Matemáticas 4

chevron_left
chevron_right
Todo
Apuntes
Ejercicios
Exámenes
publication
chevron_left
chevron_right

Tema 1 apuntes

4 páginas

ejercicios resueltos variados de examenes de matlab

13 páginas

apuntes

-

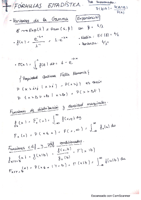
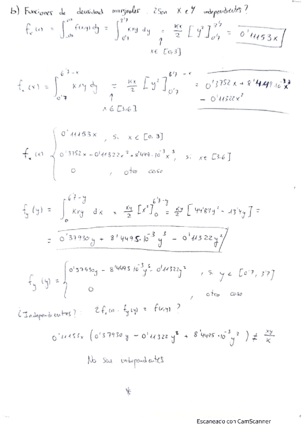
Toda la teoria Estadistica

He publicado nuevos apuntes de 1º Matemáticas 4: Toda la teoria Estadistica

3b-Modelos-probabilisticos.pdf
3-Variables-aleatorias.pdf
2-Calculo-de-Probabilidades.pdf
1B-Estadistica-Descriptiva.pdf
1A-Estadistica-descriptiva-unidimensional.pdf

apuntes

-

Toda la teoria Numerico

He publicado nuevos apuntes de 1º Matemáticas 4: Toda la teoria Numerico

Cap-10-Ecuaciones-no-lineales.pdf
Cap-7-Derivacion-e-integracion.pdf
Cap-6-Aproximacion-minimo-cuadratica.pdf
Cap-5-Interpolacion-polinomica.pdf
Cap-3-Sistemas-de-ecuaciones-lineales.pdf
Cap-1-Evaluacion-de-expresiones.pdf

apuntes

-

ESTADÍSTICA APUNTES PARA EL EXAMEN COMPLETOS

Apuntes completos de la parte de estadística para el examen. Contiene la aplicación en Octave 9.4.0 de los conceptos de prácticas y ejemplos resueltos.

T1EstadisticaDescriptiva.pdf
T2Probabilidad.pdf
T3VariablesAleatoriasyModelosProbabilisticos.pdf
T4ProcesosAleatorios.pdf

apuntes

-

NÚMERICO APUNTES PARA EL EXAMEN COMPLETOS

Apuntes completos de la parte de numérico para el examen. Contiene la aplicación en Octave 9.4.0 de los conceptos de prácticas y ejemplos resueltos.

T1Fundamentos-yAlgebraNoLineal.pdf
T2AlgebraLineal.pdf
T3InterpolacionyAproximacion.pdf
T4CalculoInfinitesimalyProblemasDiferenciales.pdf

Tengo un par de errores en la parte de estadística, en los SSE y los R^2 de los lineales, corregid eso, en caso de ver algún error mas avisad a ser posible. Esperemos que esta primera convocatoria haya ido bien. Suerte (valientes).

26 páginas

examenes

-

EXAMENES RESUELTOS EXPLICADOS

He publicado nuevos examenes de 1º Matemáticas 4: EXAMENES RESUELTOS EXPLICADOS

N1-JUNIO-24compressed.pdf
N1-SEPT-2024compressed.pdf
N1-JUNIO-2023compressed.pdf
N2-JUNIO-2023compressed.pdf
N1-SEPT-2023.pdf
N2-SEPT-2023.pdf

Es un formulario básico con ejercicios de otros años de exámenes

11 páginas

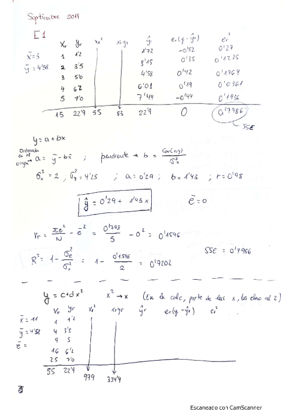
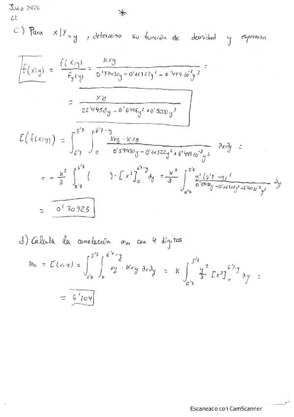
He publicado nuevos examenes de 1º Matemáticas 4: EXAMEN-SEPTIEMBRE-2019.pdf

