Matemáticas aplicadas a las Ciencias Sociales II

chevron_left
chevron_right
Todo
Apuntes
Preguntas
Ejercicios
Exámenes
Otros
Prácticas
publication
Test
Trabajos
chevron_left
chevron_right

Resumen de las derivadas de bachillerato

4 páginas

apuntes

-

MATES CCSS PROBABILIDAD PAU

Todo lo que necesitas para sacar buena nota en el bloque de probabilidad en la PAU

Probabilidad.doc
inferencia-teoria.pdf
intervalos-confianza.pdf
Miniatura no disponible
Soluciones-probabilidad.pdf
probabilidad.pdf

He publicado nuevos apuntes de 2º Matemáticas aplicadas a las Ciencias Sociales II: Resumen-Asintotas--ejemplo-MATE.pdf

4 páginas

He publicado nuevos apuntes de 2º Matemáticas aplicadas a las Ciencias Sociales II: Resumen-derivadas--ejemplos-MATE.pdf

2 páginas

He publicado nuevos apuntes de 2º Matemáticas aplicadas a las Ciencias Sociales II: Resumen-crecimiento-y-decrecimiento--ejemplo-MATE.pdf

2 páginas

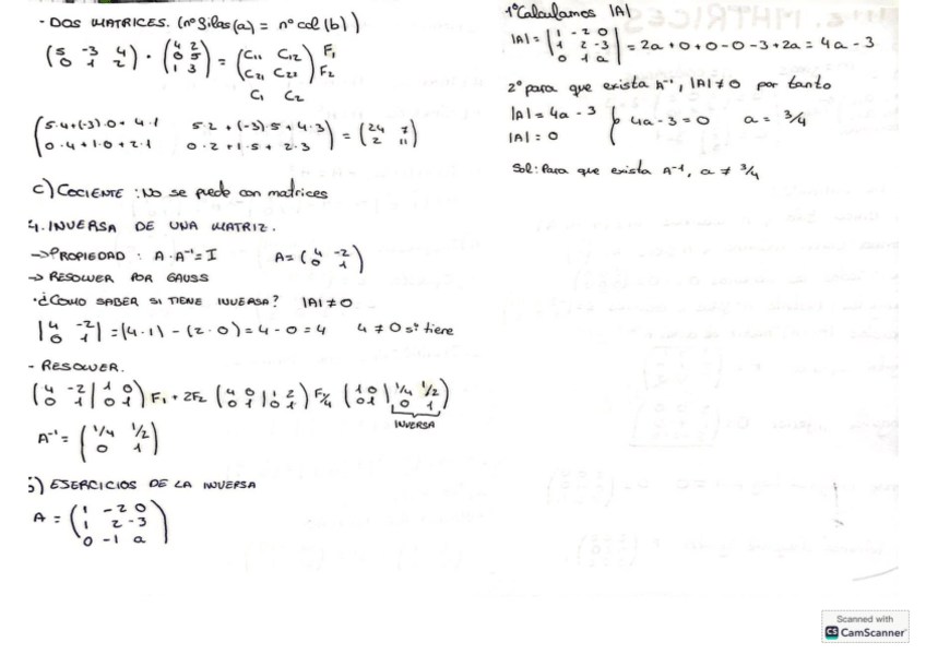
He publicado nuevos apuntes de 2º Matemáticas aplicadas a las Ciencias Sociales II: Resumen-determinantes--ejemplos-MATE.pdf

2 páginas

He publicado nuevos apuntes de 2º Matemáticas aplicadas a las Ciencias Sociales II: Resumen-Matrices-y-ejercicios-MATE.pdf

9 páginas

apuntes

-

Cuadernillo PAU MACSS II

Cuadernillo con esquemas sobre: Apartado 1: - Matrices - Sistemas de ecuaciones - Programación lineal Apartado 2: Sentido funcional Funciones - Derivadas - Integrales - Optimización Apartado 3: Sentido estocástico - Probabilidad - Distribuciónes Para p

