chevron_left
chevron_right
Todo
Apuntes
Ejercicios
Exámenes
chevron_left
chevron_right

He publicado nuevos apuntes de 1º Matemáticas Aplicadas Al Marketing: Mates-aplicadas-al-marketing-tema-1.pdf

5 páginas

He publicado nuevos apuntes de 1º Matemáticas Aplicadas Al Marketing: DERIVADAS-E-INTEGRALES.pdf

4 páginas

He publicado nuevos apuntes de 1º Matemáticas Aplicadas Al Marketing: GRAFOS-Y-COLOREADO-DE-GRAFOS.pdf

1 página

He publicado nuevos apuntes de 1º Matemáticas Aplicadas Al Marketing: Operaciones-financieras.pdf

1 página

He publicado nuevos apuntes de 1º Matemáticas Aplicadas Al Marketing: Matrices.pdf

1 página

He publicado nuevos examenes de 1º Matemáticas Aplicadas Al Marketing: EXAMEN-MATEMATICAS-JUNIO-2022.pdf

1 página

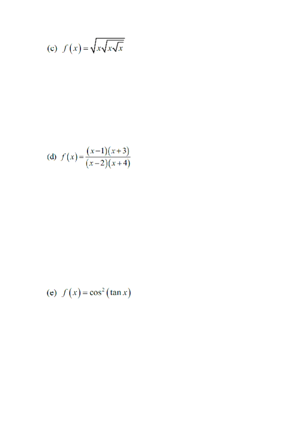
He publicado nuevos apuntes de 1º Matemáticas Aplicadas Al Marketing: Integrales-y-derivadas-ejercicios-solo-con-el-enunciado-pa-que-lo-encuadernes-y-tengas-tu-cuadernito-chill.pdf

21 páginas

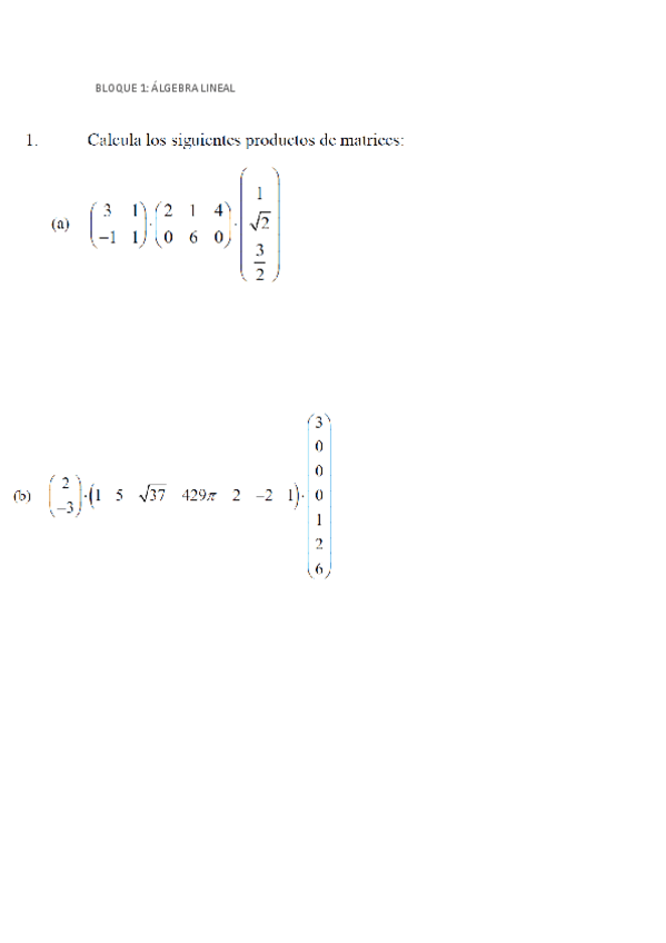
He publicado nuevos ejercicios de 1º Matemáticas Aplicadas Al Marketing: ALGEBRA-LINEAL-ejercicios-solo-con-el-enunciado-pa-que-lo-encuadernes-y-tengas-tu-cuadernito-chill.pdf

32 páginas

He publicado nuevos apuntes de 1º Matemáticas Aplicadas Al Marketing: Mat_Emp_ejercicios.pdf

14 páginas
¡Estás al día!

¡Estás al día!

Has visto todos los archivos