Matemáticas aplicadas a las Ciencias Sociales II

chevron_left
chevron_right
Todo
Apuntes
Preguntas
Ejercicios
Exámenes
Otros
publication
Trabajos
chevron_left
chevron_right

Limits i indeterminacions. EBAU, 2 batxillerat, mate socials en valencià/català.

2 páginas

Examen completo de matemáticas aplicadas a las ciencias sociales de la PAU de la Comunidad Valenciana, convocatoria julio 2025, extra-dana. Totalmente resuelto y explicado con todo detalle.

37 páginas

Examen de matemáticas aplicadas a las ciencias sociales de la PAU de la Comunidad Valenciana de Julio de 2025, examen de reserva. Totalmente resuelto y explicado con el máximo detalle.

34 páginas

Examen de matemáticas aplicadas a las ciencias sociales de la PAU de la Comunidad Valenciana de Julio de 2025 resuelto y explicado con todo detalle.

41 páginas

Examen completo de la PAU de la Comunidad Valenciana de la convocatoria de reserva de Junio de 2025. Resuelto y explicado con todo detalle.

32 páginas

Examen resuelto y explicado de la PAU de la Comunidad Valenciana. Problema 1A, convocatoria de junio de 2025. El ejercicio es de programación lineal.

36 páginas

He publicado nuevos apuntes de Matemáticas aplicadas a las Ciencias Sociales II: Arbol-teorema-2-bachillerato.pdf

2 páginas

He publicado nuevos apuntes de Matemáticas aplicadas a las Ciencias Sociales II: Asintotas-2-bachillerato.pdf

10 páginas

He publicado nuevos apuntes de Matemáticas aplicadas a las Ciencias Sociales II: Curvatura-2-bachillerato.pdf

7 páginas

He publicado nuevos apuntes de Matemáticas aplicadas a las Ciencias Sociales II: Determinantes-matrices-todo-2-bachillerato.pdf

14 páginas

He publicado nuevos apuntes de Matemáticas aplicadas a las Ciencias Sociales II: Dominio-2-bachillerato.pdf

4 páginas

He publicado nuevos apuntes de Matemáticas aplicadas a las Ciencias Sociales II: Ecuaciones-matriciales-2-bachillerato.pdf

5 páginas

He publicado nuevos apuntes de Matemáticas aplicadas a las Ciencias Sociales II: Estadistica-2-bachillerato.pdf

5 páginas

He publicado nuevos apuntes de Matemáticas aplicadas a las Ciencias Sociales II: mates-matrices-2-bachillerato.pdf

4 páginas

He publicado nuevos apuntes de Matemáticas aplicadas a las Ciencias Sociales II: Matrix-inversa-2-bachillerato.pdf

4 páginas

He publicado nuevos apuntes de Matemáticas aplicadas a las Ciencias Sociales II: Matriz-identidad-2-bachillerato.pdf

2 páginas

He publicado nuevos apuntes de Matemáticas aplicadas a las Ciencias Sociales II: Operaciones-con-determinantes-2-bachillerato.pdf

4 páginas

He publicado nuevos apuntes de Matemáticas aplicadas a las Ciencias Sociales II: Operaciones-con-matrices-2-bachillerato.pdf

5 páginas

He publicado nuevos apuntes de Matemáticas aplicadas a las Ciencias Sociales II: Probabilidad-2-bachillerato.pdf

4 páginas

He publicado nuevos apuntes de Matemáticas aplicadas a las Ciencias Sociales II: Problemas-con-matrices-2-bachillerato.pdf

2 páginas

He publicado nuevos apuntes de Matemáticas aplicadas a las Ciencias Sociales II: Programacion-lineal-apuntes-2-bachillerato.pdf

13 páginas

He publicado nuevos apuntes de Matemáticas aplicadas a las Ciencias Sociales II: Rango-matrices-2-bachillerato.pdf

9 páginas

He publicado nuevos apuntes de Matemáticas aplicadas a las Ciencias Sociales II: Recta-tangente-apuntes-2-bachillerato.pdf

2 páginas

He publicado nuevos apuntes de Matemáticas aplicadas a las Ciencias Sociales II

APUNTES BONITOS Y ORDENADOS MATES 2 bachiller

He publicado nuevos apuntes de Matemáticas aplicadas a las Ciencias Sociales II: wuolah-premium-2BACHBCMATEMATICAS-APLICADAS-CCSSII-ResumenMatricesTema1.jpeg.png

Imagen

He publicado nuevos examenes de Matemáticas aplicadas a las Ciencias Sociales II: Ordinara-2017-Opcion-B.pdf

3 páginas

He publicado nuevos examenes de Matemáticas aplicadas a las Ciencias Sociales II: Ordinara-2017-Opcion-A.pdf

4 páginas

He publicado nuevos ejercicios de Matemáticas aplicadas a las Ciencias Sociales II: problemas-sistemas-de-ecuaciones.pdf

3 páginas

PAU Comunidad Valenciana Julio 2024. Matemáticas CCSS. Examen completo resuelto y explicado.