A1Sentido-numerico-y-algebraicMATRICES.pdf
A1Sentido-numerico-y-algebraicSISTEMAS-DE-ECUACIONES.pdf
A1Sentido-numerico-y-algebraicPROGRAMACION-LINEAL.pdf
A2Sentido-funcionalFUNCIONES.pdf
A2Sentido-funcionalDERIVADAS-E-INTEGRALES.pdf
A2Sentido-funcionalOPTIMIZACION.pdf

Apuntes y algunos ejercicios de ejemplo del tema de estadística.

22 páginas

Resumen rápido y fácil de la distribución binomial + ejemplo PAU

Imagen

Apunts dels temes de matrius, determinants i sistemes d'equacions de les matemàtiques aplicades a les ciències socials

6 páginas

Apunts del tema de funcions de les matemàtiques aplicades a les ciències socials. Inclou límits, estudi de les funcions i optimització

11 páginas

Apunts de les distribucions (normal i binomial) i d'inferència estadística i estimació de les matemàtiques aplicades a les ciències socials

6 páginas

Apunts de probabilitat de les matemàtiques aplicades a les ciències socials

3 páginas

Apuntes de sistemas de ecuaciones lineales y ejercicios para practicar

28 páginas

Modelo pau/ebau global resuelto de Matemáticas Aplicadas CCSS II para 2º de Bachillerato, centrado en Modelo PAU global. Incluye enunciados claros, soluciones paso a paso, criterios de corrección y formato sobrio de examen para practicar de forma realista

5 páginas

Modelo pau/ebau global resuelto de Matemáticas Aplicadas CCSS II para 2º de Bachillerato, centrado en Modelo PAU global. Incluye enunciados claros, soluciones paso a paso, criterios de corrección y formato sobrio de examen para practicar de forma realista

11 páginas

Modelo pau/ebau global resuelto de Matemáticas Aplicadas CCSS II para 2º de Bachillerato, centrado en Modelo PAU global. Incluye enunciados claros, soluciones paso a paso, criterios de corrección y formato sobrio de examen para practicar de forma realista

6 páginas

Modelo pau/ebau global resuelto de Matemáticas Aplicadas CCSS II para 2º de Bachillerato, centrado en Modelo PAU global. Incluye enunciados claros, soluciones paso a paso, criterios de corrección y formato sobrio de examen para practicar de forma realista

7 páginas

Modelo pau/ebau global resuelto de Matemáticas Aplicadas CCSS II para 2º de Bachillerato, centrado en Modelo PAU global. Incluye enunciados claros, soluciones paso a paso, criterios de corrección y formato sobrio de examen para practicar de forma realista

9 páginas

apuntes

-

Matemáticas CCSS

Aquí encontraras apuntes de matemáticas de sociales con ejercicios para poder practicar

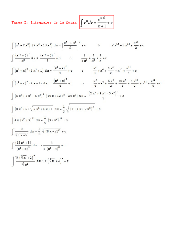
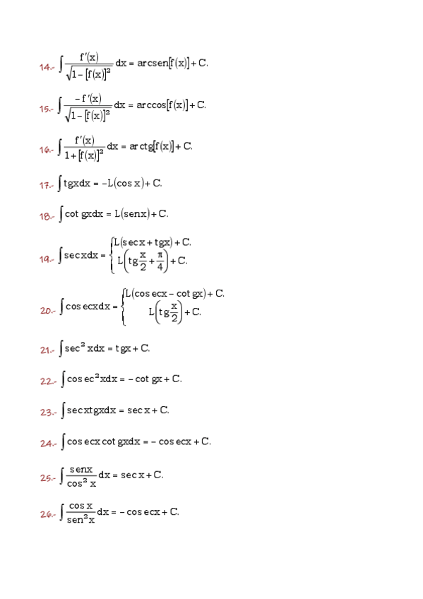
TEMA-7-INTEGRALES.pdf
Tema-8-probabilidad.pdf
Funciones.pdf
Sistema-de-ecuaciones.pdf
Programacion-Lineal.pdf
Formulario-de-probabilidad.pdf

