Todo
Apuntes
Preguntas
Ejercicios
Exámenes
publication
chevron_left
chevron_right

He publicado nuevos examenes de Matemáticas aplicadas a las Ciencias Sociales II: Enunciat-MATEMSOCIALSII-JUL-2024-3.pdf

4 páginas

He publicado nuevos examenes de Matemáticas aplicadas a las Ciencias Sociales II: Criteris-MATEMSOCIALSII-JUNY-2024-3.pdf

17 páginas

He publicado nuevos examenes de Matemáticas aplicadas a las Ciencias Sociales II: Enunciat-MATEMSOCIALSII-JUNY-2024-5.pdf

4 páginas

He publicado nuevos examenes de Matemáticas aplicadas a las Ciencias Sociales II: Criteris-MATEMSOCIALSII-JUL-2024-4.pdf

18 páginas

He publicado nuevos apuntes de Matemáticas aplicadas a las Ciencias Sociales II: Aplicacion-de-drivadas.pdf

1 página

He publicado nuevos apuntes de Matemáticas aplicadas a las Ciencias Sociales II: Analisis.pdf

1 página

He publicado nuevos apuntes de Matemáticas aplicadas a las Ciencias Sociales II: Estadistica.pdf

2 páginas

He publicado nuevos apuntes de Matemáticas aplicadas a las Ciencias Sociales II: Rango-de-matrices.pdf

1 página

He publicado nuevos apuntes de Matemáticas aplicadas a las Ciencias Sociales II: Ecuaciones-cuadradas.pdf

2 páginas

He publicado nuevos apuntes de Matemáticas aplicadas a las Ciencias Sociales II: Matrices.pdf

2 páginas

Están los apuntes y ejercicios resueltos explicados paso por paso

Miniatura no disponible
6 páginas

He publicado nuevos apuntes de Matemáticas aplicadas a las Ciencias Sociales II: matrices-mates-social-resumen.pdf

3 páginas
Anónimo

@Anónimo

Ejercicios resueltos para practicar

8 páginas

He publicado nuevos apuntes de Matemáticas aplicadas a las Ciencias Sociales II

Miniatura no disponible
https://www.youtube.com/watch?v=XbaKYkd4XhA&list=PLVDbmINNC9ol1fG3xEb3UBFkIkeUsbM6b

Apunts de matemàtiques realitzats al 2018 al batxillerat científic de l'Institut Jaume Balmes de Barcelona.

26 páginas

‼️📐📘 📏🎉 𝕄𝕒𝕥𝕖𝕞𝕒́𝕥𝕚𝕔𝕒𝕤 𝕀𝕀 𝔽 𝕀𝔼𝕊𝕋𝔸 𝔻𝔼𝕃 ℂ𝕆ℕ𝕆ℂ𝕀𝕄𝔼ℕ𝕋𝕆 🎉 @𝕙𝕖𝕪𝕚𝕥𝕤𝕒𝕝𝕒𝕞𝕒𝔸

‼️📐📘 📏🎉 𝕄𝕒𝕥𝕖𝕞𝕒́𝕥𝕚𝕔𝕒𝕤 𝕀𝕀 𝔽 𝕀𝔼𝕊𝕋𝔸 𝔻𝔼𝕃 ℂ𝕆ℕ𝕆ℂ𝕀𝕄𝔼ℕ𝕋𝕆 🎉 @𝕙𝕖𝕪𝕚𝕥𝕤𝕒𝕝𝕒𝕞𝕒𝔸𝕡𝕦𝕟𝕥𝕖𝕤 𝕕𝕖 𝕄𝕒𝕥𝕖𝕞𝕒́𝕥𝕚𝕔𝕒𝕤 𝕀𝕀 𝕡𝕒𝕣𝕒 𝕊𝕖𝕝𝕖𝕔𝕥𝕚𝕧𝕚𝕕𝕒𝕕. 𝕄𝔸ℕ𝕆 𝔻𝔼 𝕊𝔸ℕ𝕋𝕆 :). ℂ𝕆ℕ 𝔼𝕊𝕋𝕆𝕊 𝕊𝔸ℚ𝕌𝔼́ 𝕌ℕ 𝟙𝟘. 𝔼𝕔𝕙𝕒𝕝𝕖 𝕦𝕟 𝕧𝕚𝕤𝕥𝕒𝕫𝕠 𝕒 𝕞𝕚 𝕡𝕖𝕣𝕗𝕚𝕝, 𝕙𝕒𝕪 𝕔𝕠𝕤𝕒𝕤 𝕤𝕦́𝕡𝕖𝕣

