páginas

He publicado nuevos examenes de 2º Matemáticas 2: Examen-recuperacion-niv1-2024.pdf

3 páginas

He publicado nuevos examenes de 2º Matemáticas 2: Soluciones-nivelacion-1-2024.pdf

2 páginas

He publicado nuevos examenes de 2º Matemáticas 2: Soluciones-nivelacion-1-2024.-Parte-2.jpg

Imagen

He publicado nuevos examenes de 2º Matemáticas 2: Soluciones-nivelacion-1-2024.-Parte-1.jpg

Imagen

He publicado nuevos examenes de 2º Matemáticas 2: Examen nivelacion 1 2020 Valenciano.pdf

1 página

He publicado nuevos examenes de 2º Matemáticas 2: Examen nivelacion 1 2020 Castellano.pdf

1 página

He publicado nuevos examenes de 2º Matemáticas 2: Examen nivelacion 1 2021 Valenciano.pdf

1 página

He publicado nuevos examenes de 2º Matemáticas 2: Examen nivelacion 1 2021 Castellano.pdf

1 página

He publicado nuevos examenes de 2º Matemáticas 2: Examen nivelacion 1 2024 Valenciano.pdf

1 página

He publicado nuevos examenes de 2º Matemáticas 2: Examen nivelacion 1 2024 Castellano.pdf

1 página

Este archivo contiene el Tema 2 de la asignatura de Matemáticas II

16 páginas

Este archivo contiene el Tema 1 de la asignatura de Matemáticas II. Dentro de los apuntes, hay un ejercicio de factorización LU incorrecto, corregido en ROJO con el resultado correcto.

24 páginas

IMPORTANTE: MIRAD EN LOS APUNTES DE MOODLE LAS DEFINICIONES DE CUERPO Y DE DIVISOR DE, NO SE PORQUE NO LAS PUSE. Tema dos de matemáticas II, he tenido un pequeño problema con la llluvia. Suerte en el parcial :)

9 páginas

Apuntes de matemáticas 2, matrices y métodos iterativos; de los apuntes y pizarras de Sergio Serrano

8 páginas

He publicado nuevos apuntes de 1º Matemáticas 2: Mates-II.-T1-matrices-y-sistemas.pdf

4 páginas

Teoria+ejercicios resueltos

9 páginas

Teoria + ejercicios resueltos

17 páginas

He publicado nuevos ejercicios de 2º Matemáticas 2: EJERCICIOS-RESUELTOS-MATEMATICAS-2.pdf

6 páginas

examenes

-

Ejercicios resueltos de examenes

He publicado nuevos examenes de 1º Matemáticas 2: Ejercicios resueltos de examenes