Problemas de estadística y ejercicios tipo

1 página

He publicado nuevos apuntes de 2º Matemáticas aplicadas a las Ciencias Sociales II: Probabilidad-y-Estadistica.pdf

2 páginas
Anónimo

@Anónimo

Ejercicios de matrices de 2 de bachiller

2 páginas

Apuntes y ejercicios resueltos y para practicar de matrices

25 páginas

Apuntes de continuidad con ejemplos, explicación, ejercicios para hacer y ejercicios resueltos para sacar un 10 en mate

13 páginas

Apuntes de límites con ejemplos, ejercicios para hacer y ejercicios resueltos para sacar un 10 en mate

18 páginas

Apuntes de derivadas con ejercicios para hacer y ejercicios resueltos para entenderlo muy bien

20 páginas

Apuntes de aplicaciones a las derivadas y gráficas con ejemplos, ejercicios para hacer y ejercicios resueltos

44 páginas

Apuntes de determinantes con ejemplos y ejercicios para sacar muy buena nota y practicar

30 páginas

Apuntes de Estadística, intervalos de confianza

26 páginas

Matemáticas Aplicadas a las Ciencias Sociales II 2º Bachillerato: Probabilidad total, Bayes y tablas con Resumen + problemas resueltos

8 páginas

Apuntes originales y visuales de Programación lineal paso a paso para Matemáticas Aplicadas a las Ciencias Sociales II de 2º Bachillerato. Incluyen teoría clara, esquemas, ejemplos, ejercicios tipo examen, soluciones explicadas y enfoque Práctica PAU.

8 páginas

Apuntes originales y visuales de Funciones y derivadas aplicadas a economía para Matemáticas Aplicadas a las Ciencias Sociales II de 2º Bachillerato. Incluyen teoría clara, esquemas, ejemplos, ejercicios tipo examen, soluciones explicadas y enfoque Prácti

8 páginas

He publicado nuevos apuntes de 2º Matemáticas aplicadas a las Ciencias Sociales II: Analisis-2o-Bach.pdf

9 páginas

apuntes

-

Matemáticas CSII

He publicado nuevos apuntes de 2º Matemáticas aplicadas a las Ciencias Sociales II: Matemáticas CSII

Estadistica.jpeg
Probabilidad.jpeg
Integrales.pdf

Apuntes de Matemáticas de probabilidad y distribución de 2º Bachillerato, todas las formulas y conceptos básicos

1 página

ejercicios de probabilidad de Mat CCSS2 resueltos

7 páginas

He publicado nuevos apuntes de 2º Matemáticas aplicadas a las Ciencias Sociales II: image.jpg

Imagen

apuntes

-

MATEMATICA (MATRICES/MATRIZEAK)

He publicado nuevos apuntes de 2º Matemáticas aplicadas a las Ciencias Sociales II: MATEMATICA (MATRICES/MATRIZEAK)

IMG1028.jpeg
IMG1026.jpeg
IMG1025.jpeg
IMG1024.jpeg

¿Problemas con Funciones? ¿Problemas con las asíntotas o los parámetros de continuidad? Este resumen está diseñado específicamente para el bloque de Análisis de 2º de Bachillerato CCSS. Incluye: cálculo rápido de dominios, resolución de indeterminacione

6 páginas

El resumen definitivo para dominar el cálculo diferencial. Contiene: tabla de derivadas con regla de la cadena integrada y estudio completo de monotonía (máximos/mínimos). Incluye una sección especial de Optimización de Beneficios y Costes, con un ejemp

5 páginas

He publicado nuevos ejercicios de 2º Matemáticas aplicadas a las Ciencias Sociales II: Ejercicios-y-problemas-de-inecuaciones..pdf

