user_5325396

integrales-resueltas-04.pdf

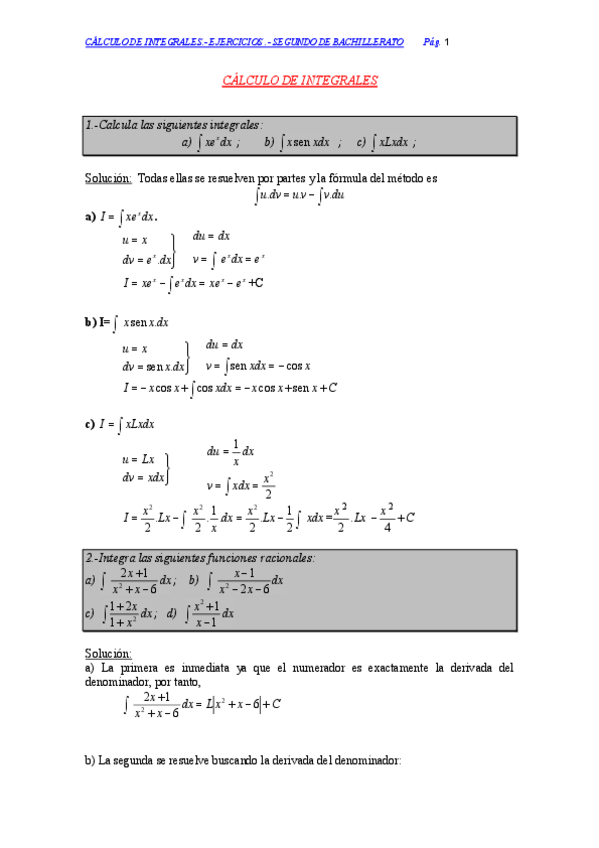
Miniatura del documento integrales-resueltas-04.pdf

Portada

Miniatura del documento integrales-resueltas-04.pdf

Fecha de subida

27 nov 2025

Categoría

ejercicios

Etiquetas

category

ejercicios

content_copy

Archivos recomendados