49 páginas

He publicado nuevos apuntes de Matemáticas aplicadas a las Ciencias Sociales II: MATEMATICAS-EJERCICIOS-PROBABILIDAD-BINOMIAL.pdf

17 páginas

He publicado nuevos apuntes de Matemáticas aplicadas a las Ciencias Sociales II: Examenes-Probabilidad-EVAU.pdf

16 páginas
Anónimo

@Anónimo

Compendio de ejercicios de pau de toda españa probabilidad.

140 páginas
Anónimo

@Anónimo

Compendio de ejercicios de pau de toda españa análisis.

155 páginas
Anónimo

@Anónimo

Compendio de ejercicios de pau de toda españa álgebra.

170 páginas

He publicado nuevos apuntes de Matemáticas aplicadas a las Ciencias Sociales II: CamScanner-30-8-25-12.51.pdf

79 páginas

He publicado nuevos examenes de Matemáticas aplicadas a las Ciencias Sociales II

Miniatura no disponible
https://www.apuntesmareaverde.org.es/grupos/mat/Selectividad.htm

apuntes

-

Matemáticas Aplicadas a las Ciencias Sociales 2°BACH

Apuntes de Matemáticas Aplicadas a las Ciencias Sociales (álgebra, análisis de funciones y probabilidad) de 2°BACH

Sistemas-de-ecuaciones-por-el-metodo-de-Gauss-Matematicas-Aplicadas-a-las-Ciencias-Sociales-2BACH.pdf
Matrices-Matematicas-Aplicadas-a-las-Ciencias-Sociales-2BACH.pdf
Determinantes-propiedades-inversa-teorema-de-Rouche-rango-de-una-matriz-y-metodo-de-Cramer-Matematicas-Aplicadas-a-las-Ciencias-Sociales-2BACH.pdf
Programacion-lineal-ejemplo-Matematicas-Aplicadas-a-las-Ciencias-Sociales-2BACH.pdf
Limites-de-funciones-y-continuidad-ejemplos-Matematicas-Aplicadas-a-las-Ciencias-Sociales-2BACH.pdf
Derivadas-y-aplicaciones-Matematicas-Aplicadas-a-las-Ciencias-Sociales-2BACH.pdf

He publicado nuevos apuntes de Matemáticas aplicadas a las Ciencias Sociales II: Probabilidad.pdf

11 páginas

He publicado nuevos apuntes de Matemáticas aplicadas a las Ciencias Sociales II: Matrices.pdf

17 páginas

He publicado nuevos apuntes de Matemáticas aplicadas a las Ciencias Sociales II: Integrales.pdf

8 páginas

He publicado nuevos apuntes de Matemáticas aplicadas a las Ciencias Sociales II: Derivadas.pdf

9 páginas

He publicado nuevos apuntes de Matemáticas aplicadas a las Ciencias Sociales II: Limites-y-continuidad.pdf

17 páginas

He publicado nuevos apuntes de Matemáticas aplicadas a las Ciencias Sociales II: Funciones.pdf

8 páginas

He publicado nuevos apuntes de Matemáticas aplicadas a las Ciencias Sociales II: Ecuaciones-y-sistemasInecuaciones-y-sistemas-de-inecuaciones.pdf

9 páginas

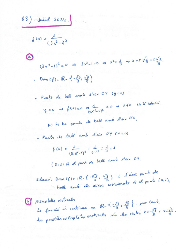
He publicado nuevos ejercicios de Matemáticas aplicadas a las Ciencias Sociales II: SOLUCIO-PROBLEMA-88JULIOL-2024.pdf

4 páginas

He publicado nuevos apuntes de Matemáticas aplicadas a las Ciencias Sociales II: Derivadas.pdf

1 página

He publicado nuevos apuntes de Matemáticas aplicadas a las Ciencias Sociales II: SIMULACROS-PAU-CON-SOLUCION.pdf

8 páginas

He publicado nuevos apuntes de Matemáticas aplicadas a las Ciencias Sociales II: RESUMEN-CON-EJEMPLOS-MATEMATICAS-APLICADAS-A-LAS-CIENCIAS-SOCIALES.pdf