2 páginas

Ejercicios de Problemas de Gauss

2 páginas
Anónimo

@Anónimo

Apuntes de integrales definidas

20 páginas
Anónimo

@Anónimo

Apuntes de integrales Indefinidas de segundo de bachillerato

28 páginas

He publicado nuevos apuntes de 2º Matemáticas aplicadas a las Ciencias Sociales II: Muestreoestadistico.pdf

3 páginas

Ejercicios matemáticas binomial

6 páginas
Anónimo

@Anónimo

Apuntes de Teoría de Muestras, de estadística 2 de bachiller

21 páginas

He publicado nuevos apuntes de 2º Matemáticas aplicadas a las Ciencias Sociales II: Limites-y-continuidad-MATE.pdf

3 páginas

Ejemplo de exámen ANÁLISIS T. 5,6,7 2°Bachillerato

Imagen

Ejemplo de Exámen Temas 5 y 6 ANÁLISIS

Imagen

apuntes

-

BLOQUE IV: ESTADÍSTICA

He publicado nuevos apuntes de 2º Matemáticas aplicadas a las Ciencias Sociales II: BLOQUE IV: ESTADÍSTICA

Inferencia-Estadistica.pdf

examenes

-

EXÁMENES 2ºBACH MATES CCSS II CURSO 2025-2026

He publicado nuevos examenes de 2º Matemáticas aplicadas a las Ciencias Sociales II: EXÁMENES 2ºBACH MATES CCSS II CURSO 2025-2026

1oPARCIAL-MATRICES.pdf
Global-1evaluacion-Mates-CCSS-2Bach.pdf
examen--soluciones-recuperacion-1o-evaluacion-mates-ccss-algebra.pdf
soluciones-parcial-algebra-mates-ccss.pdf
parcial-analisis--soluciones.pdf
Global-matematicas-aplicadas-a-las-CCSS-2Evaluacion.pdf

¿Saturado con las Mates de Sociales? Ve directo a lo que cae. Este compendio estratégico incluye TODOS los exámenes oficiales de 2024. ¿Qué lo hace único? ✅ ANÁLISIS TÉCNICO: Etiquetas de dificultad por ejercicio. ✅ IDEAS CLAVE: Protocolos de resolución

7 páginas

¿Saturado con las Mates de Sociales? Ve directo a lo que cae. Este compendio estratégico incluye TODOS los exámenes oficiales de 2023. ¿Qué lo hace único? ✅ ANÁLISIS TÉCNICO: Etiquetas de dificultad por ejercicio. ✅ IDEAS CLAVE: Protocolos de resolución

8 páginas

¿Saturado con las Mates de Sociales? Este compendio estratégico incluye TODOS los exámenes oficiales de 2023 del bloque de sistemas. ¿Qué lo hace único? ✅ ANÁLISIS TÉCNICO: Etiquetas de dificultad por ejercicio. ✅ IDEAS CLAVE: Protocolos de resolución y

5 páginas

¿Saturado con las Mates de Sociales? Ve directo a lo que cae. Este compendio estratégico incluye TODOS los exámenes oficiales de 2023. ¿Qué lo hace único? ✅ ANÁLISIS TÉCNICO: Etiquetas de dificultad por ejercicio. ✅ IDEAS CLAVE: Protocolos de resolución

5 páginas

¿Saturado con las Mates de Sociales? Este compendio estratégico incluye exámenes oficiales de 2024 del bloque de funciones. ¿Qué lo hace único? ✅ ANÁLISIS TÉCNICO: Etiquetas de dificultad por ejercicio. ✅ IDEAS CLAVE: Protocolos de resolución y trucos pa

6 páginas

He publicado nuevos apuntes de 2º Matemáticas aplicadas a las Ciencias Sociales II: 1.-Limits-i-continuitat-funcions.pdf

1 página