Matemáticas aplicadas a las Ciencias Sociales II

Todo
Apuntes
Preguntas
Ejercicios
Exámenes
Otros
Prácticas
publication
Test
Trabajos
chevron_left
chevron_right

Ejercicio de Probabilidad con Tabla de Contingencia

Imagen

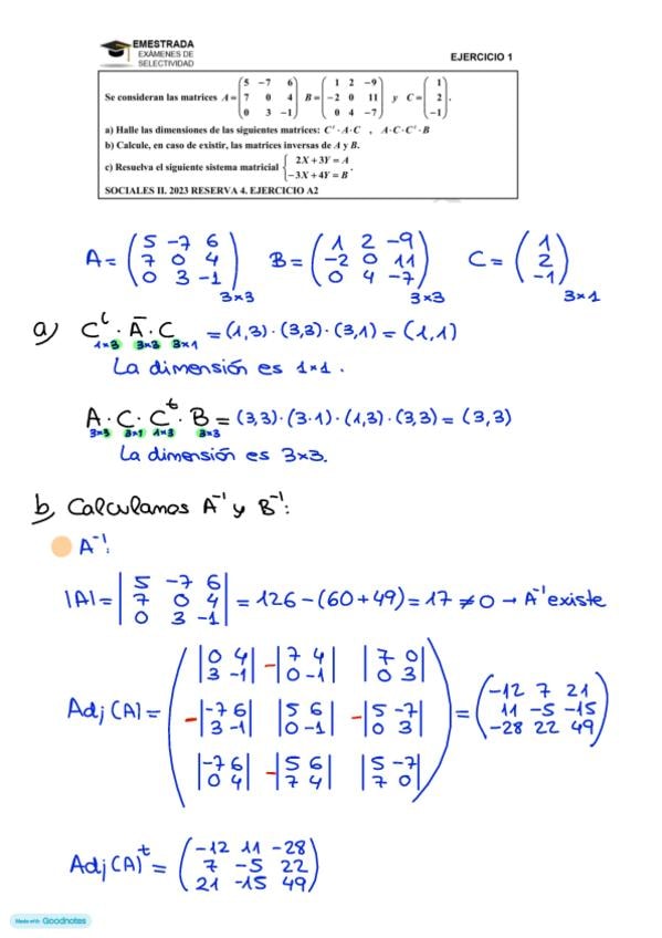
Examen completo de matemáticas aplicadas a las ciencias sociales de la PAU de la Comunidad Valenciana, convocatoria julio 2025, extra-dana. Totalmente resuelto y explicado con todo detalle.

37 páginas

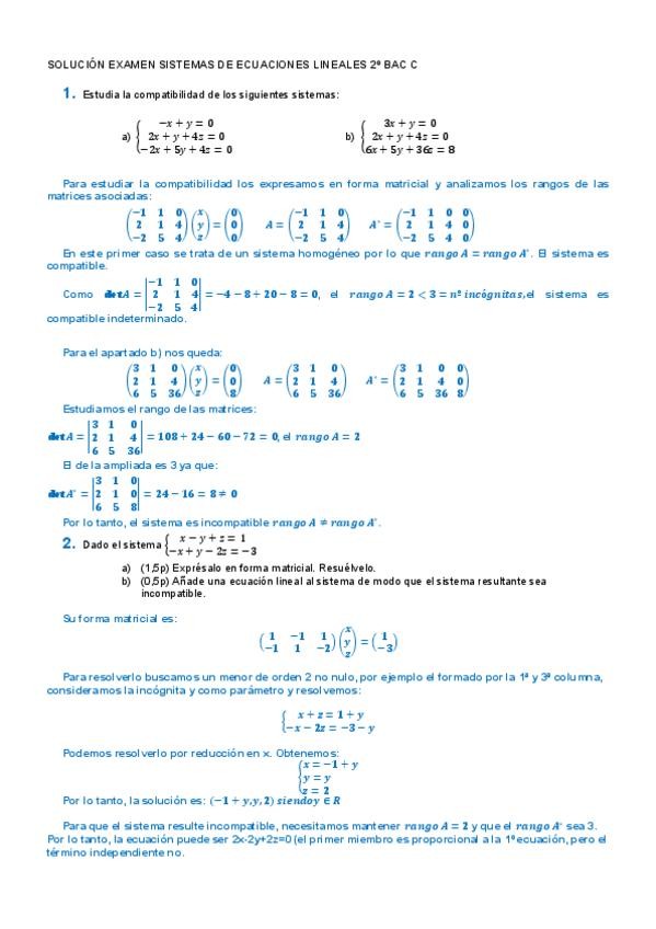
Examen de matemáticas aplicadas a las ciencias sociales de la PAU de la Comunidad Valenciana de Julio de 2025, examen de reserva. Totalmente resuelto y explicado con el máximo detalle.