4 páginas

Soluciones de convocatorias (2025-2017) de todas las comunidades autónomas.

https://www.ebaumatematicas.com/matematicas-ccss-ii/

He publicado nuevos examenes de Matemáticas aplicadas a las Ciencias Sociales II: Examen-Coreeccion-junio-2024-Matematicas.pdf

12 páginas

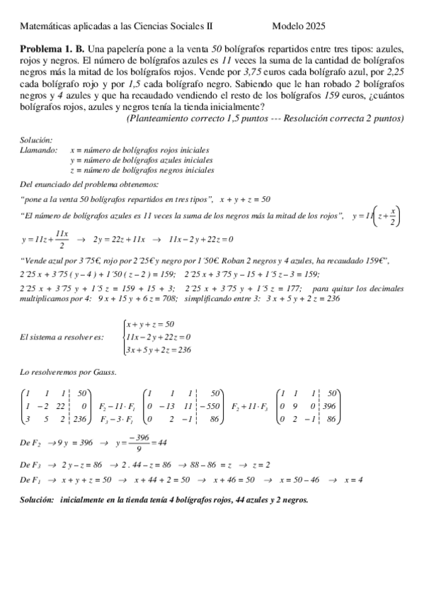
He publicado nuevos examenes de Matemáticas aplicadas a las Ciencias Sociales II: MODELO-2025-MATEMATICAS-SOLUCIONES.pdf

9 páginas

He publicado nuevos apuntes de Matemáticas aplicadas a las Ciencias Sociales II: Resumen-Derivadas.pdf

3 páginas

He publicado nuevos apuntes de Matemáticas aplicadas a las Ciencias Sociales II: Resumen-Limites.pdf

7 páginas

He publicado nuevos apuntes de Matemáticas aplicadas a las Ciencias Sociales II: Resumen-Funciones.pdf

8 páginas

apuntes

-

ANÁLISIS - Bloque II

2º Bach CCSS

Limites-y-Continuidad.pdf
Analisis-de-una-funcion.pdf

He publicado nuevos apuntes de Matemáticas aplicadas a las Ciencias Sociales II: Selectividad-matematicas.pdf

2 páginas

He publicado nuevos apuntes de Matemáticas aplicadas a las Ciencias Sociales II: SolJul20231.pdf

2 páginas

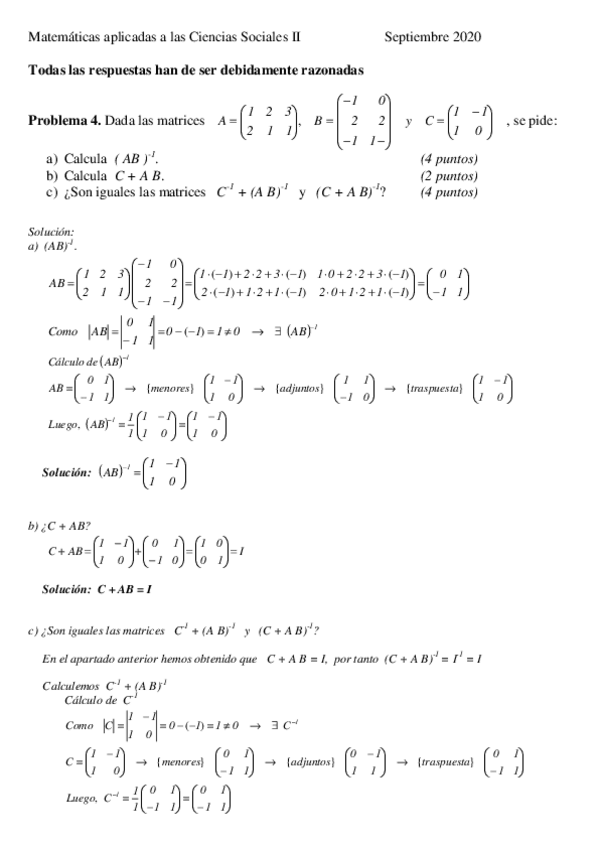
He publicado nuevos apuntes de Matemáticas aplicadas a las Ciencias Sociales II: SolSep20204.pdf

2 páginas

He publicado nuevos apuntes de Matemáticas aplicadas a las Ciencias Sociales II: SolMod20251B.pdf

1 página

He publicado nuevos apuntes de Matemáticas aplicadas a las Ciencias Sociales II: Selectividad-matematicas.pdf

1 página