Matemáticas Aplicadas a la Biología

Todo
Apuntes
Ejercicios
Exámenes
Otros
Prácticas
publication
chevron_left
chevron_right

He publicado nuevos apuntes de 1º Matemáticas Aplicadas a la Biología: Ecuaciones-diferenciales.pdf

4 páginas

He publicado nuevos apuntes de 1º Matemáticas Aplicadas a la Biología: Metodos-numericos.pdf

5 páginas

Lo justo para aprobar :)

5 páginas

No está todo, porque los ejercicios de esta hoja son muy repetitivos, pero con saber hacer estos llevas bien el tema :)

7 páginas

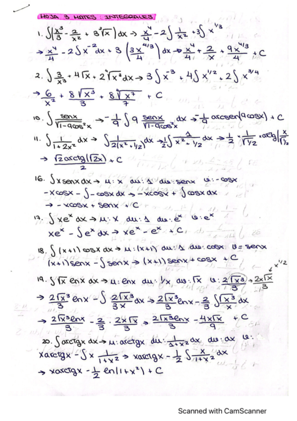
He publicado nuevos ejercicios de 1º Matemáticas Aplicadas a la Biología: Hoja-3.pdf

22 páginas

He publicado nuevos ejercicios de 1º Matemáticas Aplicadas a la Biología: Hoja-2.pdf

41 páginas

He publicado nuevos ejercicios de 1º Matemáticas Aplicadas a la Biología: Hoja-1.pdf

29 páginas

He publicado nuevos ejercicios de 1º Matemáticas Aplicadas a la Biología: Hoja-0.pdf

17 páginas

He publicado nuevos apuntes de 1º Matemáticas Aplicadas a la Biología: ecuaciones-diferenciales.pdf

4 páginas

He publicado nuevos apuntes de 1º Matemáticas Aplicadas a la Biología: Mates-formulas.pdf

3 páginas

apuntes

-

Hoja 1 resuelta

He publicado nuevos apuntes de 1º Matemáticas Aplicadas a la Biología: Hoja 1 resuelta

Hoja-1-resuelta.pdf
Hoja-2-resuelta.pdf
Hoja-3-resuelta.pdf
Hoja-4-resuelta.pdf

He publicado nuevos ejercicios de 1º Matemáticas Aplicadas a la Biología: Hoja-5-mates.pdf

9 páginas

He publicado nuevos ejercicios de 1º Matemáticas Aplicadas a la Biología: Hoja-4-mates.pdf

5 páginas

He publicado nuevos ejercicios de 1º Matemáticas Aplicadas a la Biología: Mates-Hoja-1.pdf

8 páginas

He publicado nuevos ejercicios de 1º Matemáticas Aplicadas a la Biología: Mates-Hoja-2.pdf

16 páginas

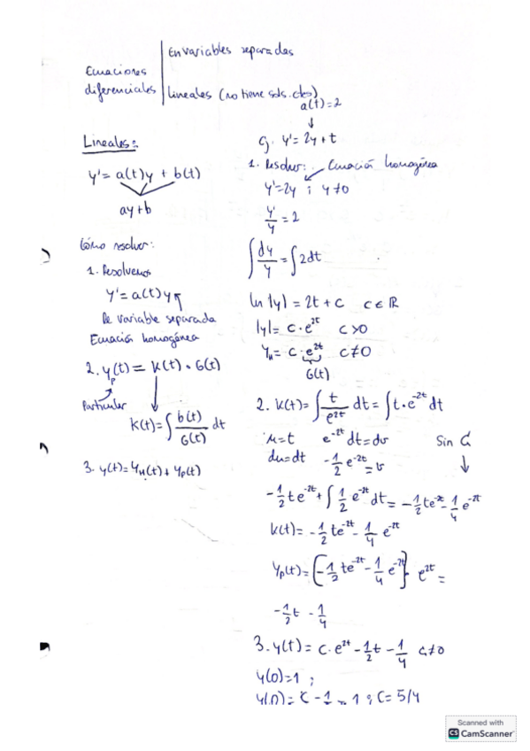
He publicado nuevos apuntes de 1º Matemáticas Aplicadas a la Biología: Tema-5.-Ecuaciones-diferenciales.pdf

