Matemáticas aplicadas a las Ciencias Sociales II

Todo
Apuntes
chevron_left
chevron_right

apuntes

-

Apuntes

He publicado nuevos apuntes de 2º Matemáticas aplicadas a las Ciencias Sociales II: Apuntes

Reglas de derivación.pdf

apuntes

-

Varios

Bachillerato de Humanidades y Ciencias sociales

Derivadas.pdf
Maximos-y-minimos-Puntos-de-inflexion-y-Curvatura.pdf
Matrices.pdf
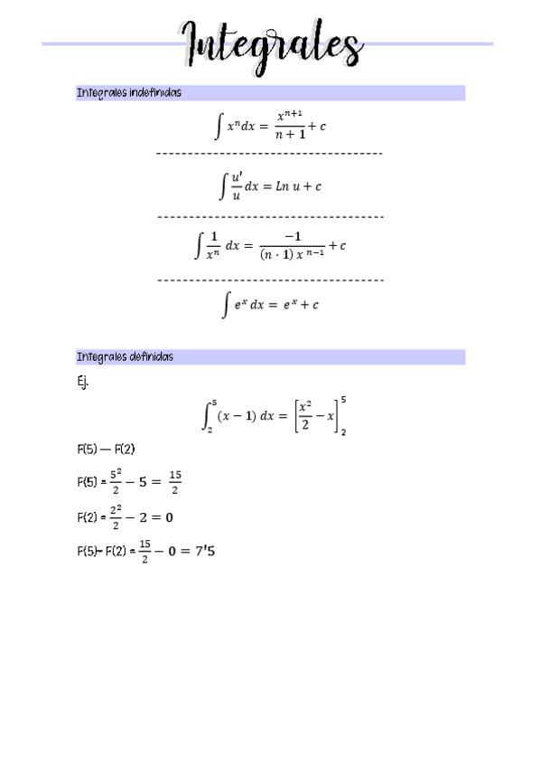
Integrales.pdf

Bachillerato de Humanidades y Ciencias sociales

https://www.emestrada.org/
¡Estás al día!

¡Estás al día!

Has visto todos los archivos