Todo
Apuntes
Ejercicios
Exámenes
Otros
chevron_left
chevron_right
Anónimo

@Anónimo

He publicado nuevos apuntes de 1º Matemáticas Empresariales I: Clases-De-Mates-Empresariales.pdf

4 páginas

He publicado nuevos otros de 1º Matemáticas Empresariales I: GUIA-DOCENTE-MATEMATICAS-EMPRESARIALES-I.pdf

5 páginas

Continuación del tema 6. Números complejos y ecuaciones diferenciales de orden N.

9 páginas

He publicado nuevos apuntes de 1º Matemáticas Empresariales I: EJS INTEGRALES.pdf

6 páginas

He publicado nuevos apuntes de 1º Matemáticas Empresariales I: EJS SUMATORIOS Y SERIES.pdf

10 páginas

Apuntes del T6 de mates (SISTEMAS DINÁMICOS), hasta nº complejos (sin incluir)., hasta donde cae en el segundo parcial.

3 páginas

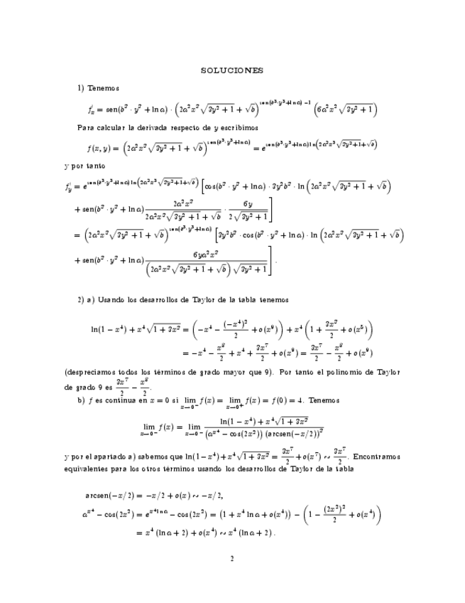
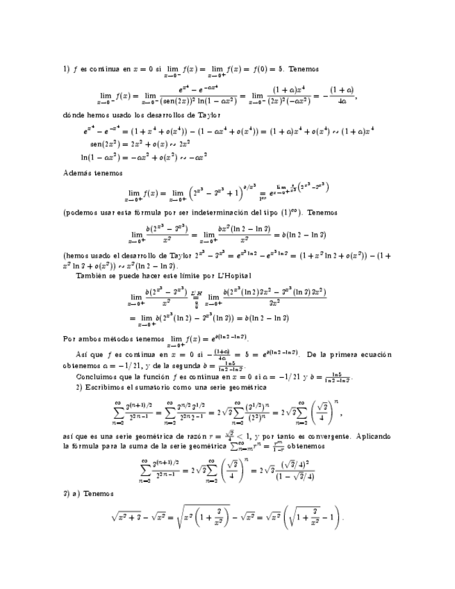
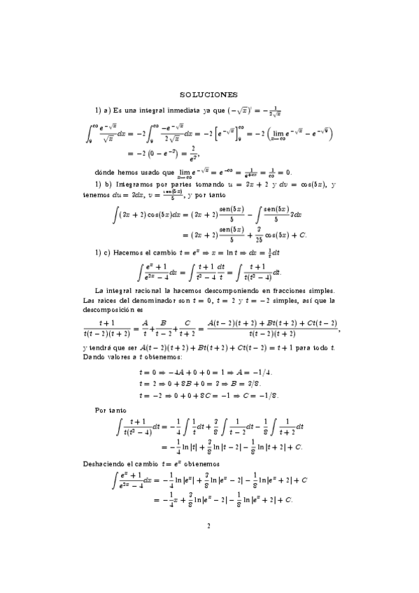
He publicado nuevos apuntes de 1º Matemáticas Empresariales I: CÁLCULO INTEGRAL.pdf

13 páginas

He publicado nuevos apuntes de 1º Matemáticas Empresariales I: SUCESIONES Y SERIES.pdf

9 páginas

He publicado nuevos apuntes de 1º Matemáticas Empresariales I: EXAMEN-202122-.pdf

7 páginas

He publicado nuevos apuntes de 1º Matemáticas Empresariales I: EXAMEN-202021.pdf

5 páginas

He publicado nuevos ejercicios de 1º Matemáticas Empresariales I: EJS FUNCIONES.pdf

4 páginas

He publicado nuevos ejercicios de 1º Matemáticas Empresariales I: EJS LÍMITES.pdf

5 páginas

apuntes

-

Primer cuatrimestre

He publicado nuevos apuntes de 1º Matemáticas Empresariales I: Primer cuatrimestre