12 páginas

He publicado nuevos apuntes de 1º Matemáticas Aplicadas a la Biología: Tema-4.-Metodos-numericos.pdf

6 páginas

He publicado nuevos ejercicios de 1º Matemáticas Aplicadas a la Biología: Ecuaciones-diferenciales.pdf

17 páginas

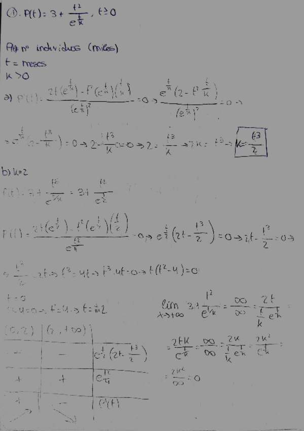
RESUMEN COMPLETO PARCIAL 2 MATEMATICA

14 páginas

He publicado nuevos apuntes de 1º Matemáticas Aplicadas a la Biología: TEMA-4-METODOS-NUMERICOS.pdf

5 páginas

He publicado nuevos apuntes de 1º Matemáticas Aplicadas a la Biología: Tema-4-Metodos-numericos.pdf

4 páginas

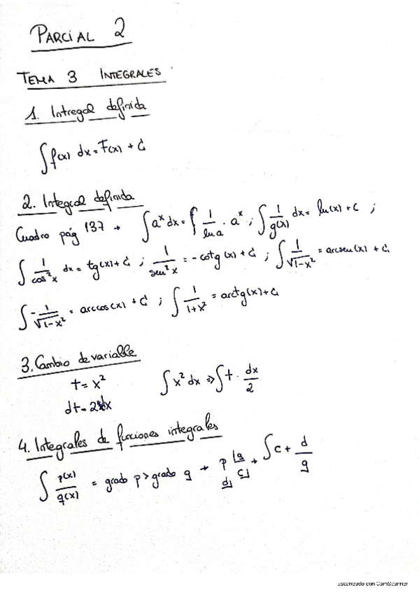
He publicado nuevos apuntes de 1º Matemáticas Aplicadas a la Biología: T3-Integracion.pdf

2 páginas

RESUMEN PARCIAL 2

6 páginas

He publicado nuevos apuntes de 1º Matemáticas Aplicadas a la Biología: Modelos-unidimensional-y-leslie.pdf

1 página

He publicado nuevos apuntes de 1º Matemáticas Aplicadas a la Biología: MATRICES.pdf

1 página

He publicado nuevos apuntes de 1º Matemáticas Aplicadas a la Biología: FUNCIONES.pdf

2 páginas

He publicado nuevos apuntes de 1º Matemáticas Aplicadas a la Biología: Tema-3-M-A-B.pdf

2 páginas

He publicado nuevos apuntes de 1º Matemáticas Aplicadas a la Biología: Tema-4-MAB.pdf

2 páginas

He publicado nuevos apuntes de 1º Matemáticas Aplicadas a la Biología: TEMA-2-MAB.pdf

4 páginas

He publicado nuevos apuntes de 1º Matemáticas Aplicadas a la Biología: Tema-1-MAB.pdf

6 páginas

He publicado nuevos ejercicios de 1º Matemáticas Aplicadas a la Biología: Hoja1-1-resuelta.pdf

14 páginas

He publicado nuevos ejercicios de 1º Matemáticas Aplicadas a la Biología: Hoja0-resuelta.pdf

11 páginas

He publicado nuevos apuntes de 1º Matemáticas Aplicadas a la Biología: Resumen-segundo-parcial-matematicas.pdf

2 páginas

He publicado nuevos apuntes de 1º Matemáticas Aplicadas a la Biología: Tema-1-y-2-Herramientas-Matematicas-y-Modelos-Discretos.pdf

