Matemáticas Aplicadas a la Biología

chevron_left
chevron_right
Todo
Apuntes
Exámenes
Otros
Prácticas
Test
chevron_left
chevron_right

apuntes

-

Ex_tem1_mates_A_B

He publicado nuevos apuntes de 1º Matemáticas Aplicadas a la Biología: Ex_tem1_mates_A_B

Prueba-1-Tipo-A.pdf
Prueba-1-Tipo-B.pdf

examenes

-

Exámenes 2019 hasta 2025

Exámenes resueltos desde el 2019 hasta el 2025

1o-Parcial-20-21.pdf
1o-Parcial-A-y-B-19-20.pdf
1o-Parcial-A-y-B-22-23.pdf
1o-Parcial-A-y-B-23-24.pdf
1o-Parcial-A-y-B-24-25.pdf
2o-Parcial-20-21.pdf

Apuntes sobre integrales, matriz hessiana, ecuación plano tangente y graficas. Todo muy bien expresado para entenderlo.

16 páginas

apuntes

-

MATEMÁTICAS 2024-2025

He publicado nuevos apuntes de 1º Matemáticas Aplicadas a la Biología: MATEMÁTICAS 2024-2025

resumen-apuntes-tema-2.pdf
Ejercicios-resueltos-y-explicados-tema-2.pdf
Apuntes-tema-3.pdf
Ejercicios-tema-3.pdf
Tema-1-El-espacio-R-20242025.pdf
Anónimo

@Anónimo

apuntes

-

APUNTES MATE TEMARIO COMPLETO

He publicado nuevos apuntes de 1º Matemáticas Aplicadas a la Biología: APUNTES MATE TEMARIO COMPLETO

Prueba-1-T1-El-espacio-vectorial.pdf
Prueba-2-Introduccion-al-calculo-diferencial.pdf
Prueba-3-Tema-2-y-T3-Integrales.pdf

He publicado nuevos examenes de 1º Matemáticas Aplicadas a la Biología: Prueba-1-Tipo-B-2024.pdf

1 página

Prueba 1 (Octubre 2024)

1 página

He publicado nuevos apuntes de 1º Matemáticas Aplicadas a la Biología: Resumen-todos-los-temas.pdf

5 páginas
Anónimo

@Anónimo

apuntes

-

ejercicios resueltos tema 2 prueba 3

incluidas integrales resueltas

ejercicios-resueltos-tema-2-prueba-3-1.pdf
ejercicios-resueltos-tema-3-2.pdf
Anónimo

@Anónimo

apuntes

-

ejercicios y examenes resueltos prueba 2

He publicado nuevos apuntes de 1º Matemáticas Aplicadas a la Biología: ejercicios y examenes resueltos prueba 2

1a-mitad-ejercicios-resueltos-tema-2-1.pdf
2a-mitad-ejercicios-y-examenes-resueltos-tema-2-3.pdf

He publicado nuevos examenes de 1º Matemáticas Aplicadas a la Biología: Prueba-2-Tipo-B 2023.pdf

2 páginas

He publicado nuevos examenes de 1º Matemáticas Aplicadas a la Biología: Prueba-2-Tipo-A 2023.pdf

2 páginas

apuntes

-

Exámenes resueltos 2023-2024

He publicado nuevos apuntes de 1º Matemáticas Aplicadas a la Biología: Exámenes resueltos 2023-2024

Prueba-1-Tipo-A.pdf
Prueba-1-Tipo-B.pdf

He publicado nuevos apuntes de 1º Matemáticas Aplicadas a la Biología: Resumentemariomates.pdf

4 páginas
Anónimo

@Anónimo

examenes

-

Resolución exámenes mate

Algunos no tienen los enunciados copiados, pero todos los exámenes están en wuolah. Algunos explicados y algunos apuntes.

Parte-1.pdf
Parte-2.pdf

Derivadas, f. elementales, razones trigonométricas y signo de las cuadráticas

3 páginas
Anónimo

@Anónimo

examenes

-

Pruebas 2022

He publicado nuevos examenes de 1º Matemáticas Aplicadas a la Biología: Pruebas 2022

Prueba-1-Tipo-A-2022.pdf
Prueba-1-Tipo-B-2022.pdf
Prueba-2-Tipo-A-2022.pdf
Prueba-2-Tipo-B-2022.pdf
Prueba-3-Tipo-A-2022.pdf
Prueba-3-Tipo-B-2022.pdf
Anónimo

@Anónimo

He publicado nuevos otros de 1º Matemáticas Aplicadas a la Biología: Guia-docente.pdf

5 páginas

apuntes

-

prácticas ordenador (maxima)

He publicado nuevos apuntes de 1º Matemáticas Aplicadas a la Biología: prácticas ordenador (maxima)

Ordenador-3.pdf
Ordenador-1-1.pdf
Ordenador-2.pdf

apuntes

-

teoría matemáticas

He publicado nuevos apuntes de 1º Matemáticas Aplicadas a la Biología: teoría matemáticas

