Todo
Apuntes
Ejercicios
Exámenes
publication
chevron_left
chevron_right

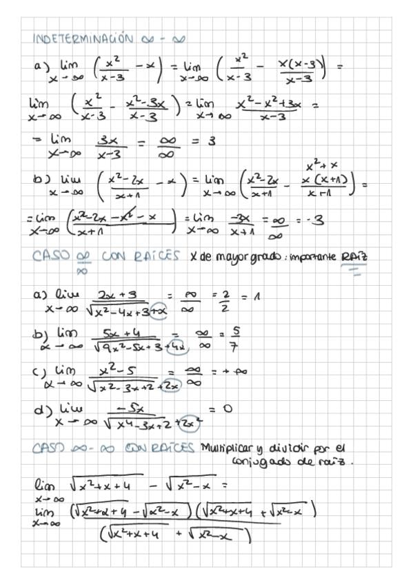
Limits i indeterminacions. EBAU, 2 batxillerat, mate socials en valencià/català.

2 páginas
Anónimo

@Anónimo

Matrícula de Honor en Bachillerato

3 páginas

Formula para resolver los problemas de recta tangente, ejemplo explicativo en el PDF

1 página

Como calcular asíntotas verticales, horizontales y oblícuas

1 página

He publicado nuevos apuntes de Matemáticas aplicadas a las Ciencias Sociales II: Tema6Funciones.pdf

37 páginas

He publicado nuevos apuntes de Matemáticas aplicadas a las Ciencias Sociales II: Tema5Programacion-lineal.pdf

14 páginas

He publicado nuevos apuntes de Matemáticas aplicadas a las Ciencias Sociales II: Tema4Sistemas-lineales.pdf

14 páginas

He publicado nuevos apuntes de Matemáticas aplicadas a las Ciencias Sociales II: Tema3Matrices.pdf

17 páginas

He publicado nuevos apuntes de Matemáticas aplicadas a las Ciencias Sociales II: Tema1Probabilidad.pdf

29 páginas

He publicado nuevos apuntes de Matemáticas aplicadas a las Ciencias Sociales II: Tema2Estadistica.pdf

32 páginas

He publicado nuevos apuntes de Matemáticas aplicadas a las Ciencias Sociales II: 2o-BACHILLERATO-Integrales-Edelvives.pdf

14 páginas

Como calcular un area de una integral, los 3 casos posibles en estos apuntes.

4 páginas

Tema integraciones, paso a paso

20 páginas

Resumen y ejercicios de integrales (fracciones, potencias, logaritmos y exponenciales)

3 páginas

He publicado nuevos apuntes de Matemáticas aplicadas a las Ciencias Sociales II: 2o-BACH-integrales.pdf

2 páginas

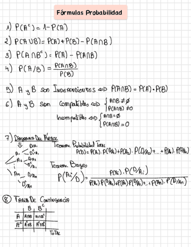
Ejercicio de Probabilidad con Tabla de Contingencia

Imagen

Examen completo de matemáticas aplicadas a las ciencias sociales de la PAU de la Comunidad Valenciana, convocatoria julio 2025, extra-dana. Totalmente resuelto y explicado con todo detalle.

37 páginas

Examen de matemáticas aplicadas a las ciencias sociales de la PAU de la Comunidad Valenciana de Julio de 2025, examen de reserva. Totalmente resuelto y explicado con el máximo detalle.

34 páginas

Examen de matemáticas aplicadas a las ciencias sociales de la PAU de la Comunidad Valenciana de Julio de 2025 resuelto y explicado con todo detalle.

41 páginas

Examen completo de la PAU de la Comunidad Valenciana de la convocatoria de reserva de Junio de 2025. Resuelto y explicado con todo detalle.

32 páginas

TODOS los examenes de matematicas de la pau de cyl desde 2017 hasta 2024 resueltos

249 páginas

Examen resuelto y explicado de la PAU de la Comunidad Valenciana. Problema 1A, convocatoria de junio de 2025. El ejercicio es de programación lineal.

36 páginas

apuntes

-

Apuntes Matemáticas CCSS

Apuntes Matemáticas CCSS con ejemplos.

Matrices.pdf
Matrices.pdf
Matrices.pdf
Determinantes.pdf
Determinantes.pdf
Determinantes.pdf

TEMA 7 MATES 2º BACH REPRESENTACIÓN DE FUNCIONES

6 páginas

He publicado nuevos apuntes de Matemáticas aplicadas a las Ciencias Sociales II: Arbol-teorema-2-bachillerato.pdf

2 páginas

He publicado nuevos apuntes de Matemáticas aplicadas a las Ciencias Sociales II: Asintotas-2-bachillerato.pdf

10 páginas

He publicado nuevos apuntes de Matemáticas aplicadas a las Ciencias Sociales II: Curvatura-2-bachillerato.pdf

7 páginas

He publicado nuevos apuntes de Matemáticas aplicadas a las Ciencias Sociales II: Determinantes-matrices-todo-2-bachillerato.pdf

14 páginas

He publicado nuevos apuntes de Matemáticas aplicadas a las Ciencias Sociales II: Dominio-2-bachillerato.pdf