34 páginas

Examen de matemáticas aplicadas a las ciencias sociales de la PAU de la Comunidad Valenciana de Julio de 2025 resuelto y explicado con todo detalle.

41 páginas

Examen completo de la PAU de la Comunidad Valenciana de la convocatoria de reserva de Junio de 2025. Resuelto y explicado con todo detalle.

32 páginas

TODOS los examenes de matematicas de la pau de cyl desde 2017 hasta 2024 resueltos

249 páginas
Anónimo

@Anónimo

He publicado nuevos apuntes de 2º Matemáticas aplicadas a las Ciencias Sociales II

Miniatura no disponible
02MatApli2BacSol.pdf

Examen resuelto y explicado de la PAU de la Comunidad Valenciana. Problema 1A, convocatoria de junio de 2025. El ejercicio es de programación lineal.

36 páginas
Anónimo

@Anónimo

He publicado nuevos apuntes de 2º Matemáticas aplicadas a las Ciencias Sociales II: 04MatApli2BacSol.pdf

44 páginas
Anónimo

@Anónimo

apuntes

-

MatApli2Bach_Solucionario

Editorial Bruño

02MatApli2BacSol.pdf
03MatApli2BacSol.pdf
12MatApli2BacSol.pdf
11MatApli2BacSol.pdf
Solucionesderivadas.pdf
0007pdfsolucionariomatapli1b2022.pdf
Anónimo

@Anónimo

He publicado nuevos apuntes de 2º Matemáticas aplicadas a las Ciencias Sociales II: Apuntes-de-Probabilidad.pdf

6 páginas

Apuntes determinantes para la PAU

3 páginas

apuntes

-

Apuntes Matemáticas CCSS

Apuntes Matemáticas CCSS con ejemplos.

Matrices.pdf
Matrices.pdf
Matrices.pdf
Determinantes.pdf
Determinantes.pdf
Determinantes.pdf
Anónimo

@Anónimo

He publicado nuevos examenes de 2º Matemáticas aplicadas a las Ciencias Sociales II: 2oBachCCSSIESVM2021-22Espana2.-AnalisisEjerciciosEBAU-1.pdf

128 páginas
Anónimo

@Anónimo

He publicado nuevos examenes de 2º Matemáticas aplicadas a las Ciencias Sociales II: 2-Analisis-PAU-2004-2015-Soluciones.pdf

48 páginas
Anónimo

@Anónimo

He publicado nuevos examenes de 2º Matemáticas aplicadas a las Ciencias Sociales II: 2-Analisis-PAU-2004-2015-.pdf

9 páginas

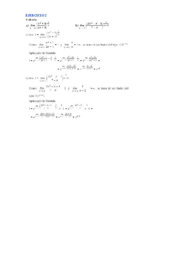
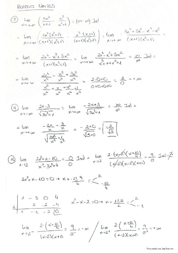
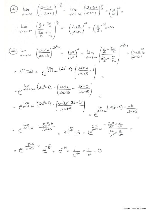
He publicado nuevos apuntes de 2º Matemáticas aplicadas a las Ciencias Sociales II: APUNTES-LIMITES-Y-CONTINUIDAD.pdf

13 páginas

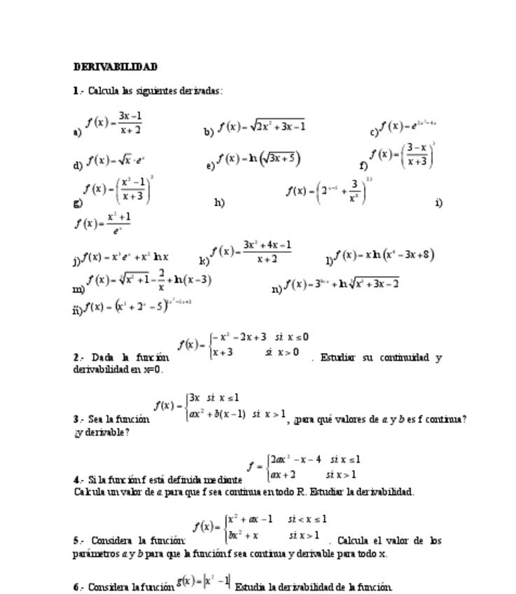
He publicado nuevos apuntes de 2º Matemáticas aplicadas a las Ciencias Sociales II: APUNTES-DE-DERIVADAS.pdf