4 páginas

He publicado nuevos examenes de 1º Matemáticas 4: EJERCICIOS-EXAMEN-NUMERICO-RESUELTOS.pdf

8 páginas

He publicado nuevos ejercicios de 1º Matemáticas 4: Ejercicios-estadistica-distribuciones.pdf

7 páginas

Primera parte de los apuntes orientado al examen de MATLAB

5 páginas

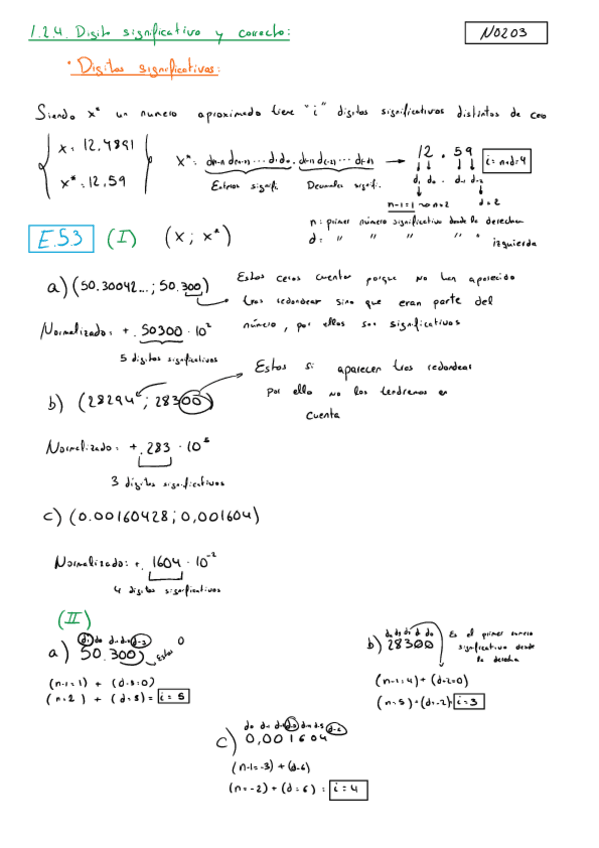
He publicado nuevos apuntes de 1º Matemáticas 4: N0203-Matematicas-IV.pdf

10 páginas

He publicado nuevos apuntes de 1º Matemáticas 4: N01-Matemáticas-IV.pdf

4 páginas

apuntes

-

MATLAB CON ANOTACIONES

He publicado nuevos apuntes de 1º Matemáticas 4: MATLAB CON ANOTACIONES

MATLAB-N1N2-CON-ANOTACIONES.pdf
MATLAB-N3N4-CON-ANOTACIONES.pdf
MATLAB-E1E2-CON-ANOTACIONES.pdf
MATLAB-E3E4-CON-ANOTACIONES.pdf

He publicado nuevos apuntes de 1º Matemáticas 4: resumen-estadistica.pdf

9 páginas

He publicado nuevos apuntes de 1º Matemáticas 4: Apuntes-con-ejercicios-numerico.pdf

35 páginas
Anónimo

@Anónimo

He publicado nuevos apuntes de 1º Matemáticas 4: Apuntes con ejercicios estadistica.pdf

53 páginas

He publicado nuevos apuntes de 1º Matemáticas 4: guerreo-03-ordenado.pdf

36 páginas

Examenes resueltos

Exámenes resueltos en: 1) https://www.wuolah.com/etsii-gis-13891/metodos-estadisticos-para-la-computacion/5699774 2) https://www.wuolah.com/etsit-git-682/estadistica-y-metodos-numericos/5699736 3) https://www.wuolah.com/etsit-gist-674/estadistica-y-metodos-numericos/5699679 4)

