chevron_left
chevron_right
Todo
Apuntes
Ejercicios
chevron_left
chevron_right

ejercicios

-

Ejercicios resueltos de Matemáticas Aplicadas al Marketing

He publicado nuevos ejercicios de 1º Matemáticas Aplicadas Al Marketing: Ejercicios resueltos de Matemáticas Aplicadas al Marketing

Ejercicios-Resueltos-de-Matrices.pdf
Problemas-Resueltos-de-Matrices.pdf
Ejercicios-Resueltos-de-Operaciones-Financieras-Simples-Matematicas-financieras.pdf

apuntes

-

Matemáticas Aplicadas al Marketing

He publicado nuevos apuntes de 1º Matemáticas Aplicadas Al Marketing: Matemáticas Aplicadas al Marketing

Apuntes de Grafos.pdf
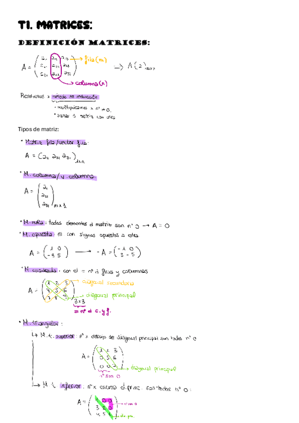
Apuntes de Matrices.pdf
Apuntes de Operaciones Financieras Simples.pdf
Apuntes de Operaciones Financieras Compuestas.pdf
Apuntes de Operaciones Financieras de Descuento.pdf
Apuntes de Operaciones Financieras de Renta.pdf

Apuntes derivadas con ejemplos y ejercicios

11 páginas

He publicado nuevos apuntes de 1º Matemáticas Aplicadas Al Marketing: CASTELLANO - BLOQUE 3 GRAFOS Y EJEMPLOS CON EJERCICIOS.pdf

9 páginas

He publicado nuevos apuntes de 1º Matemáticas Aplicadas Al Marketing: CASTELLANO - BLOQUE 2 INTEGRALES TEORIA Y EJEMPLOS RESUELTOS.pdf

9 páginas

He publicado nuevos apuntes de 1º Matemáticas Aplicadas Al Marketing: CASTELLANO - BLOQUE 2 DERIVADAS TEORIA Y EJEMPLOS RESUELTOS.pdf

12 páginas

He publicado nuevos apuntes de 1º Matemáticas Aplicadas Al Marketing: BLOQUE 1 MATRICES TEORÍA Y EJEMPLOS RESUELTOS.pdf

13 páginas

He publicado nuevos apuntes de 1º Matemáticas Aplicadas Al Marketing: CASTELLANO - EJERCICIOS EXAMEN MATRICES RESUELTOS.pdf

7 páginas

He publicado nuevos apuntes de 1º Matemáticas Aplicadas Al Marketing: TEORIA-MATRICES.pdf

5 páginas

Matemáticas aplicadas al marketing, 1ºcurso. Apuntes y ejercicios matrices

9 páginas

apuntes

-

Mathematics Applied to Marketing- Inglés

Curso en Inglés

Repaso-Examen.pdf
Annuities.pdf
Matrices.pdf
Graph-Theory.pdf
Simple-Financial-Operations.pdf
Integrals.pdf
Anónimo

@Anónimo

He publicado nuevos apuntes de 1º Matemáticas Aplicadas Al Marketing: MatMarkexamenmodeloconformulas.pdf

2 páginas
Anónimo

@Anónimo

apuntes

-

Matemáticas - Aranjuez

He publicado nuevos apuntes de 1º Matemáticas Aplicadas Al Marketing: Matemáticas - Aranjuez

MATRICES.pdf
PRESTAMOS-.pdf
MATES-FINANCIERAS-.pdf
RENTAS-.pdf
2021-06-22-Mat-Mark-examen-RESUELTO.pdf
EXAMEN-3-DE-JULIO-2020.pdf
¡Estás al día!

¡Estás al día!

Has visto todos los archivos