8 páginas

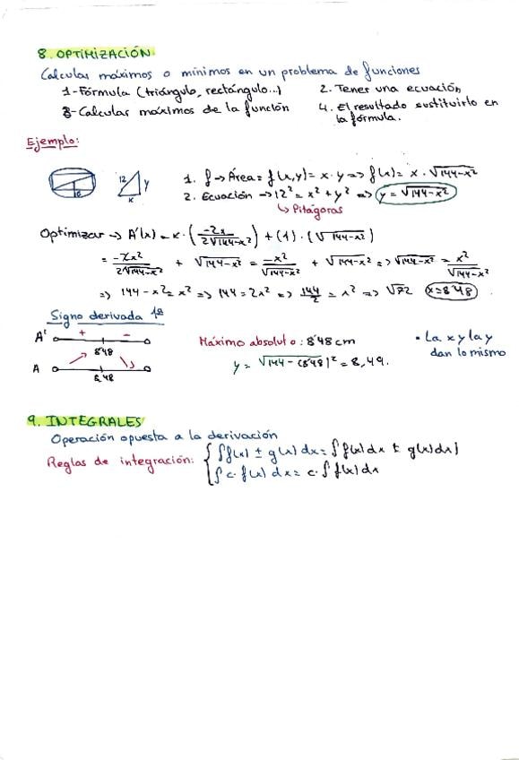
He publicado nuevos apuntes de 2º Matemáticas aplicadas a las Ciencias Sociales II: APUNTES-DE-INTEGRALES.pdf

4 páginas
Anónimo

@Anónimo

He publicado nuevos apuntes de 2º Matemáticas aplicadas a las Ciencias Sociales II: Examen13a.pdf

2 páginas
Anónimo

@Anónimo

He publicado nuevos apuntes de 2º Matemáticas aplicadas a las Ciencias Sociales II: Examen13a-2obachCCSS.pdf

1 página
Anónimo

@Anónimo

He publicado nuevos examenes de 2º Matemáticas aplicadas a las Ciencias Sociales II: Examen32obachcs.pdf

1 página
Anónimo

@Anónimo

He publicado nuevos examenes de 2º Matemáticas aplicadas a las Ciencias Sociales II: recuperacion2a.pdf

2 páginas
Anónimo

@Anónimo

He publicado nuevos examenes de 2º Matemáticas aplicadas a las Ciencias Sociales II: Examen-recu-3eva.png

Imagen
Anónimo

@Anónimo

He publicado nuevos examenes de 2º Matemáticas aplicadas a las Ciencias Sociales II: SOLUCIONES-EXAMEN2-3a-EVALUACION.pdf

2 páginas

TEMA 7 MATES 2º BACH REPRESENTACIÓN DE FUNCIONES

6 páginas

He publicado nuevos apuntes de 2º Matemáticas aplicadas a las Ciencias Sociales II: Tema-5-Probabilidad-apuntes-pau.pdf

5 páginas

He publicado nuevos apuntes de 2º Matemáticas aplicadas a las Ciencias Sociales II: Probabilidad.pdf

1 página

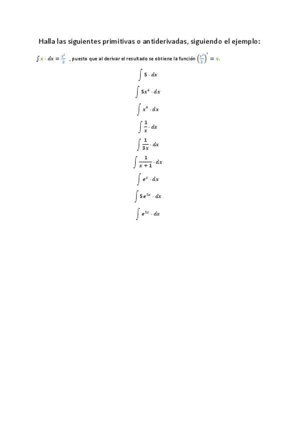
He publicado nuevos apuntes de 2º Matemáticas aplicadas a las Ciencias Sociales II: Integrales-apuntes-y-ejercicios.pdf

6 páginas
Anónimo

@Anónimo

Ejemplo sobre como aplicar el teorema de rouche frobenius para clasificar un sistema.

