chevron_left
chevron_right
Todo
Apuntes
Ejercicios
Exámenes
Prácticas
chevron_left
chevron_right

He publicado nuevos apuntes de 1º Matemáticas 2: Mates-2-ejercicios-tipo-calculo.pdf

6 páginas

He publicado nuevos apuntes de 1º Matemáticas 2: Mates-2-teoria-y-ej-tipico-geometria.pdf

3 páginas

He publicado nuevos ejercicios de 1º Matemáticas 2: Mates-2-ejercicios-variados.pdf

14 páginas

He publicado nuevos apuntes de 1º Matemáticas 2: Mates-2-resumen-primer-parcial.pdf

2 páginas

He publicado nuevos ejercicios de 1º Matemáticas 2: Mates-2-ejercicios-primer-parcial-2.pdf

17 páginas

He publicado nuevos apuntes de 1º Matemáticas 2: Resumenes-calculo-matematicas-2.pdf

4 páginas

He publicado nuevos apuntes de 1º Matemáticas 2: Resumenes-algebra-matematicas-2.pdf

4 páginas

Recopilatorio de jercicios resueltos de examenes de otros años

4 páginas

Recopilatorio de ejercicios de examenes de otros años

6 páginas

Examen de mayo 2025 resuelto

4 páginas

Ejercicios resueltos propuestos en clase

6 páginas

Ejercicios resueltos de los propuestos en clase

10 páginas

Ejercicios resueltos de los propuestos en clase

9 páginas

Ejercicios reuseltos de los propuestos en clase

10 páginas

He publicado nuevos ejercicios de 1º Matemáticas 2: Ejemplos-derivabilidad-y-continuidad.pdf

4 páginas

He publicado nuevos apuntes de 1º Matemáticas 2: Mates2-apuntes-de-clase-GEOMETRIA.pdf

14 páginas

He publicado nuevos apuntes de 1º Matemáticas 2: Mates2-apuntes-de-clase-CALCULO.pdf

45 páginas

He publicado nuevos apuntes de 1º Matemáticas 2: Mates2-apuntes-de-clase-ALGEBRA.pdf

29 páginas
Anónimo

@Anónimo

He publicado nuevos apuntes de 1º Matemáticas 2: MATEMATICAS-2-PRACTICAS-APUNTES.pdf

74 páginas
Anónimo

@Anónimo

apuntes

-

GUIONES DE PRÁCTICAS

He publicado nuevos apuntes de 1º Matemáticas 2: GUIONES DE PRÁCTICAS

Practica1.pdf
Anónimo

@Anónimo

apuntes

-

Soluciones Prácticas

He publicado nuevos apuntes de 1º Matemáticas 2: Soluciones Prácticas

soluciones-pr1.pdf
soluciones-pr2.pdf
soluciones-pr3.pdf
soluciones-pr4.pdf
soluciones-pr5.pdf
Anónimo

@Anónimo

Práctica 1, ejercicios y explicaciones

11 páginas

He publicado nuevos practicas de 1º Matemáticas 2: EXAMEN-FINAL-PRACTICAS.pdf

12 páginas

He publicado nuevos ejercicios de 1º Matemáticas 2: Problemas-2o-parcial.pdf

18 páginas

He publicado nuevos examenes de 1º Matemáticas 2: Examen-global-corregido.pdf

8 páginas

He publicado nuevos ejercicios de 1º Matemáticas 2: Ejercicios-TIPO-2o-parcial.pdf

5 páginas

He publicado nuevos examenes de 1º Matemáticas 2: Examenes-1o-parcial.pdf

36 páginas

He publicado nuevos ejercicios de 1º Matemáticas 2: Ejercicios-TIPO-1o-parcial.pdf

24 páginas

He publicado nuevos apuntes de 1º Matemáticas 2: Esquema-1o-parcial.pdf

4 páginas

Ejercicios subidos a moodle resueltos

49 páginas

Teoria de todo el cuatrimestre dada en clase

74 páginas

He publicado nuevos apuntes de 1º Matemáticas 2: Resumen Teoría Esencial para Examen.pdf

