Matemáticas aplicadas a las Ciencias Sociales II

chevron_left
chevron_right
Todo
Apuntes
Ejercicios
Exámenes
Otros
publication
chevron_left
chevron_right
Anónimo

@Anónimo

He publicado nuevos apuntes de Matemáticas aplicadas a las Ciencias Sociales II: Formulario-matematico-para-EBAU-Andalucia.png

Imagen

Todos los posibles casos de calculo de integrales básicas paso a paso y con ejemplos.

3 páginas

Resumen del cálculo de máximos y minimos relativos. Explicado paso a paso y con ejemplos

2 páginas

Bloque Análisis: Derivabilidad, Monotonía y Máximos y mínimos

5 páginas

He publicado nuevos apuntes de Matemáticas aplicadas a las Ciencias Sociales II: Problemas-de-ecuaciones.pdf

4 páginas

Resumen de la base más importante de las derivadas

1 página

Cómo calcular asíntotas verticales, horizontales y oblícuas. Paso a paso y con ejemplos

3 páginas

Todos los posibles casos de limites y cómo resolverlos (con ejemplos)

6 páginas

apuntes

-

Mates CCSS

Apuntes completos de Matemáticas CCSS para la selectividad (bachillerato social) Todo el temario explicado de forma clara y resumida para que prepares el examen fácilmente: 1. Límites y continuidad 2. Derivadas y optimización 3. Matrices 4. Sistemas de e

0.-Funcions.pdf
1.-Limits-i-Continuitat.pdf
2.-Derivades-i-optimizacio.pdf
3.-Matrius.pdf
4.-Sistemes-dequacions-lineals.pdf
5.Probabilitat.pdf

30 ejercicios tipo PAU de Estadística (2º Bachillerato CCSS) Prepárate como en el examen con problemas competenciales. Incluye probabilidad, inferencia, intervalos y contrastes. Soluciones paso a paso para entender todos los procedimientos. Ideal para mej

3 páginas

He publicado nuevos apuntes de Matemáticas aplicadas a las Ciencias Sociales II: Probabilitat-i-estadistica.pdf

3 páginas

Material de Matemáticas Aplicadas a las CCSS II (2º Bachillerato) centrado en estadística. Incluye 30 ejercicios competenciales con soluciones. Nivel PAU/Selectividad con contenidos clave. Soluciones completas paso a paso para entender cada ejercicio. Ide

2 páginas

LISTA DE EJERCICOS MATEMÁTICAS PROBABILIDAD 2º BACH PAU

9 páginas

apuntes

-

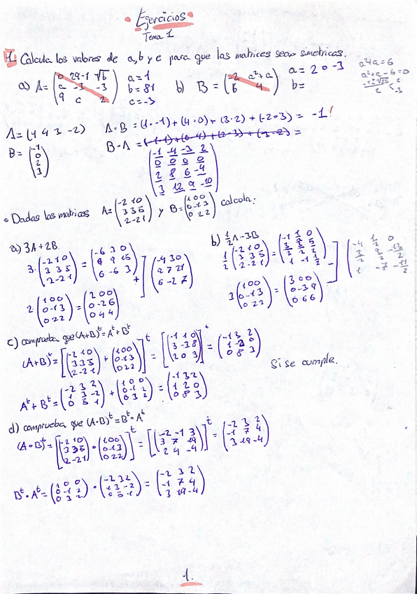
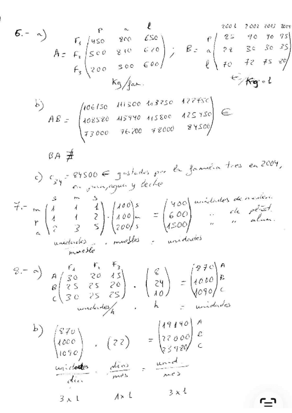
MACS II Matrus

He publicado nuevos apuntes de Matemáticas aplicadas a las Ciencias Sociales II: MACS II Matrus

IMG20260423185824.jpg
IMG20260423190035.jpg
IMG20260423190138.jpg
IMG20260423190240.jpg
IMG20260423190300.jpg
IMG202604231903312.jpg

FORMULARI DE PROBABILITAT

1 página

Apuntes completos de Estadística para 2º de Bachillerato (Matemáticas CCSS) con 30 ejercicios tipo PAU competenciales y sus soluciones paso a paso al final. Incluye problemas de distribución normal, tablas de frecuencias, regresión, probabilidad e interva

4 páginas

Exercicis distribució binomial amb solucions

10 páginas

He publicado nuevos apuntes de Matemáticas aplicadas a las Ciencias Sociales II: Resumen-integrales-mates-ccss.pdf

4 páginas

He publicado nuevos apuntes de Matemáticas aplicadas a las Ciencias Sociales II: ejemplos-funciones-mates-ccss.pdf

2 páginas

He publicado nuevos apuntes de Matemáticas aplicadas a las Ciencias Sociales II: ejercicios-mates-integrales-funciones-ebau-cv.docx

word

Formulari distribució binomial

1 página

Apuntes de Estadística – 2º Bach (Matemáticas CCSS) Esquema con todas las fórmulas clave que necesitas para dominar estadística en 2º de Bachillerato. Perfecto para repasar rápido y preparar la PAU sin complicaciones. Incluye lo esencial para que lo enti

2 páginas

He publicado nuevos apuntes de Matemáticas aplicadas a las Ciencias Sociales II: LÍMITES Y CONTINUIDAD DE FUNCIONES.pdf