32 páginas

He publicado nuevos apuntes de 1º Matemáticas Aplicadas a la Biología: Tema-5-Ecuaciones-Diferenciales.pdf

20 páginas

He publicado nuevos apuntes de 1º Matemáticas Aplicadas a la Biología: Tema-4-Metodos-Numericos.pdf

12 páginas

He publicado nuevos apuntes de 1º Matemáticas Aplicadas a la Biología: Tema-3-Integracion.pdf

9 páginas

He publicado nuevos apuntes de 1º Matemáticas Aplicadas a la Biología: Hojas-1-y-2-resueltas.pdf

20 páginas
Anónimo

@Anónimo

He publicado nuevos examenes de 1º Matemáticas Aplicadas a la Biología: 1er-Parcial-2023-24.pdf

1 página

He publicado nuevos examenes de 1º Matemáticas Aplicadas a la Biología: RESUELTO-1-CONV.-2-PARCIAL-2023.pdf

4 páginas

He publicado nuevos examenes de 1º Matemáticas Aplicadas a la Biología: RESUELTO-2-PARCIAL-22.23.pdf

6 páginas

He publicado nuevos apuntes de 1º Matemáticas Aplicadas a la Biología: Hoja-4.pdf

8 páginas

He publicado nuevos examenes de 1º Matemáticas Aplicadas a la Biología: RESUELTO-2-PARCIAL-201819.pdf

4 páginas

He publicado nuevos apuntes de 1º Matemáticas Aplicadas a la Biología: T5-ECUACIONES-DIFERENCIALES.pdf

16 páginas

apuntes

-

2 PARCIAL

Aquí están todos los apuntes de los temas que entran en el 2 parcial con sus actividades correspondientes resueltas

T4-METODOS-NUMERICOS.pdf
T5-ECUACIONES-DIFERENCIALES.pdf
T3-INTEGRACION.pdf
HOJAS-3-4-y-5-resueltas.pdf

He publicado nuevos apuntes de 1º Matemáticas Aplicadas a la Biología: T4-METODOS-NUMERICOS.pdf

18 páginas

Estos apuntes son de el año pasado, pero creo que van a ayudar a entender mejor los apuntes de la universidadd

5 páginas

He publicado nuevos apuntes de 1º Matemáticas Aplicadas a la Biología: integrales.pdf

4 páginas

He publicado nuevos apuntes de 1º Matemáticas Aplicadas a la Biología: T3-INTEGRACIÓN.pdf

7 páginas

He publicado nuevos ejercicios de 1º Matemáticas Aplicadas a la Biología: Bolzano.-Tema-4.pdf

2 páginas

ejercicios

-

Primer Parcial 2019

He publicado nuevos ejercicios de 1º Matemáticas Aplicadas a la Biología: Primer Parcial 2019

1P-2019-Resuelto.pdf
1P-2019.pdf

He publicado nuevos ejercicios de 1º Matemáticas Aplicadas a la Biología: Ejercicios-hoja-1-paso-a-paso.pdf

10 páginas

He publicado nuevos ejercicios de 1º Matemáticas Aplicadas a la Biología: Hoja-2-resuelta-paso-a-paso.pdf

21 páginas

He publicado nuevos apuntes de 1º Matemáticas Aplicadas a la Biología: MATES T2 TEORÍA BREVE PERO COMPLETA.pdf

5 páginas

He publicado nuevos apuntes de 1º Matemáticas Aplicadas a la Biología: ESQUEMAS-TEMA-2.pdf

20 páginas

Estos son apuntes de bachillerato, vienen ejemplos para que se entienda mejor.

6 páginas

Estos apuntes son de bachillerato, he añadido ejemplos para comprenderlo mejor

6 páginas

Estos apuntes son de bachillerato, vienen incluidos ejemplos.

31 páginas

He publicado nuevos apuntes de 1º Matemáticas Aplicadas a la Biología: ACT MATES: HOJA 2.pdf

8 páginas

Estos apuntes contienen lo NUEVO de el tema 1 que no hemos visto anteriormente en bachillerato.

11 páginas