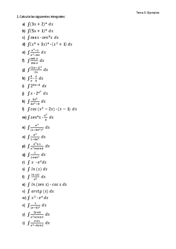
anonimo16_
Tema-5-Ejemplos.pdf
3 páginas
Exámenes - Examenes-academia.pdf
pdf
54 páginas
19
0
Apuntes - Tema-0-1.pdf
21 páginas
14
1
Ejercicios - Ejercicios-de-Espacios-Vectoriales.pdf
2 páginas
29
Apuntes - Matematicas-Empresariales-Pablo-Saiz.pdf
65 páginas
20
2
Apuntes - EJERCICIOS-MATEMATICAS-EMPRESARIALES.pdf
30
Ejercicios - Tema-1-Ejercicios.pdf
1 página
Apuntes - Tema1 matrices.pdf
15 páginas
25
Apuntes - Tema 2 Aplicaciones Lineales.pdf
20 páginas
9
Apuntes - esquema-mates-financieras.pdf
10
Apuntes - Tema-2.pdf
8 páginas
11
Ejercicios - Tema-5-Ejercicios.pdf
7
Apuntes - Tema-7.pdf
6 páginas
5
Apuntes - Tema-1.pdf
7 páginas
Apuntes - Ejercicios-de-Formas-Cuadraticas-1.pdf
Ejercicios - Ejercicios-de-Diagonalizacion-de-Matrices.pdf
12
Apuntes - Tema-4.pdf
8
Ejercicios - Tema-3-Ejercicios.pdf
6
Ejercicios - Tema-4-Ejercicios.pdf
Apuntes - Ejercicios Tema 1 Espacios Vectoriales.pdf
Apuntes - Tema-81.pdf
16 páginas
4