Matemáticas Básicas
Todo
Apuntes
chevron_left
chevron_right
apuntes
-
Apuntes Matemáticas Básicas
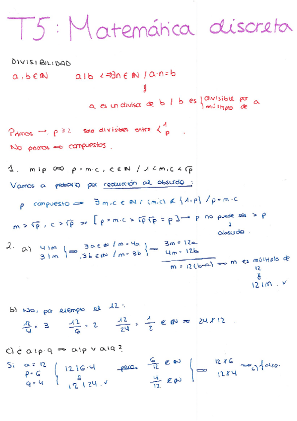
He publicado nuevos apuntes de 1º Matemáticas Básicas: Apuntes Matemáticas Básicas
¡Estás al día!
Has visto todos los archivos
apuntes
-
Apuntes Matemáticas Básicas
He publicado nuevos apuntes de 1º Matemáticas Básicas: Apuntes Matemáticas Básicas
¡Estás al día!
Has visto todos los archivos