TEMA-1-matematicas-empresariales.pdf
TEMA-1-matematicas-empresariales.pdf
TEMA-2-matematicas-empresariles-1.pdf
TEMA-2-matematicas-empresariles-1.pdf
continuacion-tema-1.pdf
continuacion-tema-1.pdf

Apuntes tema 3

6 páginas

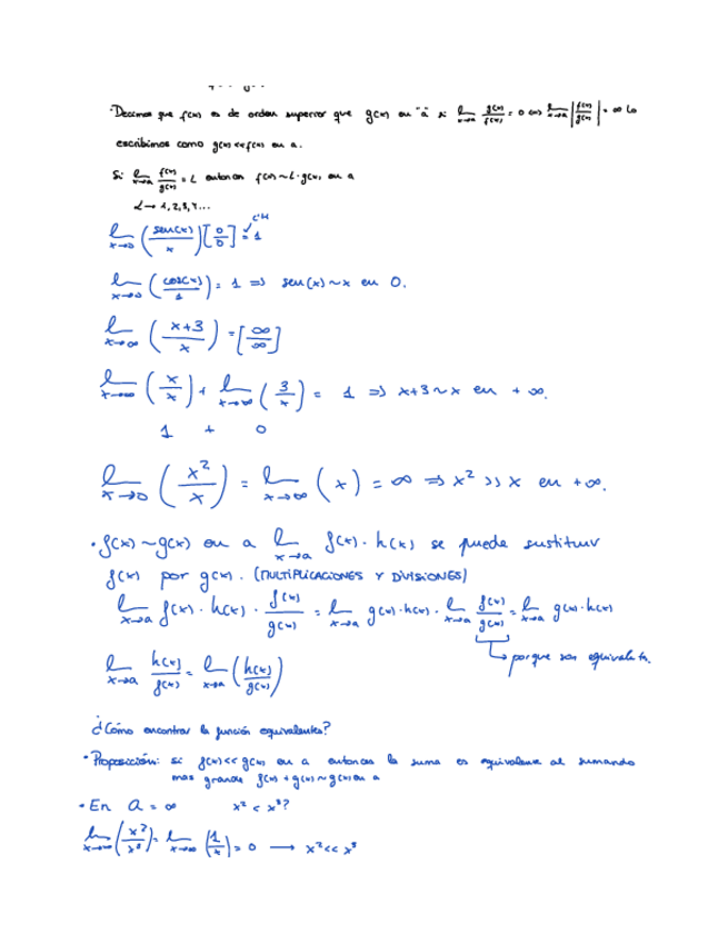
He publicado nuevos apuntes de 1º Matemáticas Empresariales I: LÍMITES Y EQUIVALENCIA.pdf

10 páginas

He publicado nuevos apuntes de 1º Matemáticas Empresariales I: FUNCIONES.pdf

4 páginas

He publicado nuevos examenes de 1º Matemáticas Empresariales I: Ex-2P-2013-14-grupoD.pdf

4 páginas

He publicado nuevos examenes de 1º Matemáticas Empresariales I: Ex-2P-2012-13-Soluciones.pdf

5 páginas

He publicado nuevos examenes de 1º Matemáticas Empresariales I: Ex-2P-2011-12.pdf

4 páginas

He publicado nuevos examenes de 1º Matemáticas Empresariales I: Primer-parcial.pdf

5 páginas

He publicado nuevos examenes de 1º Matemáticas Empresariales I: Examen2016Solucion.pdf

6 páginas

He publicado nuevos examenes de 1º Matemáticas Empresariales I: Examen2018Solucion.pdf

8 páginas

He publicado nuevos examenes de 1º Matemáticas Empresariales I: Examen2019Solucion.pdf

8 páginas

He publicado nuevos examenes de 1º Matemáticas Empresariales I: Examen2020Solucion.pdf

8 páginas

He publicado nuevos examenes de 1º Matemáticas Empresariales I: Examen2021Solucion.pdf

8 páginas

He publicado nuevos apuntes de 1º Matemáticas Empresariales I: Mates-empresa-1.pdf

32 páginas

He publicado nuevos examenes de 1º Matemáticas Empresariales I: Ex-1P-2018-19-Margen-Soluciones.pdf

4 páginas

He publicado nuevos apuntes de 1º Matemáticas Empresariales I: Macrorresumen Algebra.pdf

44 páginas

He publicado nuevos apuntes de 1º Matemáticas Empresariales I: Macrorresumen Cálculo.pdf

62 páginas