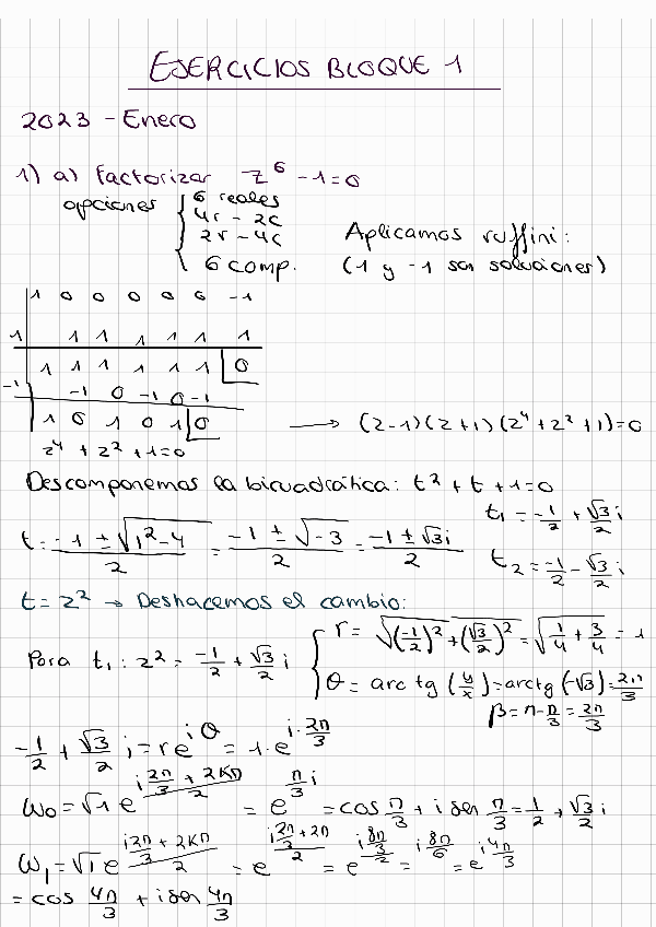
Ejercicios-bloque-1.pdf
Ejercicios-Series-funcionales.pdf
Ejercicios-Series.pdf
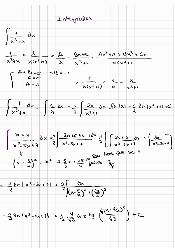
Ejercicios-integrales.pdf
Ejercicios-campos.pdf
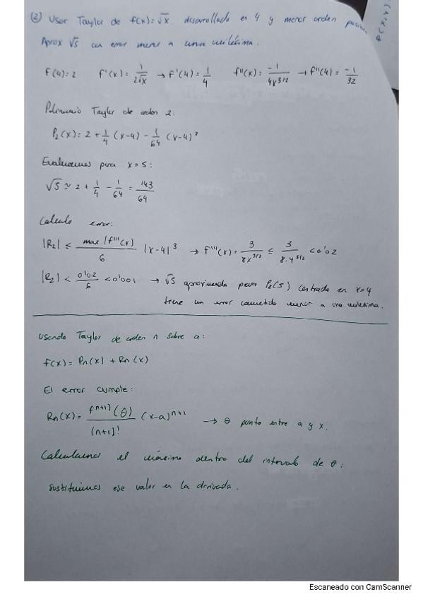
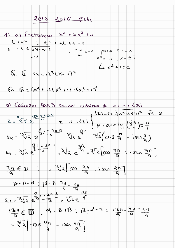
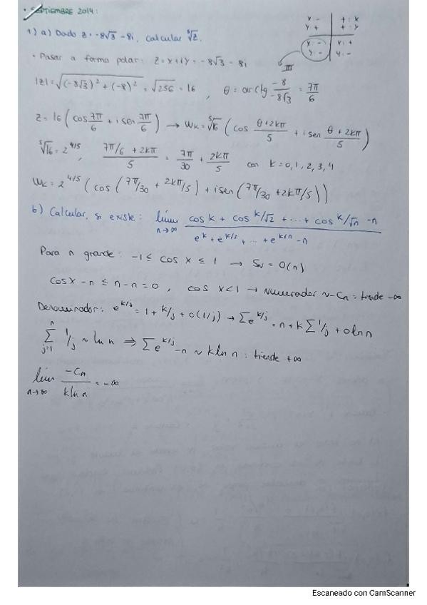
2015-2016-feb-examen-resuelto.pdf

apuntes

-

Toda la teoria Mates 2

He publicado nuevos apuntes de 1º Matemáticas 2: Toda la teoria Mates 2

Tema-6mates2.pdf
Tema-5mates2.pdf
Tema-4mates2.pdf
Tema-3mates2.pdf
Tema-2mates2.pdf
Tema-1mates2.pdf

He publicado nuevos apuntes de 1º Matemáticas 2: T1-Numeros-complejos.pdf

2 páginas

apuntes

-

RESUMS N1 MAT2_Grup C

Resum formules parametrització

PARAMETRIZACION.pdf

apuntes

-

RESUMS N2 MAT2_Grup C

Resums dels temes 3 i 4 a partir dels apunts de classe

TEMA-4.pdf
TEMA3.pdf

He publicado nuevos apuntes de 1º Matemáticas 2: Resumen-Conceptos-basicos-Derivadas-e-Integrales.pdf

3 páginas

He publicado nuevos examenes de 1º Matemáticas 2: EjerciciosSegundoBloque.pdf

1 página

He publicado nuevos ejercicios de 2º Matemáticas 2: ejercicios-resueltosP1P2.pdf

25 páginas

He publicado nuevos ejercicios de 2º Matemáticas 2: ejer.-2o-parcial.pdf

25 páginas

He publicado nuevos ejercicios de 2º Matemáticas 2: ejer.-1o-parcial.pdf

11 páginas

He publicado nuevos ejercicios de 2º Matemáticas 2: ejer.-2o-parcial-coordenadascilindricasesfericas.pdf

16 páginas

He publicado nuevos examenes de 2º Matemáticas 2: finales-ejr.-resueltos.pdf

3 páginas