Todo
Apuntes
Preguntas
Ejercicios
Exámenes
Otros
publication
Trabajos
chevron_left
chevron_right

Solución

20 páginas

examenes

-

Parciales ANTONIO ABRIL

He publicado nuevos examenes de 1º Matemáticas Empresariales I: Parciales ANTONIO ABRIL

PARCIAL-1.jpeg
PARCIAL-2.jpeg
PARCIAL-2.jpeg

apuntes

-

ACADEMIA MATES 1

Ejercicios y exámenes de todos los grupos para preparar el examen final

MATES-1-TEMA-4-ECUACIONES-DIFERENCIALES.pdf
MATES-1-TEMA-3-INTEGRALES.pdf
MATES-1-TEMA-2-DERIVADAS.pdf
MATES-1-TEMA-1-SERIES.pdf
MATES-1-EXAMENES-RESUELTOS.pdf

examenes

-

Examen final ANTONIO ABRIL

He publicado nuevos examenes de 1º Matemáticas Empresariales I: Examen final ANTONIO ABRIL

Examen-final-1.jpeg
Examen-final-2.jpeg

He publicado nuevos examenes de 1º Matemáticas Empresariales I: Posible-examen-2024.pdf

9 páginas

ejercicios

-

Ejercicios sistemas dinámicos

He publicado nuevos ejercicios de 1º Matemáticas Empresariales I: Ejercicios sistemas dinámicos

Ecuaciones-en-diferencias-finitas.pdf
Ecuaciones-en-variables-separadas.pdf
Ecuaciones-lineales-de-orden-n-con-coef-constantes.pdf
Ecuaciones-lineales-de-primer-orden.pdf

He publicado nuevos examenes de 1º Matemáticas Empresariales I: EXAMENADEMATEMPRESARIALESINTERMEDIOV001SOLUCION.pdf

6 páginas

He publicado nuevos apuntes de 1º Matemáticas Empresariales I: analisis.pdf

1 página

He publicado nuevos apuntes de 1º Matemáticas Empresariales I: aplicacion-progresion-geometrica.pdf

1 página

He publicado nuevos apuntes de 1º Matemáticas Empresariales I: mates-series.pdf

1 página

ejercicios

-

Entregas resueltas

He publicado nuevos ejercicios de 1º Matemáticas Empresariales I: Entregas resueltas

Hoja-entrega-integrales-inmediatas.pdf
Hoja-entrega-integrales-Riemann.pdf
Hoja-entrega-integrales.pdf
Hoja-entrega-series.pdf
Entrega-calculo-diferencial.pdf
Entrega-funciones.pdf

ejercicios

-

Ejercicios integrales

He publicado nuevos ejercicios de 1º Matemáticas Empresariales I: Ejercicios integrales

Funciones-eulerianas.pdf
Integracion-por-cambio-de-variable.pdf
Integral-definida.pdf
Integrales-inmediatas.pdf
Integrales-por-partes.pdf
Integrales-racionales.pdf

ejercicios

-

Ejercicios función real

He publicado nuevos ejercicios de 1º Matemáticas Empresariales I: Ejercicios función real

Ejercicios-limites.pdf
Ejercicios-derivadas.pdf
Ejercicios-derivabilidad-continuidad-recta-tg.pdf
Ejercicios-Polinomio-Taylor.pdf
Ejercicio-optimizacion-artesano.pdf
Ejercicio-optimizacion-heladero.pdf

ejercicios

-

Ejercicios series

He publicado nuevos ejercicios de 1º Matemáticas Empresariales I: Ejercicios series

Ejercicios-series.pdf
Ejercicios-series.pdf

He publicado nuevos apuntes de 1º Matemáticas Empresariales I: Tema-series.pdf

9 páginas

He publicado nuevos apuntes de 1º Matemáticas Empresariales I: Resumen-series.pdf

3 páginas

He publicado nuevos ejercicios de 1º Matemáticas Empresariales I: EJERCICIOSTAYLORLHOPITAL.pdf

7 páginas

látex

28 páginas

examen control 1

3 páginas

He publicado nuevos examenes de 1º Matemáticas Empresariales I: TEST-EXAMEN-MATEMATICAS-EMPRESARIALES-III.SUPER-UTILES.pdf

24 páginas

He publicado nuevos examenes de 1º Matemáticas Empresariales I: TEST-EXAMEN-MATEMATICAS-EMPRESARIALES-IIII.SUPER-UTILES.pdf

11 páginas

He publicado nuevos examenes de 1º Matemáticas Empresariales I: TEST-EXAMEN-MATEMATICAS-EMPRESARIALES-I.SUPER-UTILES.pdf

19 páginas

He publicado nuevos examenes de 1º Matemáticas Empresariales I: Integrales-Solucion.pdf

4 páginas

He publicado nuevos examenes de 1º Matemáticas Empresariales I: Series-Solucion.pdf