1 página

He publicado nuevos apuntes de Matemáticas aplicadas a las Ciencias Sociales II: Arbol-teorema-2-bachillerato.pdf

2 páginas

He publicado nuevos apuntes de Matemáticas aplicadas a las Ciencias Sociales II: Asintotas-2-bachillerato.pdf

10 páginas

He publicado nuevos apuntes de Matemáticas aplicadas a las Ciencias Sociales II: Curvatura-2-bachillerato.pdf

7 páginas

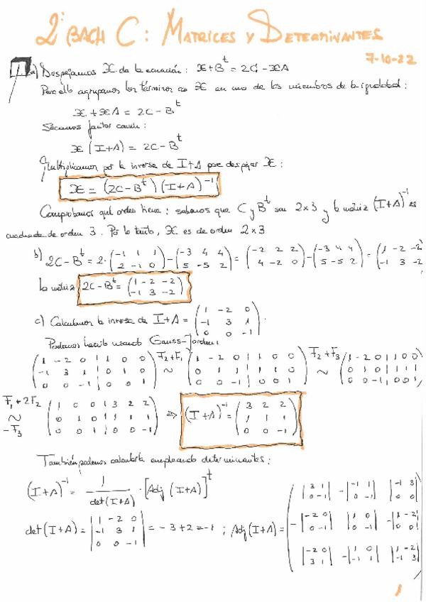
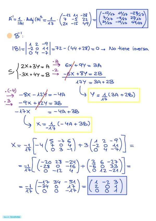
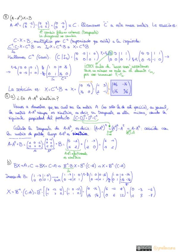
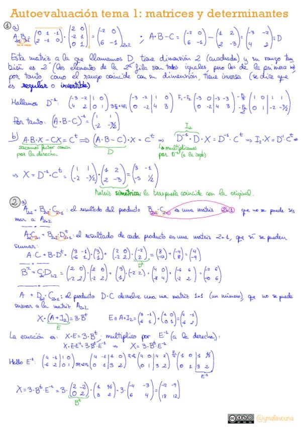
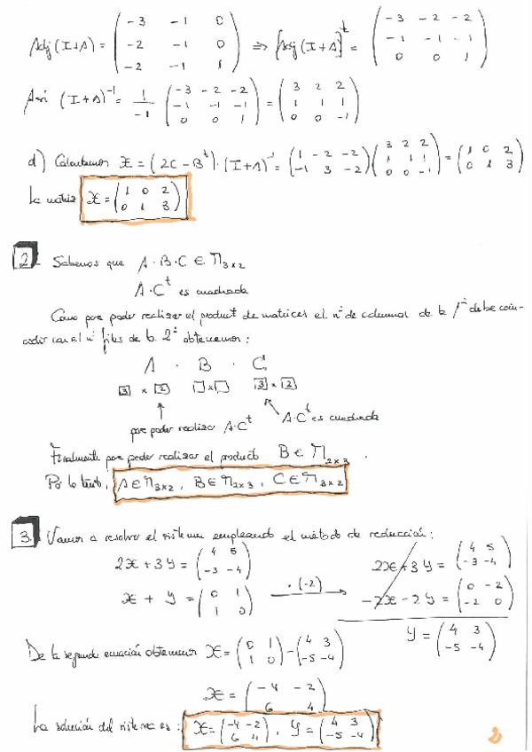
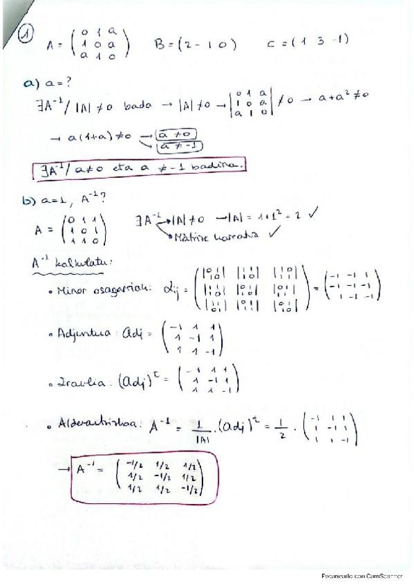
He publicado nuevos apuntes de Matemáticas aplicadas a las Ciencias Sociales II: Determinantes-matrices-todo-2-bachillerato.pdf

14 páginas

He publicado nuevos apuntes de Matemáticas aplicadas a las Ciencias Sociales II: Dominio-2-bachillerato.pdf

4 páginas

He publicado nuevos apuntes de Matemáticas aplicadas a las Ciencias Sociales II: Ecuaciones-matriciales-2-bachillerato.pdf

5 páginas

He publicado nuevos apuntes de Matemáticas aplicadas a las Ciencias Sociales II: Estadistica-2-bachillerato.pdf

5 páginas

He publicado nuevos apuntes de Matemáticas aplicadas a las Ciencias Sociales II: mates-matrices-2-bachillerato.pdf

4 páginas

He publicado nuevos apuntes de Matemáticas aplicadas a las Ciencias Sociales II: Matrix-inversa-2-bachillerato.pdf