9 páginas

He publicado nuevos apuntes de 1º Matemáticas 2: Mates-2-Tema-5.pdf

8 páginas

He publicado nuevos apuntes de 1º Matemáticas 2: Mates-2-Tema-4.pdf

6 páginas

He publicado nuevos apuntes de 1º Matemáticas 2: Mates-2-Tema-3.pdf

3 páginas

He publicado nuevos apuntes de 1º Matemáticas 2: Mates-2-Tema-2.pdf

7 páginas

He publicado nuevos apuntes de 1º Matemáticas 2: Mates-2-Tema-1.pdf

10 páginas

ejercicios

-

ejercicios Mates 2

He publicado nuevos ejercicios de 1º Matemáticas 2: ejercicios Mates 2

Ejercicios-resueltos-parte-1.pdf
ejercicios-resueltos-parte-2.pdf
ejercicios-resueltos-parte-3.pdf

He publicado nuevos apuntes de 1º Matemáticas 2: Practica-5.pdf

6 páginas

He publicado nuevos apuntes de 1º Matemáticas 2: Solucion-Pr4.pdf

3 páginas

He publicado nuevos apuntes de 1º Matemáticas 2: Solucion-Pr3.pdf

3 páginas

He publicado nuevos apuntes de 1º Matemáticas 2: Practica-4.pdf

6 páginas

He publicado nuevos apuntes de 1º Matemáticas 2: Practica-3.pdf

6 páginas

He publicado nuevos apuntes de 1º Matemáticas 2: Solucion-Pr2.pdf

4 páginas

He publicado nuevos apuntes de 1º Matemáticas 2: Solucion-Pr1.pdf

4 páginas

He publicado nuevos apuntes de 1º Matemáticas 2: Practica-2.pdf

15 páginas

He publicado nuevos apuntes de 1º Matemáticas 2: Practica1.pdf

9 páginas

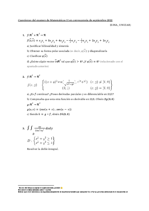
He publicado nuevos apuntes de 1º Matemáticas 2: Cuestiones-del-examen.pdf

1 página

He publicado nuevos apuntes de 1º Matemáticas 2: TEMA-4.pdf

3 páginas

He publicado nuevos apuntes de 1º Matemáticas 2: TEMA-2.pdf

3 páginas

He publicado nuevos apuntes de 1º Matemáticas 2: TEMA-1.pdf

6 páginas

apuntes

-

MEGAGUIONES

He publicado nuevos apuntes de 1º Matemáticas 2: MEGAGUIONES

MEGAGUION-Algebra-lineal-v2.pdf

apuntes

-

Resúmenes completos de teoría

He publicado nuevos apuntes de 1º Matemáticas 2: Resúmenes completos de teoría

Tema-123--ejemplos.pdf
tema-45--ejemplos.pdf

apuntes

-

Prácticas

He publicado nuevos apuntes de 1º Matemáticas 2: Prácticas

Miniatura no disponible
Soluciones-Pratica-1.zip
Miniatura no disponible
Soluciones.zip
Miniatura no disponible
Soluciones.zip
Miniatura no disponible
Soluciones.zip
Miniatura no disponible
Soluciones.zip
Practica-3.pdf

apuntes

-

Tema 5

He publicado nuevos apuntes de 1º Matemáticas 2: Tema 5

Ejercicio 1 hoja 5_1.pdf
Ejercicio 3 hoja 5_1.pdf
Ejercicio 6 hoja 5.pdf
Ejercicio 9bis hoja5(1).pdf
Ejercicio 10 hoja 5(1).pdf
Ejercicio9 hoja5(1).pdf