He publicado nuevos apuntes de 1º Matemáticas 4: RESUMEN-COSAS-VARIADAS.pdf

12 páginas

examenes

-

NUMERICO

He publicado nuevos examenes de 1º Matemáticas 4: NUMERICO

NUMERICO-JUNIO-2018.pdf
NUMERICO-JUNIO-2019.pdf
NUMERICO-JUNIO-2020.pdf
NUMERICO-SEPTIEMBRE-2017.pdf
NUMERICO-SEPTIEMBRE-2018.pdf
NUMERICO-SEPTIEMBRE-2019.pdf

examenes

-

ESTADISTICA

He publicado nuevos examenes de 1º Matemáticas 4: ESTADISTICA

ESTADISTICA-JUNIO-2014.pdf
ESTADISTICA-JUNIO-2016.pdf
ESTADISTICA-JUNIO-2017.pdf
ESTADISTICA-JUNIO-2019.pdf
ESTADISTICA-JUNIO-2020.pdf
ESTADISTICA-JUNIO-2021.pdf
Anónimo

@Anónimo

examenes

-

Exámenes EyMN

He publicado nuevos examenes de 1º Matemáticas 4: Exámenes EyMN

2021Unidos.pdf
2017Unidos.pdf
2020Unidos.pdf
2019.pdf
2018Unidos.pdf
Anónimo

@Anónimo

ejercicios

-

N2 b) Exámenes EyMN

He publicado nuevos ejercicios de 1º Matemáticas 4: N2 b) Exámenes EyMN

N2b-2.pdf
N2b-1.pdf
Anónimo

@Anónimo

apuntes

-

N2 a) Exámenes EyMN

He publicado nuevos apuntes de 1º Matemáticas 4: N2 a) Exámenes EyMN

N2a-1.pdf
N2a-2.pdf
N2a-3.pdf
Anónimo

@Anónimo

ejercicios

-

N1 b) Exámenes EyMN

He publicado nuevos ejercicios de 1º Matemáticas 4: N1 b) Exámenes EyMN

N1b-2.pdf
N1b-1.pdf
Anónimo

@Anónimo

ejercicios

-

N1 a) Exámenes EyMN

He publicado nuevos ejercicios de 1º Matemáticas 4: N1 a) Exámenes EyMN

N1a-5.pdf
N1a-8.pdf
N1a-1.pdf
N1a-9.pdf
N1a-4.pdf
N1a-3.pdf
Anónimo

@Anónimo

ejercicios

-

E2 Exámenes EyMN

He publicado nuevos ejercicios de 1º Matemáticas 4: E2 Exámenes EyMN

E2-3.pdf
E2-10.pdf
E2-8.pdf
E2-7.pdf
E2-2.pdf
E2-1.pdf
Anónimo

@Anónimo

ejercicios

-

E1 b) Exámenes EyMN

He publicado nuevos ejercicios de 1º Matemáticas 4: E1 b) Exámenes EyMN

E1b-2.pdf
E1b-1.pdf
Anónimo

@Anónimo

ejercicios

-

E1 a Exámenes EyMN

He publicado nuevos ejercicios de 1º Matemáticas 4: E1 a Exámenes EyMN

E1a-2.pdf
E1a-4.pdf
E1a-5.pdf
E1a-3.pdf
E1a-6.pdf
E1a-1.pdf

He publicado nuevos apuntes de 1º Matemáticas 4: Ejercicios-tipo-primer-parcial.pdf

10 páginas

apuntes

-

Apuntes para llevar al examen(completo)

He publicado nuevos apuntes de 1º Matemáticas 4: Apuntes para llevar al examen(completo)

Estadistica-Segundo-Parcial.pdf
ejercicios-tipo-resueltos.pdf
Segundo-Parcial-Numerico-completo.pdf
N1-b.pdf
N1-a.pdf
E1-a.pdf
¡Estás al día!

¡Estás al día!

Has visto todos los archivos