‼️📐📘 📏🎉 𝕄𝕒𝕥𝕖𝕞𝕒́𝕥𝕚𝕔𝕒𝕤 𝕀𝕀 𝔽 𝕀𝔼𝕊𝕋𝔸 𝔻𝔼𝕃 ℂ𝕆ℕ𝕆ℂ𝕀𝕄𝔼ℕ𝕋𝕆 🎉 @𝕙𝕖𝕪𝕚𝕥𝕤𝕒𝕝𝕒𝕞𝕒𝔸

‼️📐📘 📏🎉 𝕄𝕒𝕥𝕖𝕞𝕒́𝕥𝕚𝕔𝕒𝕤 𝕀𝕀 𝔽 𝕀𝔼𝕊𝕋𝔸 𝔻𝔼𝕃 ℂ𝕆ℕ𝕆ℂ𝕀𝕄𝔼ℕ𝕋𝕆 🎉 @𝕙𝕖𝕪𝕚𝕥𝕤𝕒𝕝𝕒𝕞𝕒𝔸𝕡𝕦𝕟𝕥𝕖𝕤 𝕕𝕖 𝕄𝕒𝕥𝕖𝕞𝕒́𝕥𝕚𝕔𝕒𝕤 𝕀𝕀 𝕡𝕒𝕣𝕒 𝕊𝕖𝕝𝕖𝕔𝕥𝕚𝕧𝕚𝕕𝕒𝕕. 𝕄𝔸ℕ𝕆 𝔻𝔼 𝕊𝔸ℕ𝕋𝕆 :). ℂ𝕆ℕ 𝔼𝕊𝕋𝕆𝕊 𝕊𝔸ℚ𝕌𝔼́ 𝕌ℕ 𝟙𝟘. 𝔼𝕔𝕙𝕒𝕝𝕖 𝕦𝕟 𝕧𝕚𝕤𝕥𝕒𝕫𝕠 𝕒 𝕞𝕚 𝕡𝕖𝕣𝕗𝕚𝕝, 𝕙𝕒𝕪 𝕔𝕠𝕤𝕒𝕤 𝕤𝕦́𝕡𝕖𝕣

He publicado nuevos examenes de Matemáticas aplicadas a las Ciencias Sociales II: EXAMEN-ALGEBRA-RESUELTO-SEGUNDO-BACHILLE.pdf

4 páginas

He publicado nuevos examenes de Matemáticas aplicadas a las Ciencias Sociales II: Enunciat-MATEMSOCIALSII-JUNY-2022.pdf

5 páginas

He publicado nuevos examenes de Matemáticas aplicadas a las Ciencias Sociales II: EXAMENES-PBAU.pdf

46 páginas

He publicado nuevos ejercicios de Matemáticas aplicadas a las Ciencias Sociales II: Exercicis-derivades.pdf

6 páginas

examenes

-

Exámenes Matemáticas aplicadas a las Ciencias Sociales II PBAU 2022

He publicado nuevos examenes de Matemáticas aplicadas a las Ciencias Sociales II: Exámenes Matemáticas aplicadas a las Ciencias Sociales II PBAU 2022

Examen-Matematicas-Aplicadas-a-las-Ciencias-Sociales-de-Baleares.pdf
Examen-Matematicas-Aplicadas-a-las-Ciencias-Sociales-de-Baleares.pdf

He publicado nuevos apuntes de Matemáticas aplicadas a las Ciencias Sociales II: Apuntes-probabilidad.pdf

28 páginas

apuntes

-

integrals/probabilitat/mostres

He publicado nuevos apuntes de Matemáticas aplicadas a las Ciencias Sociales II: integrals/probabilitat/mostres