apuntes

-

Tema 2

He publicado nuevos apuntes de 1º Matemáticas 2: Tema 2

Ejercicio 1. Hoja examen tema 1.pdf
Ejercicio 2. Hoja examen tema 1.pdf
Hoja de actividades 2.pdf
problemasistemad_homogeneo.pdf
Tema 2_ Sistemas diferenciales lineales.pdf

apuntes

-

Tema 4

He publicado nuevos apuntes de 1º Matemáticas 2: Tema 4

Tema 4. Curvas diferenciales.pdf
Hoja de actividades 4.pdf
Ejercicio 8 hoja 4_1.pdf
Ejercicio 12 hoja4_1.pdf
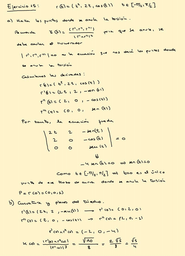
Ejercicio 14 hoja 4_1.pdf
Ejercicio 15 hoja 4_1.pdf

apuntes

-

Tema 6

He publicado nuevos apuntes de 1º Matemáticas 2: Tema 6

Ejercicio2hoja6_1.pdf
Ejercicio5hoja6_1.pdf
Ejercicio9ahoja6_1.pdf
Hoja de actividades 6.pdf
Notas de clase del Tema 6(1).pdf
Tema 6.pdf

apuntes

-

Tema 1

He publicado nuevos apuntes de 1º Matemáticas 2: Tema 1

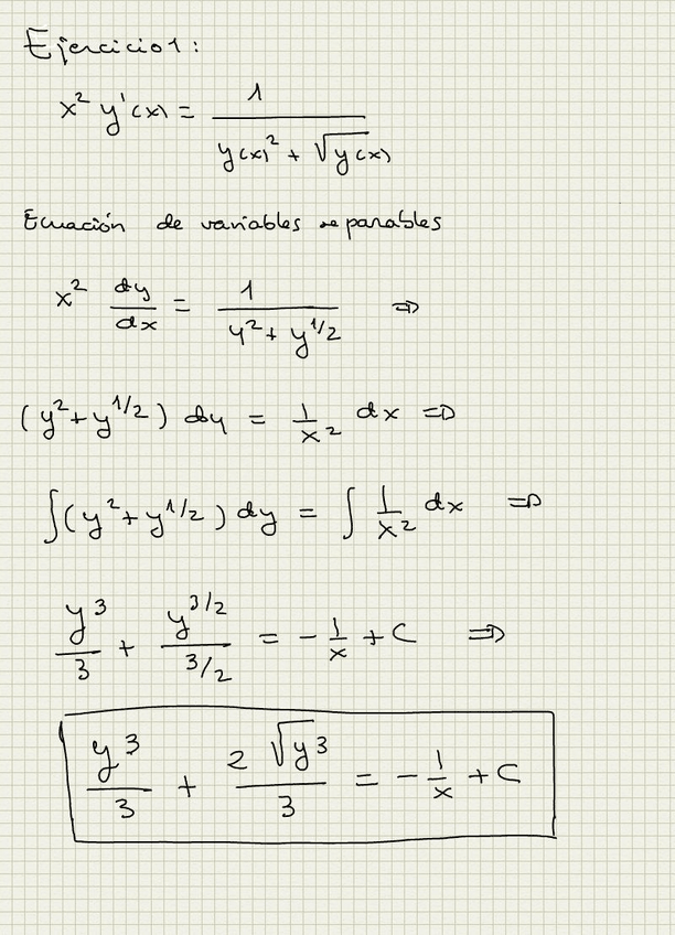
Tema1_Ecuaciones_diferenciales_primer_orden.pdf
Hoja de actividades 1.pdf
Ejercicios de exámenes del tema 1.pdf

apuntes

-

Tema 3

He publicado nuevos apuntes de 1º Matemáticas 2: Tema 3

Hoja de actividades 3.pdf
Tema3_EDO_Orden_Superior.pdf