28 páginas

apuntes

-

Fórmulas de probabilidad y ejercicios

Apuntes completos de probabilidad para 2º de Bachillerato (CCSS) y preparación de la PAU. Incluyen todas las fórmulas clave. Explicado de forma clara, esquematizada y fácil de entender. Además, contiene ejercicios tipo PAU de la probabilidad total y el te

Formulas-de-probabilidad-y-ejercicios.pdf
Ejercicios-distribucion-binomial-con-soluciones.pdf

Apuntes de Probabilidad para 2º Bachillerato (CCSS), ideales para preparar la PAU. Incluyen teoría, fórmulas clave y explicaciones fáciles de entender. Con ejercicios tipo PAU resueltos y problemas para practicar y repasar. Perfectos para estudiar rápido,

2 páginas

Esquema de probabilidad para 2º de Bachillerato y PAU con todas las fórmulas clave (Laplace, condicionada, total y Bayes), junto a la distribución binomial y normal. Incluye explicaciones claras y ejercicios tipo PAU y competenciales. Formato visual ideal

3 páginas

Ejercicios resueltos de binomial y normal

2 páginas

Hay más contenido del estríctamente necesario

136 páginas

Problemes de probabilitat de selectivitat. Enunciats i després resolts pas a pas

46 páginas

He publicado nuevos apuntes de Matemáticas aplicadas a las Ciencias Sociales II

Miniatura no disponible
Esquema-sintaxis-simple.pdf

He publicado nuevos apuntes de Matemáticas aplicadas a las Ciencias Sociales II

Esquema-sintaxis-simple.pdf

He publicado nuevos apuntes de Matemáticas aplicadas a las Ciencias Sociales II

Miniatura no disponible
Esquema-sintaxis-simple.pdf
Anónimo

@Anónimo

Ficha de mates de trigonometría

3 páginas
Anónimo

@Anónimo

Ficha de mates de funciones elementales.

4 páginas
Anónimo

@Anónimo

Ficha de mates de integrales básicos

1 página

He publicado nuevos apuntes de Matemáticas aplicadas a las Ciencias Sociales II: probabilidad.pdf

2 páginas

tot el temari que entra a la sele (cat 2025). Només no hi ha determinants!!

17 páginas

Primera parte de una ficha de problemas de gauss de matemáticas de ciencias sociales.

1 página

Explicación más ejemplos

29 páginas

He publicado nuevos apuntes de Matemáticas aplicadas a las Ciencias Sociales II: Teoria-funciones-derivadas-y-limites.pdf

2 páginas

He publicado nuevos apuntes de Matemáticas aplicadas a las Ciencias Sociales II: Formulas-derivadas.pdf

1 página

He publicado nuevos apuntes de Matemáticas aplicadas a las Ciencias Sociales II: Apuntes-mates-selectividad-sociales.pdf

1 página

He publicado nuevos apuntes de Matemáticas aplicadas a las Ciencias Sociales II: Asintotas-verticales-horizontales-y-obl.pdf

1 página

He publicado nuevos apuntes de Matemáticas aplicadas a las Ciencias Sociales II: Asintotas-monotonia-y-extremos-relativo.pdf

1 página

He publicado nuevos apuntes de Matemáticas aplicadas a las Ciencias Sociales II: Derivadas.pdf

1 página

He publicado nuevos apuntes de Matemáticas aplicadas a las Ciencias Sociales II: Funcion-de-distribucion-normal.pdf

1 página

He publicado nuevos apuntes de Matemáticas aplicadas a las Ciencias Sociales II: Integrales.pdf

1 página

He publicado nuevos apuntes de Matemáticas aplicadas a las Ciencias Sociales II: Intervalo-de-confianza.pdf

1 página

He publicado nuevos apuntes de Matemáticas aplicadas a las Ciencias Sociales II: Limites-indeterminacion.pdf

1 página

He publicado nuevos apuntes de Matemáticas aplicadas a las Ciencias Sociales II: Matrices.pdf

2 páginas

He publicado nuevos apuntes de Matemáticas aplicadas a las Ciencias Sociales II: Probabilidad-distribuciones-de-probabil.pdf

3 páginas

Apuntes de introdución a la binomial y la normal

3 páginas

Apuntes completos de Bioestadística con base de Matrícula de Honor. Incluye el desarrollo de estadística descriptiva, cálculo de probabilidades, distribuciones (Binomial, Normal, Poisson) e inferencia estadística. Contiene tablas de distribución y ejemplo

17 páginas

He publicado nuevos apuntes de Matemáticas aplicadas a las Ciencias Sociales II: guia-funciones-selectividad.html

He publicado nuevos apuntes de Matemáticas aplicadas a las Ciencias Sociales II: Limites-Y-Continuidad.pdf

7 páginas

He publicado nuevos apuntes de Matemáticas aplicadas a las Ciencias Sociales II: estadistica.pdf

3 páginas

He publicado nuevos apuntes de Matemáticas aplicadas a las Ciencias Sociales II: Derivadas-y-TVM.pdf

6 páginas

He publicado nuevos apuntes de Matemáticas aplicadas a las Ciencias Sociales II: Probabilidad.pdf

7 páginas

He publicado nuevos apuntes de Matemáticas aplicadas a las Ciencias Sociales II: Matrices-Y-Sistemas-de-Ecuaciones.pdf

11 páginas

He publicado nuevos apuntes de Matemáticas aplicadas a las Ciencias Sociales II: Programacion-Lineal-y-funciones-a-trozos.pdf

5 páginas