Matemáticas: Álxebra e estatística

chevron_left
chevron_right
Todo
Apuntes
Ejercicios
Exámenes
chevron_left
chevron_right

Todos los temas de álgebra resumidos (mucho) y con algunos ejercicios.

20 páginas

Ejercicios de probabilidad. No prometo que estén todos bien. Siento lo de las páginas mal ajustadas.

8 páginas

Resumen del tema de probabilidad de Estadística. Siento lo de las páginas mal ajustadas.

2 páginas

Resumen del tema de variables aleatorias de Estadística. Siento lo de las páginas mal ajustadas.

4 páginas

Resumen de complejos de Álgebra. Siento los saltos de página mal ajustados (y la letra).

2 páginas

Ejercicios de alguno de los boletines de complejos (álgebra), aunque no me acuerdo de cuál. Siento los saltos de página mal ajustados (y la letra). Tampoco prometo que estén todos los ejercicios, ni que estén bien hechos.

5 páginas

Resumen del tema de matrices, determinantes y sistemas de Álgebra. Siento los saltos de página mal ajustados (y la letra).

6 páginas

Resumen del tema de espacios vectoriales de Álgebra. Siento los saltos de página mal ajustados (y la letra).

4 páginas

He publicado nuevos apuntes de 1º Matemáticas: Álxebra e estatística: videos-algebra-e-calculo.pdf

4 páginas

examenes

-

exames álxebra

exames e probas evaluables

7-Examen-final-22-enero.pdf
6-Examen-13-diciembre-evaluable.pdf
5-Practica-3-evaluable.pdf
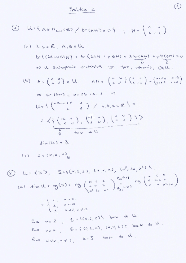
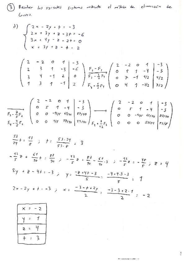
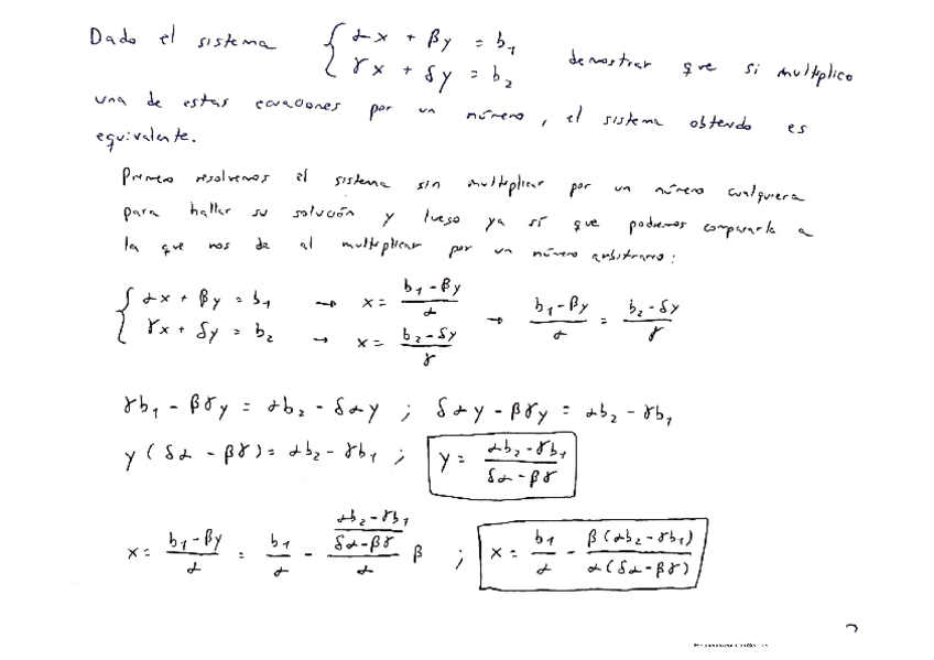
4-Practica-2-Resolucion.pdf
3-Practica-2-no-evaluable.pdf
2-Examen-25-octubre-evaluable.pdf

ejercicios

-

Ejercicios variados resueltos

He publicado nuevos ejercicios de 1º Matemáticas: Álxebra e estatística: Ejercicios variados resueltos

resueltos-6.pdf
resueltos-4.pdf
resueltos-1.pdf
resueltos-10.pdf
resueltos-3.pdf
resueltos-7.pdf
¡Estás al día!

¡Estás al día!

Has visto todos los archivos