Matemáticas Aplicadas a las Ciencias Sociales I

chevron_left
chevron_right
Todo
Apuntes
chevron_left
chevron_right

apuntes

-

Matemáticas Aplicadas (1ºBACH)

He publicado nuevos apuntes de 1º Matemáticas Aplicadas a las Ciencias Sociales I: Matemáticas Aplicadas (1ºBACH)

sol-derivadas.pdf
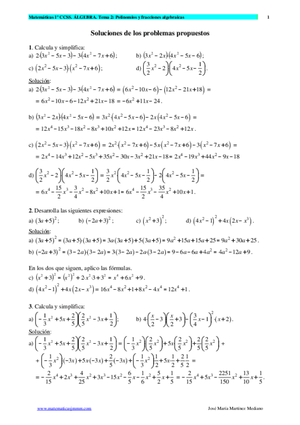
3.ejerciciosresueltos.-algebra.pdf
MCSIT05PRALGInecuaciones.pdf
MCSIT03PRALGEcuaciones.pdf
MCSIT02PRALGPolinomios.pdf
Limites-variados-definitivo.pdf
¡Estás al día!

¡Estás al día!

Has visto todos los archivos