chevron_left
chevron_right
Todo
Apuntes
Ejercicios
Exámenes
Otros
chevron_left
chevron_right

He publicado nuevos examenes de 1º Matemáticas Empresariales I: Series resueltas - Ejercicios de examen.pdf

5 páginas

Ecuaciones diferenciales de 1º orden resueltas

4 páginas

Proceso y soluciones de ecuaciones diferenciales de 1º orden

5 páginas

He publicado nuevos otros de 1º Matemáticas Empresariales I: GUIA-DOCENTE-INGLES-BUSINESS-MATHEMATICS-I.pdf

5 páginas

He publicado nuevos otros de 1º Matemáticas Empresariales I: GUIA-DOCENTE-MATEMATICAS-EMPRESARIALES-I.pdf

5 páginas

He publicado nuevos apuntes de 1º Matemáticas Empresariales I: PDF-2.pdf

pdf

He publicado nuevos apuntes de 1º Matemáticas Empresariales I: CamScanner-01-11-2022-21.pdf

12 páginas

apuntes

-

Business Mathematics I

He publicado nuevos apuntes de 1º Matemáticas Empresariales I: Business Mathematics I

Business-Mathematics-I.pdf
Business-Mathematics-I-dragged.pdf

apuntes

-

DERIVADAS E INTEGRALES

He publicado nuevos apuntes de 1º Matemáticas Empresariales I: DERIVADAS E INTEGRALES

2.pdf
4-100derivadasresueltas.pdf
1.pdf
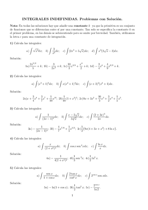
probintegralesindefinidas.pdf
plantilla-derivadas.pdf

He publicado nuevos apuntes de 1º Matemáticas Empresariales I: MATES-1.pdf

50 páginas

Practica limites Sagaseta

10 páginas
Anónimo

@Anónimo

apuntes

-

Matemáticas Empresariales I

He publicado nuevos apuntes de 1º Matemáticas Empresariales I: Matemáticas Empresariales I

Ejer4 derivadassucesivas.pdf
Lección 1-Teoria.pdf
Lección 1-Sucesiones.pdf
Ejercicios Mat Empresariales 1 sucesiones y series.pdf
Ejercicios de Matemáticas empresariales 1 generales.pdf
Ejer2 continuidad.pdf
¡Estás al día!

¡Estás al día!

Has visto todos los archivos