Todo
Apuntes
Ejercicios
Exámenes
Otros
chevron_left
chevron_right

apuntes

-

MOF

He publicado nuevos apuntes de 1º Matemáticas de las Operaciones Financieras: MOF

TEMA-1-MOF-Grado.pdf
TEMA-2-MOF-Grado.pdf
Anónimo

@Anónimo

ejercicios

-

Ejercicios con solución

He publicado nuevos ejercicios de 1º Matemáticas de las Operaciones Financieras: Ejercicios con solución

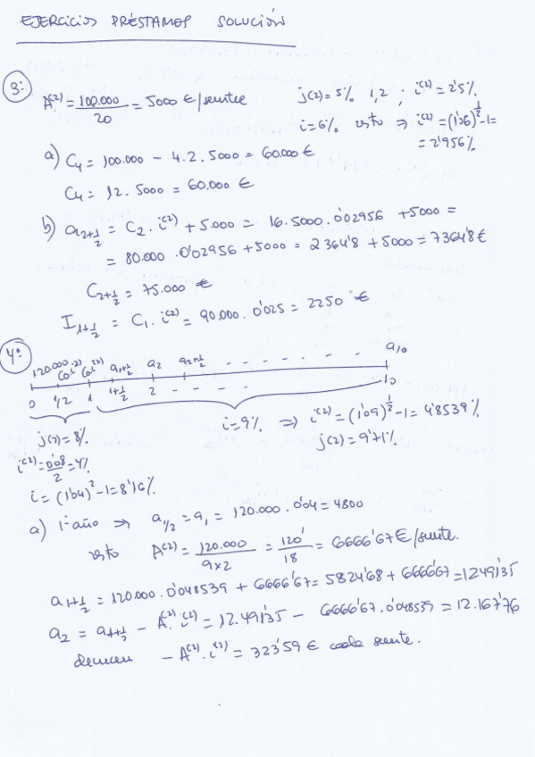
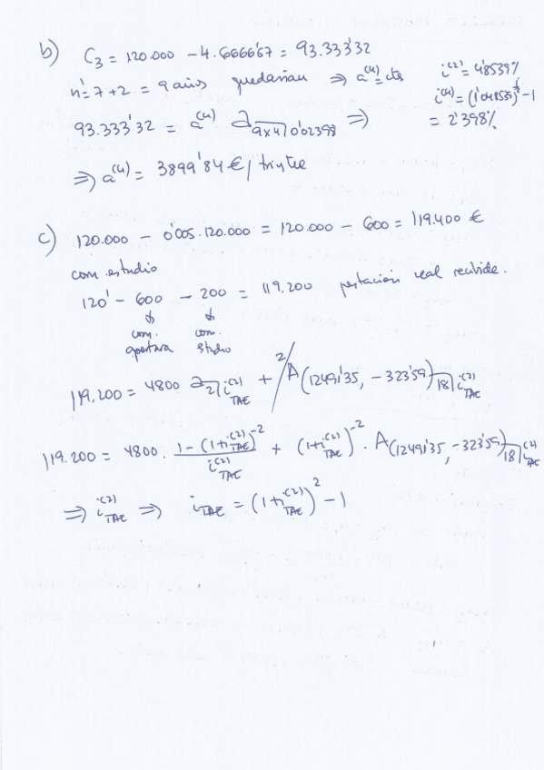
EJERCICIOS-DE-PRESTAMOS-soluciones.pdf
EJERCICIOS-SALDO.pdf
EJERCICIOS-DE-PRESTAMOS.pdf
EJERCICIOS-DE-PRESTAMOS-soluciones-3.pdf
EJERCICIOS-DE-PRESTAMOS-soluciones-2.pdf
E.pdf
Anónimo

@Anónimo

examenes

-

Exámenes

He publicado nuevos examenes de 1º Matemáticas de las Operaciones Financieras: Exámenes

EXAMEN-MOF-ORD-3-19.pdf
examen-mof-extraordinaria.pdf
Anónimo

@Anónimo

otros

-

Temas

He publicado nuevos otros de 1º Matemáticas de las Operaciones Financieras: Temas

tema-1.pdf
tema-5.pdf
tema-4.pdf
tema-2.pdf
tema-3.pdf
¡Estás al día!

¡Estás al día!

Has visto todos los archivos