4 páginas

He publicado nuevos apuntes de Matemáticas aplicadas a las Ciencias Sociales II: Ecuaciones-matriciales-2-bachillerato.pdf

5 páginas

He publicado nuevos apuntes de Matemáticas aplicadas a las Ciencias Sociales II: Estadistica-2-bachillerato.pdf

5 páginas

He publicado nuevos apuntes de Matemáticas aplicadas a las Ciencias Sociales II: mates-matrices-2-bachillerato.pdf

4 páginas

He publicado nuevos apuntes de Matemáticas aplicadas a las Ciencias Sociales II: Matrix-inversa-2-bachillerato.pdf

4 páginas

He publicado nuevos apuntes de Matemáticas aplicadas a las Ciencias Sociales II: Matriz-identidad-2-bachillerato.pdf

2 páginas

He publicado nuevos apuntes de Matemáticas aplicadas a las Ciencias Sociales II: Operaciones-con-determinantes-2-bachillerato.pdf

4 páginas

He publicado nuevos apuntes de Matemáticas aplicadas a las Ciencias Sociales II: Operaciones-con-matrices-2-bachillerato.pdf

5 páginas

He publicado nuevos apuntes de Matemáticas aplicadas a las Ciencias Sociales II: Probabilidad-2-bachillerato.pdf

4 páginas

He publicado nuevos apuntes de Matemáticas aplicadas a las Ciencias Sociales II: Problemas-con-matrices-2-bachillerato.pdf

2 páginas

He publicado nuevos apuntes de Matemáticas aplicadas a las Ciencias Sociales II: Programacion-lineal-apuntes-2-bachillerato.pdf

13 páginas

Como se calcula un área usando integrales y ejercicios resueltos.

2 páginas

He publicado nuevos apuntes de Matemáticas aplicadas a las Ciencias Sociales II: Rango-matrices-2-bachillerato.pdf

9 páginas

He publicado nuevos apuntes de Matemáticas aplicadas a las Ciencias Sociales II: Recta-tangente-apuntes-2-bachillerato.pdf

2 páginas

2 º BACH

7 páginas

Regla de la cadena en las integrales

2 páginas

Ejercicios para hacer y comprobar los resultados

3 páginas

Definición, ejemplos, Integrales inmedistas y ejercicios resueltos sobre integrales

1 página

Integrales paso a paso varios con apartados. Ideales para repasar para la PAU y sirven como apuntes para 1 y 2 de bachillerato.

2 páginas

Documento de ejercicios de integrales indefinidas dirigido a alumnado de 1º y 2º de Bachillerato. Contiene ejercicios básicos y habituales en exámenes, centrados en la integración de polinomios.

2 páginas

He publicado nuevos apuntes de Matemáticas aplicadas a las Ciencias Sociales II

APUNTES BONITOS Y ORDENADOS MATES 2 bachiller

apuntes

-

MATEMÁTICAS CIENCIAS SOCIALES

TODOS LOS APUNTES NECESARIOS PARA LAS PAU DE MATEMÁTICAS APLICADAS A LAS CIENCIAS SOCIALES

MATRIUS-I-SISTEMES-DEQUACIONS.pdf
FUNCIONS.pdf
DERIVADES.pdf
PROBABILITAT.pdf
BINOMIAL-I-NORMAL.pdf
INFERENCIA-ESTADISTICA.pdf

He publicado nuevos apuntes de Matemáticas aplicadas a las Ciencias Sociales II: EXAMENES-EVAU-ESPANA--PREGUNTA-DE-ALGEBRA.pdf

15 páginas

examenes

-

Examen D. Normal

He publicado nuevos examenes de Matemáticas aplicadas a las Ciencias Sociales II: Examen D. Normal

SOLUCIONES.pdf
EXAMEN-enunciado.pdf

Primitivas, propiedades de las integrales, integrales inmediatas y ejemplos.

2 páginas

Estudio del dominio, monotonía y curvatura de la función

2 páginas

Estudio de la monotonía y curvatura de una función exponencial

2 páginas

PROBABILIDAD

3 páginas

APUNTES ESTADÍSTICAS DE ESTIMACIÓN DE LA MEDIA, VALORES CRÍTICOS, ERROR MÁXIMO, TAMAÑO DE LA MUESTRA, NIVEL DE CONFIANZA, TEOREMA CENTRAL DEL LÍMITE

13 páginas

Soluciones de diferentes convocatorias de exámenes PAU España

3 páginas

apuntes

-

MATEMATICAS PAU 2025

He publicado nuevos apuntes de Matemáticas aplicadas a las Ciencias Sociales II: MATEMATICAS PAU 2025

PROBABILIDAD-DISTRIBUCION-BINOMIAL-Y-NORMAL-INTERVALOS-DE-CONFIANZA.pdf
LIMITES-Y-CONTINUIDAD-DE-UNA-FUNCION.pdf
INTEGRALES-Y-ECUACION-RECTA-TANGENTE.pdf
PROGAMACION-LINEAL-Y-ANALISIS-DE-FUNCIONES.pdf
MATRICES-Y-DETERMINANTES.pdf

Ejercicios sobre funciones a trozos para practicar

4 páginas