3 páginas

He publicado nuevos apuntes de 1º Matemáticas Empresariales I: 3.-Power-Series.pdf

4 páginas

He publicado nuevos apuntes de 1º Matemáticas Empresariales I: 6.-Ecuciones-Diferenciales.pdf

5 páginas

He publicado nuevos apuntes de 1º Matemáticas Empresariales I: 2.-Series.pdf

10 páginas

He publicado nuevos apuntes de 1º Matemáticas Empresariales I: 4.Funciones.pdf

12 páginas

He publicado nuevos apuntes de 1º Matemáticas Empresariales I: 5.-Integrales.pdf

10 páginas

He publicado nuevos apuntes de 1º Matemáticas Empresariales I: 1.-Indeterminaciones.pdf

3 páginas

He publicado nuevos apuntes de 1º Matemáticas Empresariales I: Temario-completo-Matematicas-I.pdf

30 páginas

He publicado nuevos apuntes de 1º Matemáticas Empresariales I: Propiedades-integrales-eulerianas-1.pdf

2 páginas

He publicado nuevos apuntes de 1º Matemáticas Empresariales I: Limites-1.pdf

4 páginas

He publicado nuevos apuntes de 1º Matemáticas Empresariales I: Propiedades-integrales-eulerianas.pdf

2 páginas

He publicado nuevos apuntes de 1º Matemáticas Empresariales I: Limites.pdf

4 páginas

He publicado nuevos apuntes de 1º Matemáticas Empresariales I: Sucesiones.pdf

3 páginas

He publicado nuevos apuntes de 1º Matemáticas Empresariales I: Citerios-de-comparacion-series.pdf

5 páginas

He publicado nuevos apuntes de 1º Matemáticas Empresariales I: Series.pdf

4 páginas

He publicado nuevos apuntes de 1º Matemáticas Empresariales I: Tema-3.pdf

7 páginas

He publicado nuevos apuntes de 1º Matemáticas Empresariales I: Tema-2.pdf

8 páginas

He publicado nuevos apuntes de 1º Matemáticas Empresariales I: Tema-1.pdf

5 páginas

apuntes

-

apuntes mates I

He publicado nuevos apuntes de 1º Matemáticas Empresariales I: apuntes mates I

3.-EcRecurrentesPrimerOrdenInf.pdf
3.-problemasEcDiferencias-1.pdf
5.-problemasIntegrales.pdf
6.-Funciones-eulerianasInf.pdf
7.-EcDiferencialesInf.pdf
7.-problemasEcDiferenciales.pdf

apuntes

-

Temario completo. Danilo. Grupo G

He publicado nuevos apuntes de 1º Matemáticas Empresariales I: Temario completo. Danilo. Grupo G

Tema-1.-Sucesiones-Y-Series-Infinitas.-Wuolah.pdf
Tema-2.-Funciones-Elementales.-Wuolah.pdf
Tema-3.-Limites-Y-Derivadas.-Wuolah.pdf
Tema-4.-Aplicaciones-de-la-derivada.-Wuolah.pdf
Tema-5.-Integrales.-Wuolah.pdf
Tema-6-EDO.-Wuolah.pdf

apuntes

-

Resúmenes y ejercicios mates I

ADE en inglés

Final.pdf
Parcial-1.pdf
Parcial-2.pdf

He publicado nuevos examenes de 1º Matemáticas Empresariales I: PREGUNTAS-EXAMENES-FUNDAMENTALES-MATEMATICAS-FINANCIERAS.pdf

11 páginas

He publicado nuevos examenes de 1º Matemáticas Empresariales I: Solucion-examen-final-extraordinario-Junio-2024-Danilo-Magistrali.pdf

3 páginas

He publicado nuevos ejercicios de 1º Matemáticas Empresariales I: EjEx-DerivadasLimites.pdf

16 páginas

He publicado nuevos examenes de 1º Matemáticas Empresariales I: Examen final RESUELTO de Matemáticas Empresariales I.pdf

4 páginas

ejercicios

-

Apuntes Academia Matemáticas Empresariales I con exámenes RESUELTOS

Academia Montero Espinosa

Apuntes-parte-I.pdf
Apuntes-parte-II.pdf
Apuntes-parte-III.pdf
Apuntes-parte-IV.pdf
Apuntes-parte-V.pdf
Apuntes-parte-VI.pdf

He publicado nuevos apuntes de 1º Matemáticas Empresariales I: Funciones-y-Ejercicios-Simples.pdf

9 páginas

He publicado nuevos apuntes de 1º Matemáticas Empresariales I: Sucesiones.pdf

2 páginas

He publicado nuevos apuntes de 1º Matemáticas Empresariales I: Apuntes-Matematicas-empresariales-I.pdf

20 páginas

He publicado nuevos examenes de 1º Matemáticas Empresariales I: solucion-Examen-Final-mates-I-Danilo.pdf