4 páginas

He publicado nuevos apuntes de Matemáticas aplicadas a las Ciencias Sociales II: Matriz-identidad-2-bachillerato.pdf

2 páginas

He publicado nuevos apuntes de Matemáticas aplicadas a las Ciencias Sociales II: Operaciones-con-determinantes-2-bachillerato.pdf

4 páginas

He publicado nuevos apuntes de Matemáticas aplicadas a las Ciencias Sociales II: Operaciones-con-matrices-2-bachillerato.pdf

5 páginas

He publicado nuevos apuntes de Matemáticas aplicadas a las Ciencias Sociales II: Probabilidad-2-bachillerato.pdf

4 páginas

He publicado nuevos apuntes de Matemáticas aplicadas a las Ciencias Sociales II: Problemas-con-matrices-2-bachillerato.pdf

2 páginas

He publicado nuevos apuntes de Matemáticas aplicadas a las Ciencias Sociales II: Programacion-lineal-apuntes-2-bachillerato.pdf

13 páginas

Como se calcula un área usando integrales y ejercicios resueltos.

2 páginas

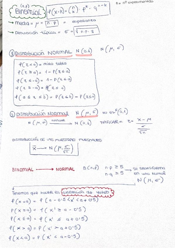
Apuntes muy claros y completos de estadística para matemáticas de 2 de bachillerato de ciencias sociales. También tengo publicados de probabilidad!

2 páginas

Esquema completo de Programación Lineal (Matemáticas Aplicadas a las CCSS II – EBAU/PAU) Resumen claro y estructurado sobre programación lineal: planteamiento del problema, función objetivo, restricciones, representación gráfica del sistema de inecuacione

Imagen

Esquema completo de Programación Lineal (Matemáticas Aplicadas a las CCSS II – EBAU/PAU) Resumen claro y estructurado sobre programación lineal: planteamiento del problema, función objetivo, restricciones, representación gráfica del sistema de inecuacione

Imagen

Esquema completo de Programación Lineal (Matemáticas Aplicadas a las CCSS II – EBAU/PAU) Resumen claro y estructurado sobre programación lineal: planteamiento del problema, función objetivo, restricciones, representación gráfica del sistema de inecuacione

Imagen

Esquema completo de Programación Lineal (Matemáticas Aplicadas a las CCSS II – EBAU/PAU) Resumen claro y estructurado sobre programación lineal: planteamiento del problema, función objetivo, restricciones, representación gráfica del sistema de inecuacione

Imagen

Esquema completo de Programación Lineal (Matemáticas Aplicadas a las CCSS II – EBAU/PAU) Resumen claro y estructurado sobre programación lineal: planteamiento del problema, función objetivo, restricciones, representación gráfica del sistema de inecuacione

Imagen

Esquema completo de Programación Lineal (Matemáticas Aplicadas a las CCSS II – EBAU/PAU) Resumen claro y estructurado sobre programación lineal: planteamiento del problema, función objetivo, restricciones, representación gráfica del sistema de inecuacione

Imagen

Esquema completo de Programación Lineal (Matemáticas Aplicadas a las CCSS II – EBAU/PAU) Resumen claro y estructurado sobre programación lineal: planteamiento del problema, función objetivo, restricciones, representación gráfica del sistema de inecuacione

Imagen

Esquema completo de Programación Lineal (Matemáticas Aplicadas a las CCSS II – EBAU/PAU) Resumen claro y estructurado sobre programación lineal: planteamiento del problema, función objetivo, restricciones, representación gráfica del sistema de inecuacione

Imagen

Esquema completo de Programación Lineal (Matemáticas Aplicadas a las CCSS II – EBAU/PAU) Resumen claro y estructurado sobre programación lineal: planteamiento del problema, función objetivo, restricciones, representación gráfica del sistema de inecuacione

Imagen

Esquema completo de Programación Lineal (Matemáticas Aplicadas a las CCSS II – EBAU/PAU) Resumen claro y estructurado sobre programación lineal: planteamiento del problema, función objetivo, restricciones, representación gráfica del sistema de inecuacione

Imagen

Esquema completo de Programación Lineal (Matemáticas Aplicadas a las CCSS II – EBAU/PAU) Resumen claro y estructurado sobre programación lineal: planteamiento del problema, función objetivo, restricciones, representación gráfica del sistema de inecuacione

Imagen

Esquema completo de Programación Lineal (Matemáticas Aplicadas a las CCSS II – EBAU/PAU) Resumen claro y estructurado sobre programación lineal: planteamiento del problema, función objetivo, restricciones, representación gráfica del sistema de inecuacione

Imagen