Tema-2.pdf
Tema-3.pdf
Tema-1.pdf

apuntes

-

pruebas matemáticas 2021

He publicado nuevos apuntes de 1º Matemáticas Aplicadas a la Biología: pruebas matemáticas 2021

Prueba-2.pdf
Prueba-1.pdf
Prueba-3-Tipo-A.pdf
Prueba-3-Tipo-B.pdf
Anónimo

@Anónimo

He publicado nuevos examenes de 1º Matemáticas Aplicadas a la Biología: Prueba-1.pdf

2 páginas
Anónimo

@Anónimo

apuntes

-

Pruebas 1,2 y 3 curso 2020-2021

He publicado nuevos apuntes de 1º Matemáticas Aplicadas a la Biología: Pruebas 1,2 y 3 curso 2020-2021

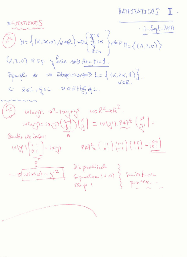
WhatsApp-Image-2021-08-09-at-15.jpg
WhatsApp-Image-2021-08-09-at-15.jpg
WhatsApp-Image-2021-08-09-at-15.jpg

examenes

-

Exámenes Mate corregidos 2020/2021

He publicado nuevos examenes de 1º Matemáticas Aplicadas a la Biología: Exámenes Mate corregidos 2020/2021

Prueba-3.pdf
Prueba-2.pdf
Prueba-1.pdf
Examen-mate.pdf
Anónimo

@Anónimo

apuntes

-

Temas Mate

He publicado nuevos apuntes de 1º Matemáticas Aplicadas a la Biología: Temas Mate

Tema-2.pdf
Tema-1-MATE.pdf
Anónimo

@Anónimo

He publicado nuevos examenes de 1º Matemáticas Aplicadas a la Biología: Prueba-1.pdf

1 página
Anónimo

@Anónimo

examenes

-

Pruebas 2020

He publicado nuevos examenes de 1º Matemáticas Aplicadas a la Biología: Pruebas 2020

Prueba-3.pdf
Prueba-2.pdf
Prueba-1.pdf

examenes

-

Años anteriores

He publicado nuevos examenes de 1º Matemáticas Aplicadas a la Biología: Años anteriores

Prueba3-TipoA-1.pdf
Prueba3-TipoB-1.pdf
Prueba2-4.pdf
Prueba3-TipoB.pdf
Prueba1-TipoA.pdf
Prueba1-TipoB.pdf

examenes

-

Matemáticas 2019-2020

He publicado nuevos examenes de 1º Matemáticas Aplicadas a la Biología: Matemáticas 2019-2020

Prueba3-TipoA.pdf
Prueba1-TipoB.pdf
Prueba2-TipoA.pdf
Prueba3-TipoB.pdf
Prueba2-TipoB.pdf
Prueba1-TipoA.pdf

apuntes

-

Ej resueltos

He publicado nuevos apuntes de 1º Matemáticas Aplicadas a la Biología: Ej resueltos

WhatsApp-Image-2016-11-14-at-19.jpg
WhatsApp-Image-2016-11-14-at-19.jpg
WhatsApp-Image-2016-11-14-at-19.jpg
WhatsApp-Image-2016-11-14-at-19.jpg
WhatsApp-Image-2016-11-14-at-19.jpg

apuntes

-

Examenes

He publicado nuevos apuntes de 1º Matemáticas Aplicadas a la Biología: Examenes

Final-10.pdf
Prueba2-mates-2.pdf
Prueba3.pdf
Prueba2-mates.pdf
Pueba1.pdf
Final-11.pdf
Anónimo

@Anónimo

examenes

-

Exámenes matemáticas

He publicado nuevos examenes de 1º Matemáticas Aplicadas a la Biología: Exámenes matemáticas

Prueba1.pdf
Prueba2.pdf
Prueba3.pdf

test

-

Pruebas

He publicado nuevos test de 1º Matemáticas Aplicadas a la Biología: Pruebas

Prueba_1.pdf
Prueba_3.pdf
Prueba_2.pdf

practicas

-

Prácticas Ordenador

He publicado nuevos practicas de 1º Matemáticas Aplicadas a la Biología: Prácticas Ordenador

Sol._ordenador_1.pdf
Sol._ordenador_2.pdf
Sol._Ordenador_3.pdf

He publicado nuevos practicas de 1º Matemáticas Aplicadas a la Biología: Prueba_2.pdf

3 páginas

examenes

-

Examen matemáticas

He publicado nuevos examenes de 1º Matemáticas Aplicadas a la Biología: Examen matemáticas

Examen mate parte 2.pdf
Examen mate parte 1.pdf

He publicado nuevos practicas de 1º Matemáticas Aplicadas a la Biología: P._de_Algebra.pdf

3 páginas

He publicado nuevos practicas de 1º Matemáticas Aplicadas a la Biología: Prueba_3.pdf

2 páginas
¡Estás al día!

¡Estás al día!

Has visto todos los archivos