3 páginas

He publicado nuevos examenes de 1º Matemáticas Empresariales I: Solucion-Examen-parcial-3-Danilo-Magistrali-Mates-I.pdf

4 páginas

He publicado nuevos examenes de 1º Matemáticas Empresariales I: Control-2-RESUELTO.pdf

5 páginas

apuntes

-

SEMINAR SOLUTIONS 2019

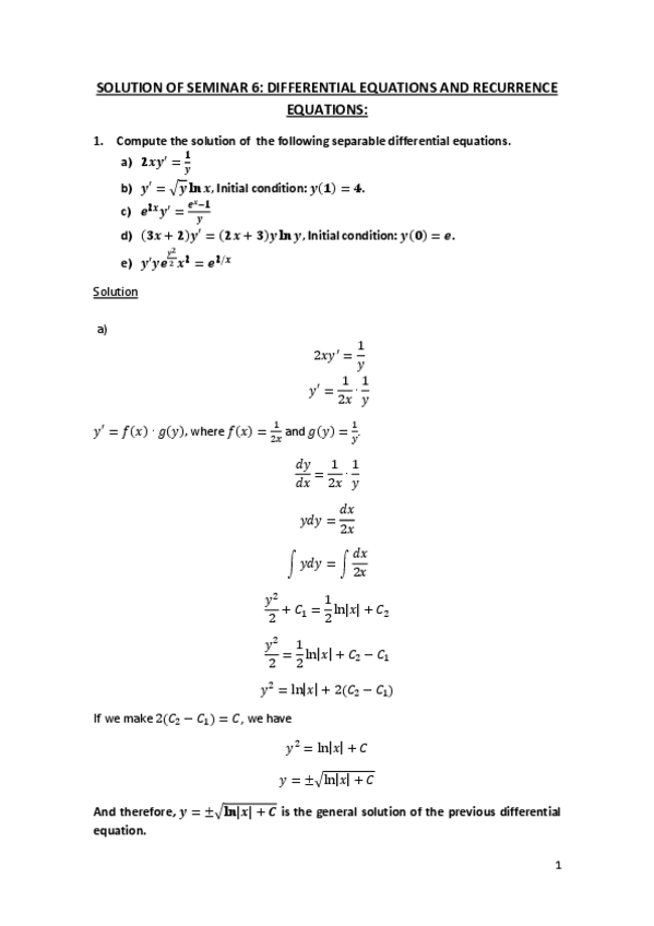
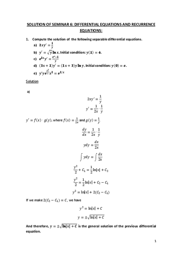
He publicado nuevos apuntes de 1º Matemáticas Empresariales I: SEMINAR SOLUTIONS 2019

SEMINAR-4-SOL.pdf
SEMINAR-5-SOL.pdf
SEMINAR-3-SOL.pdf
SEMINAR-2-SOL.pdf
SEMINAR-1-SOL.pdf

apuntes

-

APUNTES

He publicado nuevos apuntes de 1º Matemáticas Empresariales I: APUNTES

Tema-1-Nociones-basicas-de-funciones-realies-de-variable-real.pdf
Tema-2-Derivabilidad-en-funciones-reales-de-variable-real.pdf
Tema-3-Calculo-integral.pdf
LOGARITMOS-Y-EXPONENCIALES.pdf
EJERCICIOS-DE-MAXIMOS-Y-MINIMOS.pdf

ejercicios

-

Ejercicios resueltos Todos Capítulos Mates I

He publicado nuevos ejercicios de 1º Matemáticas Empresariales I: Ejercicios resueltos Todos Capítulos Mates I

Libro-Calculus-I.jpg
Ejercicios-resueltos-Introduccion-Mates-I.pdf
Ejercicios-resueltos-Capitulo-1-Mates-I.pdf
Ejercicios-resueltos-Capitulo-2-Mates-I.pdf
Ejercicios-resueltos-Capitulo-3-Mates-I.pdf
Ejercicios-resueltos-Capitulo-4-Mates-I.pdf

ejercicios

-

Ejercicios propuestos Todos Capítulos Mates I

He publicado nuevos ejercicios de 1º Matemáticas Empresariales I: Ejercicios propuestos Todos Capítulos Mates I

Libro-Matematicas-aplicadas-a-la-economia-y-a-la-empresa.jpg
Ejercicios-propuestos-Capitulo-1-Mates-I.pdf
Ejercicios-propuestos-Capitulo-8-Mates-I.pdf
Ejercicios-propuestos-Capitulo-9-Mates-I.pdf
Ejercicios-propuestos-Capitulo-12-Mates-I.pdf
Ejercicios-propuestos-Capitulo-13-Mates-I.pdf

He publicado nuevos examenes de 1º Matemáticas Empresariales I: Solucion-Examen-parcial-1-Danilo-Magistrali-Mates-I.pdf

2 páginas