T8Integrals.pdf
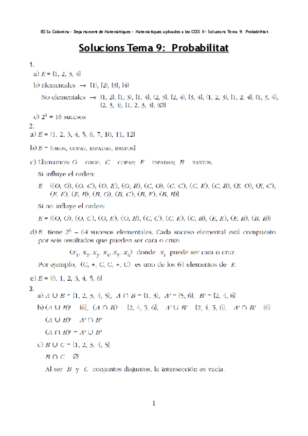
T9ProbabilitatSolu.pdf
Tema10.pdf
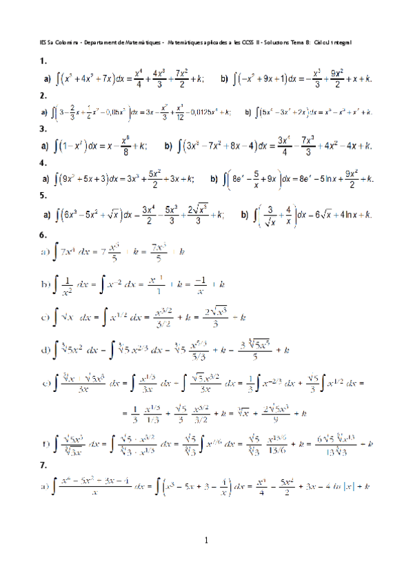
T8IntegralsSolucions.pdf
T9Probabilitat.pdf
SolucionsTema10.pdf

apuntes

-

derivades

He publicado nuevos apuntes de Matemáticas aplicadas a las Ciencias Sociales II: derivades

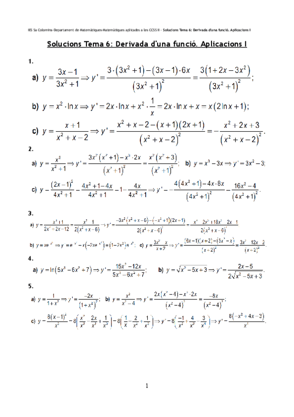
T6DerivadaISolucions.pdf
aplicacionsderivada.pdf
T6DerivadaIdef2.pdf
Tauladerivades.pdf
derivabilitat.pdf
grafiques.pdf

apuntes

-

programació lineal/límits

He publicado nuevos apuntes de Matemáticas aplicadas a las Ciencias Sociales II: programació lineal/límits

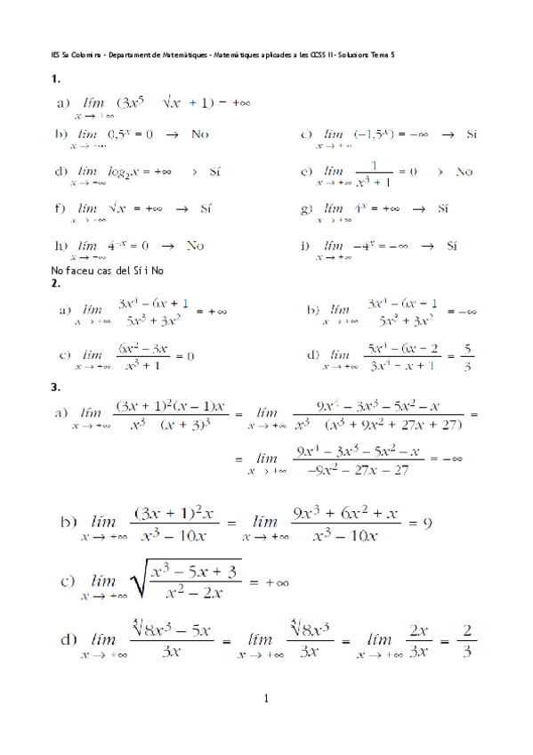
T5LimitsContAsimptSolucions.pdf
limits.pdf
T5LimitsContAsimptdef.pdf
continuitat.pdf
T4ProgLinealSolucions.pdf
programlineal.pdf

apuntes

-

fitxes repàs mates amb solucions

He publicado nuevos apuntes de Matemáticas aplicadas a las Ciencias Sociales II: fitxes repàs mates amb solucions

Fitxa9.pdf
Fitxa7repas.pdf
Fitxa8Sol.pdf
SolFitxa7repas.pdf
Fitxa9Sol.pdf
Fitxa6repassol.pdf

apuntes

-

llibre i examens 1r batx

He publicado nuevos apuntes de Matemáticas aplicadas a las Ciencias Sociales II: llibre i examens 1r batx

1MS-Bloc-I-1.pdf
1MS-Bloc-II-1.pdf

He publicado nuevos examenes de Matemáticas aplicadas a las Ciencias Sociales II: Mates.pdf

70 páginas
Anónimo

@Anónimo

Examen Matemáticas Aplicadas CCSS

3 páginas
¡Estás al día!

¡Estás al día!

Has visto todos los archivos